• 文献检索
  • 文档翻译
  • 深度研究
  • 学术资讯
  • Suppr Zotero 插件Zotero 插件
  • 邀请有礼
  • 套餐&价格
  • 历史记录
应用&插件
Suppr Zotero 插件Zotero 插件浏览器插件Mac 客户端Windows 客户端微信小程序
定价
高级版会员购买积分包购买API积分包
服务
文献检索文档翻译深度研究API 文档MCP 服务
关于我们
关于 Suppr公司介绍联系我们用户协议隐私条款
关注我们

Suppr 超能文献

核心技术专利:CN118964589B侵权必究
粤ICP备2023148730 号-1Suppr @ 2026

文献检索

告别复杂PubMed语法,用中文像聊天一样搜索,搜遍4000万医学文献。AI智能推荐,让科研检索更轻松。

立即免费搜索

文件翻译

保留排版,准确专业,支持PDF/Word/PPT等文件格式,支持 12+语言互译。

免费翻译文档

深度研究

AI帮你快速写综述,25分钟生成高质量综述,智能提取关键信息,辅助科研写作。

立即免费体验

在实验室条件下评估材料手动搬运任务中的被动式腰部外骨骼。

Assessment of a Passive Lumbar Exoskeleton in Material Manual Handling Tasks under Laboratory Conditions.

机构信息

Instituto de Biomecánica de Valencia, Universitat Politècnica de València, 46022 Valencia, Spain.

Centro de Investigación e Innovación en Bioingeniería (Ci2B), Universitat Politècnica de València, 46022 Valencia, Spain.

出版信息

Sensors (Basel). 2022 May 27;22(11):4060. doi: 10.3390/s22114060.

DOI:10.3390/s22114060
PMID:35684682
原文链接:https://pmc.ncbi.nlm.nih.gov/articles/PMC9185583/
Abstract

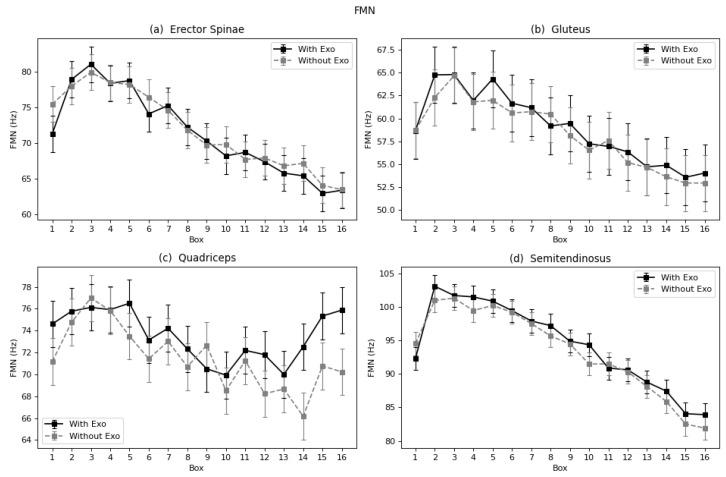
Manual material handling tasks in industry cause work-related musculoskeletal disorders. Exoskeletons are being introduced to reduce the risk of musculoskeletal injuries. This study investigated the effect of using a passive lumbar exoskeleton in terms of moderate ergonomic risk. Eight participants were monitored by electromyogram (EMG) and motion capture (MoCap) while performing tasks with and without the lumbar exoskeleton. The results showed a significant reduction in the root mean square (VRMS) for all muscles tracked: erector spinae (8%), semitendinosus (14%), gluteus (5%), and quadriceps (10.2%). The classic fatigue parameters showed a significant reduction in the case of the semitendinosus: 1.7% zero-crossing rate, 0.9% mean frequency, and 1.12% median frequency. In addition, the logarithm of the normalized Dimitrov's index showed reductions of 11.5, 8, and 14% in erector spinae, semitendinosus, and gluteus, respectively. The calculation of range of motion in the relevant joints demonstrated significant differences, but in almost all cases, the differences were smaller than 10%. The findings of the study indicate that the passive exoskeleton reduces muscle activity and introduces some changes of strategies for motion. Thus, EMG and MoCap appear to be appropriate measurements for designing an exoskeleton assessment procedure.

摘要

工业中的手动搬运任务会导致与工作相关的肌肉骨骼疾病。为了降低肌肉骨骼损伤的风险,正在引入外骨骼。本研究调查了在中等人体工程学风险条件下使用被动腰部外骨骼的效果。八名参与者在使用和不使用腰部外骨骼执行任务时通过肌电图(EMG)和运动捕捉(MoCap)进行监测。结果表明,所有跟踪肌肉的均方根(VRMS)都有显著降低:竖脊肌(8%)、半腱肌(14%)、臀肌(5%)和股四头肌(10.2%)。经典的疲劳参数对半腱肌的情况显示出显著降低:零交叉率降低 1.7%,平均频率降低 0.9%,中值频率降低 1.12%。此外,归一化 Dimitrov 指数的对数显示,竖脊肌、半腱肌和臀肌的降幅分别为 11.5%、8%和 14%。相关关节运动范围的计算显示出显著差异,但在几乎所有情况下,差异都小于 10%。研究结果表明,被动外骨骼可降低肌肉活动并引入运动策略的一些变化。因此,EMG 和 MoCap 似乎是设计外骨骼评估程序的合适测量方法。

https://cdn.ncbi.nlm.nih.gov/pmc/blobs/d770/9185583/00d8c5daadfc/sensors-22-04060-g009.jpg
https://cdn.ncbi.nlm.nih.gov/pmc/blobs/d770/9185583/d09664039698/sensors-22-04060-g0A1.jpg
https://cdn.ncbi.nlm.nih.gov/pmc/blobs/d770/9185583/33e6350f445e/sensors-22-04060-g0A2.jpg
https://cdn.ncbi.nlm.nih.gov/pmc/blobs/d770/9185583/f618adf6efab/sensors-22-04060-g0A3.jpg
https://cdn.ncbi.nlm.nih.gov/pmc/blobs/d770/9185583/041d7dff8544/sensors-22-04060-g0A4.jpg
https://cdn.ncbi.nlm.nih.gov/pmc/blobs/d770/9185583/b650475bde4c/sensors-22-04060-g0A5.jpg
https://cdn.ncbi.nlm.nih.gov/pmc/blobs/d770/9185583/25a114624687/sensors-22-04060-g001.jpg
https://cdn.ncbi.nlm.nih.gov/pmc/blobs/d770/9185583/43a02b07e86c/sensors-22-04060-g002.jpg
https://cdn.ncbi.nlm.nih.gov/pmc/blobs/d770/9185583/00c09bf780c0/sensors-22-04060-g003.jpg
https://cdn.ncbi.nlm.nih.gov/pmc/blobs/d770/9185583/f35e136274c0/sensors-22-04060-g004.jpg
https://cdn.ncbi.nlm.nih.gov/pmc/blobs/d770/9185583/650bd524e363/sensors-22-04060-g005.jpg
https://cdn.ncbi.nlm.nih.gov/pmc/blobs/d770/9185583/e9a15e2c431f/sensors-22-04060-g006.jpg
https://cdn.ncbi.nlm.nih.gov/pmc/blobs/d770/9185583/df9ea91a6cd1/sensors-22-04060-g007.jpg
https://cdn.ncbi.nlm.nih.gov/pmc/blobs/d770/9185583/12ee001b57e5/sensors-22-04060-g008.jpg
https://cdn.ncbi.nlm.nih.gov/pmc/blobs/d770/9185583/00d8c5daadfc/sensors-22-04060-g009.jpg
https://cdn.ncbi.nlm.nih.gov/pmc/blobs/d770/9185583/d09664039698/sensors-22-04060-g0A1.jpg
https://cdn.ncbi.nlm.nih.gov/pmc/blobs/d770/9185583/33e6350f445e/sensors-22-04060-g0A2.jpg
https://cdn.ncbi.nlm.nih.gov/pmc/blobs/d770/9185583/f618adf6efab/sensors-22-04060-g0A3.jpg
https://cdn.ncbi.nlm.nih.gov/pmc/blobs/d770/9185583/041d7dff8544/sensors-22-04060-g0A4.jpg
https://cdn.ncbi.nlm.nih.gov/pmc/blobs/d770/9185583/b650475bde4c/sensors-22-04060-g0A5.jpg
https://cdn.ncbi.nlm.nih.gov/pmc/blobs/d770/9185583/25a114624687/sensors-22-04060-g001.jpg
https://cdn.ncbi.nlm.nih.gov/pmc/blobs/d770/9185583/43a02b07e86c/sensors-22-04060-g002.jpg
https://cdn.ncbi.nlm.nih.gov/pmc/blobs/d770/9185583/00c09bf780c0/sensors-22-04060-g003.jpg
https://cdn.ncbi.nlm.nih.gov/pmc/blobs/d770/9185583/f35e136274c0/sensors-22-04060-g004.jpg
https://cdn.ncbi.nlm.nih.gov/pmc/blobs/d770/9185583/650bd524e363/sensors-22-04060-g005.jpg
https://cdn.ncbi.nlm.nih.gov/pmc/blobs/d770/9185583/e9a15e2c431f/sensors-22-04060-g006.jpg
https://cdn.ncbi.nlm.nih.gov/pmc/blobs/d770/9185583/df9ea91a6cd1/sensors-22-04060-g007.jpg
https://cdn.ncbi.nlm.nih.gov/pmc/blobs/d770/9185583/12ee001b57e5/sensors-22-04060-g008.jpg
https://cdn.ncbi.nlm.nih.gov/pmc/blobs/d770/9185583/00d8c5daadfc/sensors-22-04060-g009.jpg

相似文献

1
Assessment of a Passive Lumbar Exoskeleton in Material Manual Handling Tasks under Laboratory Conditions.在实验室条件下评估材料手动搬运任务中的被动式腰部外骨骼。
Sensors (Basel). 2022 May 27;22(11):4060. doi: 10.3390/s22114060.
2
Effects of industrial back-support exoskeletons on body loading and user experience: an updated systematic review.工业背部支撑外骨骼对身体负荷和用户体验的影响:最新系统评价。
Ergonomics. 2021 Jun;64(6):685-711. doi: 10.1080/00140139.2020.1870162. Epub 2021 Mar 16.
3
Biomechanical Consequences of Using Passive and Active Back-Support Exoskeletons during Different Manual Handling Tasks.在不同的人工搬运任务中使用被动和主动背部支撑外骨骼的生物力学后果。
Int J Environ Res Public Health. 2023 Jul 28;20(15):6468. doi: 10.3390/ijerph20156468.
4
Evaluation of the physiological benefits of a passive back-support exoskeleton during lifting and working in forward leaning postures.评估被动式背部支撑外骨骼在向前倾姿势下进行举重和工作时的生理益处。
J Biomech. 2023 Mar;149:111489. doi: 10.1016/j.jbiomech.2023.111489. Epub 2023 Feb 14.
5
Flexible sensor-based biomechanical evaluation of low-back exoskeleton use in lifting.基于柔性传感器的腰部外骨骼在举重过程中的生物力学评估。
Ergonomics. 2024 Feb;67(2):182-193. doi: 10.1080/00140139.2023.2216408. Epub 2023 May 26.
6
Ergonomics assessment of passive upper-limb exoskeletons in an automotive assembly plant.汽车制造厂中被动式上肢外骨骼的工效学评估。
Appl Ergon. 2020 Sep;87:103120. doi: 10.1016/j.apergo.2020.103120. Epub 2020 Apr 15.
7
Design and evaluation of the OmniSuit: A passive occupational exoskeleton for back and shoulder support.OmniSuit的设计与评估:一种用于背部和肩部支撑的被动式职业外骨骼。
Appl Ergon. 2024 Oct;120:104332. doi: 10.1016/j.apergo.2024.104332. Epub 2024 Jun 14.
8
Assessment of Muscle Coordination Changes Caused by the Use of an Occupational Passive Lumbar Exoskeleton in Laboratory Conditions.在实验室条件下评估使用职业性被动腰部外骨骼引起的肌肉协调性变化。
Sensors (Basel). 2023 Dec 5;23(24):9631. doi: 10.3390/s23249631.
9
The Exo4Work shoulder exoskeleton effectively reduces muscle and joint loading during simulated occupational tasks above shoulder height.外骨骼 4 号肩部外骨骼在模拟高于肩部的职业任务时,能有效减少肌肉和关节的负荷。
Appl Ergon. 2022 Sep;103:103800. doi: 10.1016/j.apergo.2022.103800. Epub 2022 May 19.
10
Effects of a Passive Back Support Exoskeleton when Lifting and Carrying Lumber Boards.被动背部支撑外骨骼在搬运木板时的效果。
Annu Int Conf IEEE Eng Med Biol Soc. 2023 Jul;2023:1-4. doi: 10.1109/EMBC40787.2023.10340289.

引用本文的文献

1
JcvPCA and JsvCRP: A set of metrics to evaluate changes in joint coordination strategies.JcvPCA和JsvCRP:一组用于评估关节协调策略变化的指标。
PLoS One. 2025 Aug 5;20(8):e0325792. doi: 10.1371/journal.pone.0325792. eCollection 2025.
2
Effect of Wearable Exoskeleton Robots on Muscle Activation and Gait Parameters on a Treadmill: A Randomized Controlled Trial.可穿戴外骨骼机器人对跑步机上肌肉激活和步态参数的影响:一项随机对照试验。
Healthcare (Basel). 2025 Mar 22;13(7):700. doi: 10.3390/healthcare13070700.
3
Evaluating Exoskeletons for WMSD Prevention: A Systematic Review of Applications and Ergonomic Approach in Occupational Settings.

本文引用的文献

1
Systematic Review of Back-Support Exoskeletons and Soft Robotic Suits.背部支撑外骨骼和软质机器人套装的系统评价
Front Bioeng Biotechnol. 2021 Nov 2;9:765257. doi: 10.3389/fbioe.2021.765257. eCollection 2021.
2
Use of a passive lumbar back exoskeleton during a repetitive lifting task: effects on physiologic parameters and intersubject variability.在重复性举重任务中使用被动式腰部背部外骨骼:对生理参数和个体间可变性的影响。
Int J Occup Saf Ergon. 2022 Dec;28(4):2377-2384. doi: 10.1080/10803548.2021.1989179. Epub 2021 Nov 12.
3
The Effects of a Passive Exoskeleton on Human Thermal Responses in Temperate and Cold Environments.
评估用于预防工作相关肌肉骨骼疾病的外骨骼:职业环境中应用及人体工程学方法的系统综述
Int J Environ Res Public Health. 2024 Dec 19;21(12):1695. doi: 10.3390/ijerph21121695.
4
Active back exosuits demonstrate positive usability perceptions that drive intention-to-use in the field among logistic warehouse workers.主动式背部外骨骼在物流仓库工人中展示出积极的可用性感知,这推动了他们的使用意愿。
Appl Ergon. 2025 Jan;122:104400. doi: 10.1016/j.apergo.2024.104400. Epub 2024 Oct 9.
5
Assessment of Muscle Coordination Changes Caused by the Use of an Occupational Passive Lumbar Exoskeleton in Laboratory Conditions.在实验室条件下评估使用职业性被动腰部外骨骼引起的肌肉协调性变化。
Sensors (Basel). 2023 Dec 5;23(24):9631. doi: 10.3390/s23249631.
被动式外骨骼对温带和寒冷环境中人体热反应的影响。
Int J Environ Res Public Health. 2021 Apr 8;18(8):3889. doi: 10.3390/ijerph18083889.
4
Equivalent Weight: Connecting Exoskeleton Effectiveness with Ergonomic Risk during Manual Material Handling.等效重量:在手动搬运物料过程中连接外骨骼的功效与人体工程学风险。
Int J Environ Res Public Health. 2021 Mar 7;18(5):2677. doi: 10.3390/ijerph18052677.
5
Kinematic effects of a passive lift assistive exoskeleton.被动式升力辅助外骨骼的运动学效应。
J Biomech. 2021 May 7;120:110317. doi: 10.1016/j.jbiomech.2021.110317. Epub 2021 Mar 15.
6
Effects of an exoskeleton-assisted gait training on post-stroke lower-limb muscle coordination.外骨骼辅助步态训练对脑卒中后下肢肌肉协调性的影响。
J Neural Eng. 2021 Jun 4;18(4). doi: 10.1088/1741-2552/abf0d5.
7
Towards a Functional Performance Validation Standard for Industrial Low-Back Exoskeletons: State of the Art Review.面向工业腰部外骨骼的功能性能验证标准:最新技术综述。
Sensors (Basel). 2021 Jan 26;21(3):808. doi: 10.3390/s21030808.
8
Complexity Analysis of Surface Electromyography for Assessing the Myoelectric Manifestation of Muscle Fatigue: A Review.用于评估肌肉疲劳肌电表现的表面肌电图复杂性分析:综述
Entropy (Basel). 2020 May 7;22(5):529. doi: 10.3390/e22050529.
9
Adaptive ankle exoskeleton gait training demonstrates acute neuromuscular and spatiotemporal benefits for individuals with cerebral palsy: A pilot study.自适应踝关节外骨骼步态训练对脑瘫患者的急性神经肌肉和时空效益:一项初步研究。
Gait Posture. 2022 Jun;95:256-263. doi: 10.1016/j.gaitpost.2020.11.005. Epub 2020 Nov 11.
10
The use of exoskeletons to help with prone positioning in the intensive care unit during COVID-19.在新冠肺炎疫情期间,使用外骨骼辅助重症监护病房中的俯卧位摆放。
Ann Phys Rehabil Med. 2020 Jul;63(4):379-382. doi: 10.1016/j.rehab.2020.05.004. Epub 2020 Jun 10.