Suppr超能文献

聚丙烯纤维增强粉煤灰土的三轴试验

The Triaxial Test of Polypropylene Fiber Reinforced Fly Ash Soil.

作者信息

Li Lihua, Zhang Xin, Xiao Henglin, Zhang Jiang, Chen Na, Li Wentao

机构信息

School of Civil Engineering, Architecture and Environment, Hubei University of Technology, Wuhan 430068, China.

出版信息

Materials (Basel). 2022 May 26;15(11):3807. doi: 10.3390/ma15113807.

Abstract

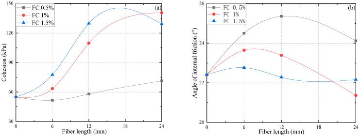
Recently, soil reinforcement using arranged or randomly distributed fibers has attracted increasing attention in geotechnical engineering. In this study, polypropylene (PP) fibers with three lengths (6, 12, and 24 mm) and three mass percentages (0.5%, 1%, and 1.5%) were used to reinforce a coal fly ash soil (FAS) mixture. Unconsolidated, undrained triaxial tests were carried out in order to study the mechanical properties of the polypropylene fiber-reinforced FAS mixture and evaluate the impact of fiber on the shear strength of the FAS mixture. It is found that the fiber length of 12 mm could significantly improve the shear strength of the polypropylene fiber reinforced FAS mixture, and little effect is shown on the shear strength while using a fiber length of 24 mm. Additional fibers enhance the energy absorption capacity of the FAS specimens and therefore the highest energy absorption capacity occurs when the fiber content is 1% and the fiber length is 12 mm. The peak deviator stress enhances impressively with the addition of polypropylene fiber. The impact of fiber on the peak deviator stress is the largest when fiber content is within 1.0%. The fiber length has little effect on the peak deviator stress when it exceeds 12 mm.

摘要

最近,在岩土工程中,使用排列或随机分布的纤维进行土壤加固越来越受到关注。在本研究中,使用了三种长度(6毫米、12毫米和24毫米)和三种质量百分比(0.5%、1%和1.5%)的聚丙烯(PP)纤维来加固粉煤灰土(FAS)混合物。进行了不固结不排水三轴试验,以研究聚丙烯纤维增强FAS混合物的力学性能,并评估纤维对FAS混合物抗剪强度的影响。研究发现,12毫米的纤维长度能显著提高聚丙烯纤维增强FAS混合物的抗剪强度,而使用24毫米的纤维长度时,对抗剪强度的影响较小。额外的纤维增强了FAS试样的能量吸收能力,因此当纤维含量为1%且纤维长度为12毫米时,能量吸收能力最高。随着聚丙烯纤维的添加,峰值偏应力显著提高。当纤维含量在1.0%以内时,纤维对峰值偏应力的影响最大。当纤维长度超过12毫米时,对峰值偏应力的影响较小。

https://cdn.ncbi.nlm.nih.gov/pmc/blobs/821e/9180948/79846a4474ae/materials-15-03807-g001.jpg

文献AI研究员

20分钟写一篇综述,助力文献阅读效率提升50倍。

立即体验

用中文搜PubMed

大模型驱动的PubMed中文搜索引擎

马上搜索

文档翻译

学术文献翻译模型,支持多种主流文档格式。

立即体验