Lubis Muhammad Adly Rahandi, Handika Sucia Okta, Sari Rita Kartika, Iswanto Apri Heri, Antov Petar, Kristak Lubos, Lee Seng Hua, Pizzi Antonio
Research Center for Biomass and Bioproducts, National Research and Innovation Agency, Cibinong 16911, Indonesia.
Research Collaboration Center for Biomass and Biorefinery between BRIN and Universitas Padjadjaran, National Research and Innovation Agency, Cibinong 16911, Indonesia.
Polymers (Basel). 2022 May 26;14(11):2165. doi: 10.3390/polym14112165.
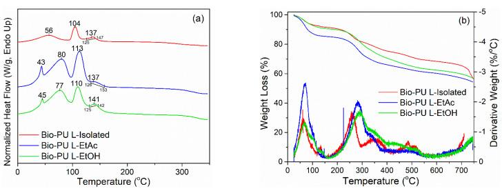
The purpose of this study was to prepare low-viscosity lignin-based polyurethane (LPU) resins for the modification of ramie ( (L.) Gaudich) fiber via impregnation to improve the fiber's thermal and mechanical properties. Low-viscosity LPU resins were prepared by dissolving lignin in 20% NaOH and then adding polymeric 4,4-methane diphenyl diisocyanate (pMDI, 31% NCO) with a mole ratio of 0.3 NCO/OH. Ramie fiber was impregnated with LPU in a vacuum chamber equipped with a two-stage vacuum pump. Several techniques such as Fourier-transform infrared (FTIR) spectroscopy, differential scanning calorimetry, thermogravimetric analysis, pyrolysis-gas chromatography-mass spectroscopy, field emission-scanning electron microscopy coupled with energy dispersive X-ray (EDX), and a universal testing machine were used to characterize lignin, LPU, and ramie fiber. The LPU resins had low viscosity ranging from 77 to 317 mPa·s. According to FTIR and EDX analysis, urethane bonds were formed during the synthesis of LPU resins and after impregnation into ramie fibers. After impregnation, the reaction between the LPU's urethane group and the hydroxy group of ramie fiber increased thermal stability by an average of 6% and mechanical properties by an average of 100% compared to the untreated ramie fiber. The highest thermal stability and tensile strength were obtained at ramie impregnated with LPU-ethyl acetate for 30 min, with a residual weight of 22% and tensile strength of 648.7 MPa. This study showed that impregnation with LPU resins can enhance the thermal and mechanical properties of fibers and increase their wider industrial utilization in value-added applications.
本研究的目的是制备低粘度木质素基聚氨酯(LPU)树脂,通过浸渍法对苎麻(Boehmeria nivea (L.) Gaudich)纤维进行改性,以改善其热性能和力学性能。将木质素溶解于20%的NaOH中,然后加入摩尔比为0.3 NCO/OH的聚合4,4'-二苯基甲烷二异氰酸酯(pMDI,NCO含量31%),制备出低粘度LPU树脂。苎麻纤维在配备两级真空泵的真空室中用LPU进行浸渍。采用傅里叶变换红外(FTIR)光谱、差示扫描量热法、热重分析、热解-气相色谱-质谱联用、场发射扫描电子显微镜结合能量色散X射线(EDX)以及万能试验机等多种技术对木质素、LPU和苎麻纤维进行表征。LPU树脂的粘度较低,范围为77至317 mPa·s。根据FTIR和EDX分析,在LPU树脂合成过程中以及浸渍到苎麻纤维后形成了聚氨酯键。浸渍后,LPU的聚氨酯基团与苎麻纤维的羟基之间的反应使热稳定性平均提高了6%,力学性能比未处理的苎麻纤维平均提高了100%。用乙酸乙酯浸渍30分钟的苎麻纤维获得了最高的热稳定性和拉伸强度,残余重量为22%,拉伸强度为648.7 MPa。本研究表明,用LPU树脂浸渍可以提高纤维的热性能和力学性能,并增加其在增值应用中的更广泛工业利用。