• 文献检索
  • 文档翻译
  • 深度研究
  • 学术资讯
  • Suppr Zotero 插件Zotero 插件
  • 邀请有礼
  • 套餐&价格
  • 历史记录
应用&插件
Suppr Zotero 插件Zotero 插件浏览器插件Mac 客户端Windows 客户端微信小程序
定价
高级版会员购买积分包购买API积分包
服务
文献检索文档翻译深度研究API 文档MCP 服务
关于我们
关于 Suppr公司介绍联系我们用户协议隐私条款
关注我们

Suppr 超能文献

核心技术专利:CN118964589B侵权必究
粤ICP备2023148730 号-1Suppr @ 2026

文献检索

告别复杂PubMed语法,用中文像聊天一样搜索,搜遍4000万医学文献。AI智能推荐,让科研检索更轻松。

立即免费搜索

文件翻译

保留排版,准确专业,支持PDF/Word/PPT等文件格式,支持 12+语言互译。

免费翻译文档

深度研究

AI帮你快速写综述,25分钟生成高质量综述,智能提取关键信息,辅助科研写作。

立即免费体验

缺血后处理减轻双侧肾缺血诱导的认知障碍。

Ischemic Postconditioning Attenuates Bilateral Renal Ischemia-induced Cognitive Impairments.

作者信息

Tahamtan Mahshid, Nazari Abbas, Aghaei Iraj, Shabani Mohammad

机构信息

Department of Neuroscience, School of Advanced Medical Sciences and Technologies, Shiraz University of Medical Sciences, Shiraz, Iran.

Department of Biology, Shiraz Branch, Islamic Azad University, Shiraz, Iran.

出版信息

Basic Clin Neurosci. 2021 Nov-Dec;12(6):789-804. doi: 10.32598/bcn.2021.1941.1. Epub 2021 Nov 1.

DOI:10.32598/bcn.2021.1941.1
PMID:35693144
原文链接:https://pmc.ncbi.nlm.nih.gov/articles/PMC9168816/
Abstract

INTRODUCTION

Acute Kidney Injury (AKI) is a frequent complication of kidney failure with high mortality, leading to brain dysfunction. This study aimed to investigate the possible protective effect of Ischemic Postconditioning (IPo) against brain dysfunction induced by Bilateral Renal Ischemia (BRI).

METHODS

Male Wistar rats underwent BRI, sham, or IPo surgery 24h and 1w after reperfusion. The rats' explorative behaviors and motor function were evaluated by an open field, rotarod, and wire grip tests. The cognitive function was assessed by passive avoidance learning and Morris water maze tests. Western blotting was performed to evaluate hippocampal Brain-Derived Neurotrophic Factor (BDNF) expression.

RESULTS

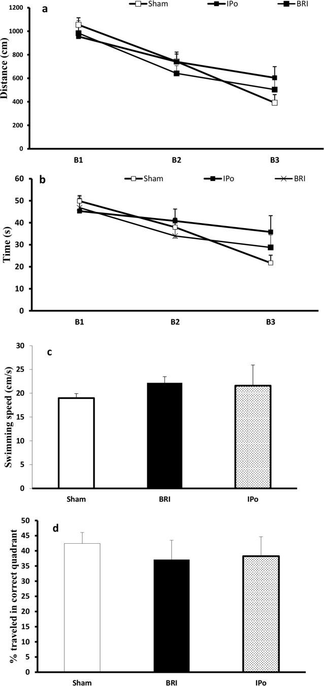
The impairment of balance function induced by BRI was not reversed; however, passive avoidance learning impairment was reversed by postconditioning 24h after reperfusion. IPo increased muscle strength compared to the BRI group; however, explorative behaviors and balance function had no difference 1w after reperfusion. BRI significantly decreased the BDNF protein expression in the hippocampus, and postconditioning increased 24h after reperfusion.

CONCLUSION

The obtained results demonstrated the deleterious effect of BRI on cognitive and balance function 24h after reperfusion. IPo indicated a curative effect against cognitive dysfunction probably by enhancing BDNF protein expression in the hippocampus.

HIGHLIGHTS

IPo improved passive avoidance learning impairment induced by BRI.IPo increased muscle strength compared to the BRI group.BRI significantly decreased the BDNF protein expression in the hippocampus.IPo increased BDNF protein expression 24h after reperfusion.

PLAIN LANGUAGE SUMMARY

Acute kidney injury may be associated with numerous complications in different regions of brain, as it may alter the permeability of the blood-brain barrier, accumulate the toxins, decreased blood flow to the brain, increased risk of encephalopathy, higher mental dysfunctions like delirium, stroke, memory and thinking problems (dementia) in people with kidney failure. It has been demonstrated that the most common causes of mortality in acute kidney injury is brain dysfunction. Therefore, discovering new treatments can decrease the brain injuries and help the patients with kidney dysfunction to have a higher quality of life. Ischemic postconditioning, which refers to a series of brief ischemia and reperfusion cycles applied immediately at the site of the ischemic organ after reperfusion, results in reduced injuries induced by ischemia. The purpose of the current study was designed to investigate whether ischemic postconditioning exerts neuroprotective effects against brain dysfunctions induced by renal ischemia in rats. Results of this study demonstrated that acute kidney injury triggers distant organ dysfunction and leads to cognitive and balance dysfunction 24h after induction of renal ischemia and ischemic postconditioning protects the brain as a remote organ against cognitive dysfunction from the injury induced by renal ischemia.

https://cdn.ncbi.nlm.nih.gov/pmc/blobs/7ece/9168816/d64a04c26e40/BCN-12-789-g011.jpg
https://cdn.ncbi.nlm.nih.gov/pmc/blobs/7ece/9168816/9dff9c61500a/BCN-12-789-g001.jpg
https://cdn.ncbi.nlm.nih.gov/pmc/blobs/7ece/9168816/bc598d607fd8/BCN-12-789-g002.jpg
https://cdn.ncbi.nlm.nih.gov/pmc/blobs/7ece/9168816/9bdf95e6acc5/BCN-12-789-g003.jpg
https://cdn.ncbi.nlm.nih.gov/pmc/blobs/7ece/9168816/9471d3ca7acf/BCN-12-789-g004.jpg
https://cdn.ncbi.nlm.nih.gov/pmc/blobs/7ece/9168816/e8c67585a331/BCN-12-789-g005.jpg
https://cdn.ncbi.nlm.nih.gov/pmc/blobs/7ece/9168816/aa7f24f500d8/BCN-12-789-g006.jpg
https://cdn.ncbi.nlm.nih.gov/pmc/blobs/7ece/9168816/4ea75a6ee1d6/BCN-12-789-g007.jpg
https://cdn.ncbi.nlm.nih.gov/pmc/blobs/7ece/9168816/b1eb3fe64bda/BCN-12-789-g008.jpg
https://cdn.ncbi.nlm.nih.gov/pmc/blobs/7ece/9168816/39f9c14828a9/BCN-12-789-g009.jpg
https://cdn.ncbi.nlm.nih.gov/pmc/blobs/7ece/9168816/4b23ca3d2b64/BCN-12-789-g010a.jpg
https://cdn.ncbi.nlm.nih.gov/pmc/blobs/7ece/9168816/d64a04c26e40/BCN-12-789-g011.jpg
https://cdn.ncbi.nlm.nih.gov/pmc/blobs/7ece/9168816/9dff9c61500a/BCN-12-789-g001.jpg
https://cdn.ncbi.nlm.nih.gov/pmc/blobs/7ece/9168816/bc598d607fd8/BCN-12-789-g002.jpg
https://cdn.ncbi.nlm.nih.gov/pmc/blobs/7ece/9168816/9bdf95e6acc5/BCN-12-789-g003.jpg
https://cdn.ncbi.nlm.nih.gov/pmc/blobs/7ece/9168816/9471d3ca7acf/BCN-12-789-g004.jpg
https://cdn.ncbi.nlm.nih.gov/pmc/blobs/7ece/9168816/e8c67585a331/BCN-12-789-g005.jpg
https://cdn.ncbi.nlm.nih.gov/pmc/blobs/7ece/9168816/aa7f24f500d8/BCN-12-789-g006.jpg
https://cdn.ncbi.nlm.nih.gov/pmc/blobs/7ece/9168816/4ea75a6ee1d6/BCN-12-789-g007.jpg
https://cdn.ncbi.nlm.nih.gov/pmc/blobs/7ece/9168816/b1eb3fe64bda/BCN-12-789-g008.jpg
https://cdn.ncbi.nlm.nih.gov/pmc/blobs/7ece/9168816/39f9c14828a9/BCN-12-789-g009.jpg
https://cdn.ncbi.nlm.nih.gov/pmc/blobs/7ece/9168816/4b23ca3d2b64/BCN-12-789-g010a.jpg
https://cdn.ncbi.nlm.nih.gov/pmc/blobs/7ece/9168816/d64a04c26e40/BCN-12-789-g011.jpg
摘要

引言

急性肾损伤(AKI)是肾衰竭常见的并发症,死亡率高,可导致脑功能障碍。本研究旨在探讨缺血后处理(IPo)对双侧肾缺血(BRI)所致脑功能障碍可能的保护作用。

方法

雄性Wistar大鼠在再灌注后24小时和1周接受BRI、假手术或IPo手术。通过旷场试验、转棒试验和握力试验评估大鼠的探索行为和运动功能。通过被动回避学习和莫里斯水迷宫试验评估认知功能。采用蛋白质免疫印迹法评估海马脑源性神经营养因子(BDNF)的表达。

结果

BRI所致的平衡功能损害未得到逆转;然而,再灌注后24小时进行后处理可逆转被动回避学习障碍。与BRI组相比,IPo增加了肌肉力量;然而,再灌注1周后探索行为和平衡功能无差异。BRI显著降低海马中BDNF蛋白表达,再灌注后24小时进行后处理可使其增加。

结论

所得结果表明BRI在再灌注后24小时对认知和平衡功能具有有害作用。IPo可能通过增强海马中BDNF蛋白表达对认知功能障碍具有治疗作用。

要点

IPo改善了BRI所致的被动回避学习障碍。与BRI组相比,IPo增加了肌肉力量。BRI显著降低海马中BDNF蛋白表达。再灌注后24小时IPo增加了BDNF蛋白表达。

通俗易懂的总结

急性肾损伤可能与脑不同区域的多种并发症相关,因为它可能改变血脑屏障的通透性、蓄积毒素、减少脑血流量、增加脑病风险、导致肾衰竭患者出现更严重的精神功能障碍如谵妄、中风、记忆和思维问题(痴呆)。已证明急性肾损伤最常见的死亡原因是脑功能障碍。因此,发现新的治疗方法可减少脑损伤,帮助肾功能不全患者提高生活质量。缺血后处理是指在再灌注后立即在缺血器官部位施加一系列短暂的缺血和再灌注循环,可减轻缺血所致损伤。本研究的目的是调查缺血后处理是否对大鼠肾缺血所致脑功能障碍具有神经保护作用。本研究结果表明急性肾损伤引发远处器官功能障碍,导致肾缺血诱导后24小时出现认知和平衡功能障碍,缺血后处理可保护脑这一远处器官免受肾缺血所致损伤引起的认知功能障碍。

相似文献

1
Ischemic Postconditioning Attenuates Bilateral Renal Ischemia-induced Cognitive Impairments.缺血后处理减轻双侧肾缺血诱导的认知障碍。
Basic Clin Neurosci. 2021 Nov-Dec;12(6):789-804. doi: 10.32598/bcn.2021.1941.1. Epub 2021 Nov 1.
2
Pre-Treatment with Erythropoietin Attenuates Bilateral Renal Ischemia-Induced Cognitive Impairments.促红细胞生成素预处理可减轻双侧肾缺血诱导的认知障碍。
Iran J Pharm Res. 2018 Spring;17(2):601-612.
3
[Expression of kidney injury molecule-1 in renal ischemic postconditioning and its protective effect against renal ischemia-reperfusion injury in rats].肾损伤分子-1在肾缺血后处理中的表达及其对大鼠肾缺血-再灌注损伤的保护作用
Beijing Da Xue Xue Bao Yi Xue Ban. 2012 Aug 18;44(4):511-7.
4
Erythropoietin attenuates motor impairments induced by bilateral renal ischemia/reperfusion in rats.促红细胞生成素减轻大鼠双侧肾缺血/再灌注诱导的运动障碍。
Fundam Clin Pharmacol. 2016 Dec;30(6):502-510. doi: 10.1111/fcp.12226. Epub 2016 Aug 24.
5
Immediate but not delayed postconditioning during reperfusion attenuates acute lung injury induced by intestinal ischemia/reperfusion in rats: comparison with ischemic preconditioning.再灌注期间即刻而非延迟的后适应可减轻大鼠肠缺血/再灌注诱导的急性肺损伤:与缺血预处理的比较。
J Surg Res. 2009 Nov;157(1):e55-62. doi: 10.1016/j.jss.2008.11.843. Epub 2008 Dec 13.
6
Ischemic postconditioning attenuates acute kidney injury following intestinal ischemia-reperfusion through Nrf2-regulated autophagy, anti-oxidation, and anti-inflammation in mice.缺血后处理通过 Nrf2 调控的自噬、抗氧化和抗炎减轻小鼠肠缺血再灌注后急性肾损伤。
FASEB J. 2020 Jul;34(7):8887-8901. doi: 10.1096/fj.202000274R. Epub 2020 Jun 10.
7
[Preventive effects of ischemic postconditioning and penehyclidine hydrochloride on gastric against ischemia-reperfusion injury in rats].缺血后处理与盐酸戊乙奎醚对大鼠胃缺血再灌注损伤的预防作用
Zhonghua Yi Xue Za Zhi. 2011 Apr 26;91(16):1130-5.
8
Ischemic post-conditioning attenuates renal ischemic reperfusion injury via down-regulation of toll-like receptor 4 in diabetic rats.缺血后处理通过下调糖尿病大鼠Toll样受体4减轻肾缺血再灌注损伤。
Ren Fail. 2016 Oct;38(9):1425-1431. doi: 10.1080/0886022X.2016.1214148. Epub 2016 Aug 5.
9
Ischemic postconditioning inhibits apoptosis in an in vitro proximal tubular cell model.缺血后适应可抑制体外近端肾小管细胞模型中的细胞凋亡。
Mol Med Rep. 2015 Jul;12(1):99-104. doi: 10.3892/mmr.2015.3344. Epub 2015 Feb 12.
10
Ischemic postconditioning attenuates lung reperfusion injury and reduces systemic proinflammatory cytokine release via heme oxygenase 1.缺血后处理通过血红素加氧酶 1 减轻肺再灌注损伤并减少全身促炎细胞因子的释放。
J Surg Res. 2011 Apr;166(2):e157-64. doi: 10.1016/j.jss.2010.11.902. Epub 2010 Dec 21.

引用本文的文献

1
Communication Regarding the Myocardial Ischemia/Reperfusion and Cognitive Impairment: A Narrative Literature Review.心肌缺血/再灌注与认知障碍的沟通:叙事文献综述。
J Alzheimers Dis. 2024;97(4):1545-1570. doi: 10.3233/JAD-230886.

本文引用的文献

1
Cannabinoid receptor agonism suppresses tremor, cognition disturbances and anxiety-like behaviors in a rat model of essential tremor.大麻素受体激动作用可抑制特发性震颤大鼠模型中的震颤、认知障碍和焦虑样行为。
Physiol Behav. 2016 Oct 1;164(Pt A):314-20. doi: 10.1016/j.physbeh.2016.06.013. Epub 2016 Jun 15.
2
[Expression of BDNF neurotrophin in the hippocampus and neocortex of rats during the development of post-stress anxiety and its correction by hypoxic postconditioning].[应激后焦虑症发展过程中大鼠海马和新皮层中脑源性神经营养因子的表达及其低氧后处理的纠正作用]
Morfologiia. 2014;146(5):14-8.
3
Ischemic postconditioning prevents renal ischemia reperfusion injury through the induction of heat shock proteins in rats.
缺血后处理通过诱导大鼠热休克蛋白来预防肾缺血再灌注损伤。
Mol Med Rep. 2014 Dec;10(6):2875-81. doi: 10.3892/mmr.2014.2641. Epub 2014 Oct 14.
4
[Effect of hypoxic postconditioning on the expression of antiapoptotic protein Bcl-2 and neurotrophin BDNF in CA1 hippocampal field of rats surviving severe hypoxia].[缺氧后处理对严重缺氧存活大鼠海马CA1区抗凋亡蛋白Bcl-2和神经营养因子BDNF表达的影响]
Morfologiia. 2014;145(2):16-20.
5
Prosurvival NMDA 2A receptor signaling mediates postconditioning neuroprotection in the hippocampus.促存活的N-甲基-D-天冬氨酸2A受体信号传导介导海马体中的后适应神经保护作用。
Hippocampus. 2015 Mar;25(3):286-96. doi: 10.1002/hipo.22372. Epub 2014 Nov 1.
6
Brain-kidney crosstalk.脑-肾相互作用
Crit Care. 2014 Jun 5;18(3):225. doi: 10.1186/cc13907.
7
Protection of liver as a remote organ after renal ischemia-reperfusion injury by renal ischemic postconditioning.肾缺血后处理对肾缺血-再灌注损伤后肝脏这一远隔器官的保护作用。
Int J Nephrol. 2014;2014:120391. doi: 10.1155/2014/120391. Epub 2014 Mar 12.
8
Peroxisome proliferator-activated receptor-γ activation attenuates motor and cognition impairments induced by bile duct ligation in a rat model of hepatic cirrhosis.过氧化物酶体增殖物激活受体γ激活可减轻肝硬化大鼠模型中胆管结扎诱导的运动和认知障碍。
Pharmacol Biochem Behav. 2014 May;120:133-9. doi: 10.1016/j.pbb.2014.03.002. Epub 2014 Mar 11.
9
Exercise preconditioning improves behavioral functions following transient cerebral ischemia induced by 4-vessel occlusion (4-VO) in rats.运动预处理可改善大鼠四动脉闭塞(4-VO)诱导的短暂性脑缺血后的行为功能。
Arch Iran Med. 2013 Dec;16(12):697-704.
10
Maternal mobile phone exposure adversely affects the electrophysiological properties of Purkinje neurons in rat offspring.母体手机暴露会对仔鼠浦肯野神经元的电生理特性产生不良影响。
Neuroscience. 2013 Oct 10;250:588-98. doi: 10.1016/j.neuroscience.2013.07.049. Epub 2013 Jul 29.