• 文献检索
  • 文档翻译
  • 深度研究
  • 学术资讯
  • Suppr Zotero 插件Zotero 插件
  • 邀请有礼
  • 套餐&价格
  • 历史记录
应用&插件
Suppr Zotero 插件Zotero 插件浏览器插件Mac 客户端Windows 客户端微信小程序
定价
高级版会员购买积分包购买API积分包
服务
文献检索文档翻译深度研究API 文档MCP 服务
关于我们
关于 Suppr公司介绍联系我们用户协议隐私条款
关注我们

Suppr 超能文献

核心技术专利:CN118964589B侵权必究
粤ICP备2023148730 号-1Suppr @ 2026

文献检索

告别复杂PubMed语法,用中文像聊天一样搜索,搜遍4000万医学文献。AI智能推荐,让科研检索更轻松。

立即免费搜索

文件翻译

保留排版,准确专业,支持PDF/Word/PPT等文件格式,支持 12+语言互译。

免费翻译文档

深度研究

AI帮你快速写综述,25分钟生成高质量综述,智能提取关键信息,辅助科研写作。

立即免费体验

氨纤维膨胀结合氢氧化钠预处理对草本和木本木质纤维素生物质资源效率的影响

Effect of Ammonia Fiber Expansion Combined with NaOH Pretreatment on the Resource Efficiency of Herbaceous and Woody Lignocellulosic Biomass.

作者信息

Zhang Jingjing, Zhang Weihua, Cai Ziyuan, Zhang Jilin, Guan Dan, Ji Dandan, Gao Wensheng

机构信息

College of Environmental Science and Engineering, Qilu University of Technology (Shandong Academy of Science), Jinan, Shandong, P. R. China 250353.

Institute of Vegetables and Flowers, Shandong Academy of Agricultural Sciences, Jinan, Shandong, P. R. China 250100.

出版信息

ACS Omega. 2022 May 24;7(22):18761-18769. doi: 10.1021/acsomega.2c01302. eCollection 2022 Jun 7.

DOI:10.1021/acsomega.2c01302
PMID:35694490
原文链接:https://pmc.ncbi.nlm.nih.gov/articles/PMC9178718/
Abstract

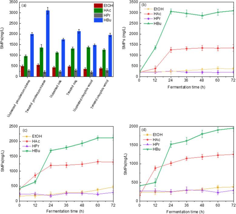
The most essential issue facing the world today is the provision of energy and sustainable consumption of natural resources. Pretreatment is an essential step to produce biofuels from lignocellulosic biomass. In this study, ammonia fiber explosion (AFEX) combined with NaOH (A-NaOH) pretreatment effects on the characteristics of (herbaceous), oak (hardwood), and camphor wood (softwood) were assessed using enzymatic efficiency analysis, thereby identifying the composition properties of subsequent bio-H production. The results show that the lignin removal (84.2%, 59.7%, and 36.7%, respectively) at 5%A-NaOH conditions and enzymatic efficiency (36.2%, 9.7%, and 6.5%, respectively) of (), oak, and camphor wood were significantly increased under 4% A-NaOH conditions. Further A-NaOH pretreatment significantly promoted dark fermentation bio-H production (152.3, 99.1, and 76.9 mL/g TS, respectively) and volatile acid production (4660.2, 3720.2, and 3496.2 mg/L, respectively) of , oak, and camphor wood. These findings show that A-NaOH pretreatment is an effective means of utilization of lignocellulose resources.

摘要

当今世界面临的最关键问题是能源供应和自然资源的可持续消耗。预处理是从木质纤维素生物质生产生物燃料的关键步骤。在本研究中,通过酶效率分析评估了氨纤维爆破(AFEX)结合NaOH(A-NaOH)预处理对(草本植物)、橡木(硬木)和樟木(软木)特性的影响,从而确定后续生物制氢的组成特性。结果表明,在5%A-NaOH条件下,()、橡木和樟木的木质素去除率(分别为84.2%、59.7%和36.7%)和酶效率(分别为36.2%、9.7%和6.5%)在4%A-NaOH条件下显著提高。进一步的A-NaOH预处理显著促进了()、橡木和樟木的暗发酵生物制氢(分别为152.3、99.1和76.9 mL/g TS)和挥发性酸产生(分别为4660.2、3720.2和3496.2 mg/L)。这些发现表明,A-NaOH预处理是利用木质纤维素资源的有效手段。

https://cdn.ncbi.nlm.nih.gov/pmc/blobs/272a/9178718/adb3a14e02dc/ao2c01302_0005.jpg
https://cdn.ncbi.nlm.nih.gov/pmc/blobs/272a/9178718/fad6efe81a33/ao2c01302_0001.jpg
https://cdn.ncbi.nlm.nih.gov/pmc/blobs/272a/9178718/6a52365ae68c/ao2c01302_0002.jpg
https://cdn.ncbi.nlm.nih.gov/pmc/blobs/272a/9178718/c7b57bfa3ddc/ao2c01302_0003.jpg
https://cdn.ncbi.nlm.nih.gov/pmc/blobs/272a/9178718/511b5b55ae43/ao2c01302_0004.jpg
https://cdn.ncbi.nlm.nih.gov/pmc/blobs/272a/9178718/adb3a14e02dc/ao2c01302_0005.jpg
https://cdn.ncbi.nlm.nih.gov/pmc/blobs/272a/9178718/fad6efe81a33/ao2c01302_0001.jpg
https://cdn.ncbi.nlm.nih.gov/pmc/blobs/272a/9178718/6a52365ae68c/ao2c01302_0002.jpg
https://cdn.ncbi.nlm.nih.gov/pmc/blobs/272a/9178718/c7b57bfa3ddc/ao2c01302_0003.jpg
https://cdn.ncbi.nlm.nih.gov/pmc/blobs/272a/9178718/511b5b55ae43/ao2c01302_0004.jpg
https://cdn.ncbi.nlm.nih.gov/pmc/blobs/272a/9178718/adb3a14e02dc/ao2c01302_0005.jpg

相似文献

1
Effect of Ammonia Fiber Expansion Combined with NaOH Pretreatment on the Resource Efficiency of Herbaceous and Woody Lignocellulosic Biomass.氨纤维膨胀结合氢氧化钠预处理对草本和木本木质纤维素生物质资源效率的影响
ACS Omega. 2022 May 24;7(22):18761-18769. doi: 10.1021/acsomega.2c01302. eCollection 2022 Jun 7.
2
Effect of Ammoniated Fiber Explosion Combined with HO Pretreatment on the Hydrogen Production Capacity of Herbaceous and Woody Waste.氨化纤维爆破联合过氧化氢预处理对草本和木质废弃物产氢能力的影响
ACS Omega. 2022 Jun 13;7(25):21433-21443. doi: 10.1021/acsomega.2c00598. eCollection 2022 Jun 28.
3
Pretreatment of Pennisetum sinese silages with ferulic acid esterase-producing lactic acid bacteria and cellulase at two dry matter contents: Fermentation characteristics, carbohydrates composition and enzymatic saccharification.在两种干物质含量下用产阿魏酸酯酶乳酸菌和纤维素酶预处理皇竹草青贮:发酵特性、碳水化合物组成和酶解糖化。
Bioresour Technol. 2020 Jan;295:122261. doi: 10.1016/j.biortech.2019.122261. Epub 2019 Oct 14.
4
Lignocellulosic biomass pretreatment using AFEX.使用AFEX进行木质纤维素生物质预处理。
Methods Mol Biol. 2009;581:61-77. doi: 10.1007/978-1-60761-214-8_5.
5
Ammonia Fiber Expansion (AFEX) Pretreatment of Lignocellulosic Biomass.木质纤维素生物质的氨纤维膨胀(AFEX)预处理
J Vis Exp. 2020 Apr 18(158). doi: 10.3791/57488.
6
The effects of fibrolytic enzymes, cellulolytic fungi and bacteria on the fermentation characteristics, structural carbohydrates degradation, and enzymatic conversion yields of Pennisetum sinese silage.纤维分解酶、纤维素分解真菌和细菌对中国狼尾草青贮发酵特性、结构性碳水化合物降解和酶转化效率的影响。
Bioresour Technol. 2018 Sep;264:123-130. doi: 10.1016/j.biortech.2018.05.059. Epub 2018 May 18.
7
Pretreatment methods for bioethanol production.生物乙醇生产的预处理方法。
Appl Biochem Biotechnol. 2014 Sep;174(1):43-62. doi: 10.1007/s12010-014-1015-y. Epub 2014 Jun 28.
8
Woody biomass pretreatment for cellulosic ethanol production: Technology and energy consumption evaluation.木质生物质用于生产纤维素乙醇的预处理:技术和能源消耗评估。
Bioresour Technol. 2010 Jul;101(13):4992-5002. doi: 10.1016/j.biortech.2009.11.007. Epub 2009 Dec 6.
9
A New Method to Overcome Carboxyamide Formation During AFEX Pretreatment of Lignocellulosic Biomass.一种克服木质纤维素生物质AFEX预处理过程中羧酰胺形成的新方法。
Front Chem. 2022 Jan 21;9:826625. doi: 10.3389/fchem.2021.826625. eCollection 2021.
10
Physico-Chemical Conversion of Lignocellulose: Inhibitor Effects and Detoxification Strategies: A Mini Review.木质纤维素的理化转化:抑制剂效应与解毒策略:小型综述。
Molecules. 2018 Feb 1;23(2):309. doi: 10.3390/molecules23020309.

引用本文的文献

1
The secretion of Pseudomonas unconventional peroxidase facilitates extracellular carbon acquisition from heterogeneous lignin.铜绿假单胞菌非常规过氧化物酶的分泌有助于从异质木质素中进行细胞外碳获取。
Commun Biol. 2025 Aug 30;8(1):1318. doi: 10.1038/s42003-025-08749-7.
2
Bisulfite Pretreatment Improves Enzymatic Digestibility of Oil Palm Empty Fruit Bunch and Poplar Through Changing Its Structure and Lignin Distribution.亚硫酸氢盐预处理通过改变油棕空果串和杨树的结构及木质素分布提高其酶解消化率。
Int J Mol Sci. 2025 Jun 1;26(11):5334. doi: 10.3390/ijms26115334.
3
Effects of Different Pretreatments on Wheat Bran and Its Arabinoxylan Obtained by Sequential Extraction with Dilute Alkali and Alkali-Urea Mixture.

本文引用的文献

1
Lignocellulosic biomass-based pyrolysis: A comprehensive review.木质纤维素生物质热解:全面综述。
Chemosphere. 2022 Jan;286(Pt 2):131824. doi: 10.1016/j.chemosphere.2021.131824. Epub 2021 Aug 6.
2
Insight into the recent advances of microwave pretreatment technologies for the conversion of lignocellulosic biomass into sustainable biofuel.深入探讨微波预处理技术在将木质纤维素生物质转化为可持续生物燃料方面的最新进展。
Chemosphere. 2021 Oct;281:130878. doi: 10.1016/j.chemosphere.2021.130878. Epub 2021 May 17.
3
Pretreatment of lignocellulosic biomass: A review on recent advances.
不同预处理对麦麸及其通过稀碱和碱-尿素混合液顺序提取得到的阿拉伯木聚糖的影响
Foods. 2025 Feb 18;14(4):696. doi: 10.3390/foods14040696.
4
Straw Tar Epoxy Resin for Carbon Fiber-Reinforced Plastic: A Review.用于碳纤维增强塑料的秸秆焦油环氧树脂:综述
Polymers (Basel). 2024 Aug 28;16(17):2433. doi: 10.3390/polym16172433.
5
Lignin Extraction by Using Two-Step Fractionation: A Review.采用两步分级法提取木质素:综述
Molecules. 2023 Dec 22;29(1):98. doi: 10.3390/molecules29010098.
6
Origin, Selection, and Succession of Coastal Intertidal Zone-Derived Bacterial Communities Associated with the Degradation of Various Lignocellulose Substrates.沿海潮间带细菌群落的起源、选择和演替及其对各种木质纤维素基质降解的关系。
Microb Ecol. 2023 Oct;86(3):1589-1603. doi: 10.1007/s00248-023-02170-5. Epub 2023 Jan 31.
木质纤维素生物质的预处理:近期进展综述
Bioresour Technol. 2021 Aug;334:125235. doi: 10.1016/j.biortech.2021.125235. Epub 2021 Apr 28.
4
Analysis of the functional group composition of the spruce and birch phloem lignin.分析云杉和桦木韧皮部木质素的官能团组成。
Int J Biol Macromol. 2021 Jan 1;166:913-922. doi: 10.1016/j.ijbiomac.2020.10.248. Epub 2020 Nov 2.
5
Current advancement on the isolation, characterization and application of lignin.当前在木质素的分离、表征和应用方面的进展。
Int J Biol Macromol. 2020 Nov 1;162:985-1024. doi: 10.1016/j.ijbiomac.2020.06.168. Epub 2020 Jun 24.
6
Effect of alkaline pretreatment on photo-fermentative hydrogen production from giant reed: Comparison of NaOH and Ca(OH).碱性预处理对芦竹光合产氢的影响:NaOH 和 Ca(OH)2 的比较。
Bioresour Technol. 2020 May;304:123001. doi: 10.1016/j.biortech.2020.123001. Epub 2020 Feb 11.
7
Effects of different pretreatment methods on the structural characteristics, enzymatic saccharification and photo-fermentative bio-hydrogen production performance of corn straw.不同预处理方法对玉米秸秆结构特性、酶解糖化及光合发酵产氢性能的影响。
Bioresour Technol. 2020 May;304:122999. doi: 10.1016/j.biortech.2020.122999. Epub 2020 Feb 11.
8
Recent advances on ammonia-based pretreatments of lignocellulosic biomass.氨预处理木质纤维素生物质的最新进展。
Bioresour Technol. 2020 Feb;298:122446. doi: 10.1016/j.biortech.2019.122446. Epub 2019 Nov 18.
9
Production and characterization of lignin and cellulose fractions obtained from pretreated vine shoots by microwave assisted alkali treatment.采用微波辅助碱处理从预处理的葡萄嫩枝中制备木质素和纤维素级分及其特性研究。
Bioresour Technol. 2019 Oct;289:121726. doi: 10.1016/j.biortech.2019.121726. Epub 2019 Jun 29.
10
Cellulosic ethanol production: Progress, challenges and strategies for solutions.纤维素乙醇生产:进展、挑战与解决方案策略。
Biotechnol Adv. 2019 May-Jun;37(3):491-504. doi: 10.1016/j.biotechadv.2019.03.002. Epub 2019 Mar 5.