Suppr超能文献

使用金属改性HZSM-5催化剂对非食用油进行催化热解以生产可再生芳烃

Catalytic Pyrolysis of Nonedible Oils for the Production of Renewable Aromatics Using Metal-Modified HZSM-5 Catalysts.

作者信息

Liu Xiaoling, Wu Yafei, Zhang Jun, Zhang Yu, Li Xun, Xia Haian, Wang Fei

机构信息

Jiangsu Co-Innovation Center of Efficient Processing and Utilization of Forest Resources, College of Chemical Engineering, Nanjing Forestry University, Nanjing 210037, China.

Jiangsu Provincial Key Lab for Chemistry and Utilization of Agro-Forest Biomass, Jiangsu Key Lab of Biomass-Based Green Fuels and Chemicals, Nanjing Forestry University, Nanjing 210037, China.

出版信息

ACS Omega. 2022 May 27;7(22):18953-18968. doi: 10.1021/acsomega.2c02011. eCollection 2022 Jun 7.

Abstract

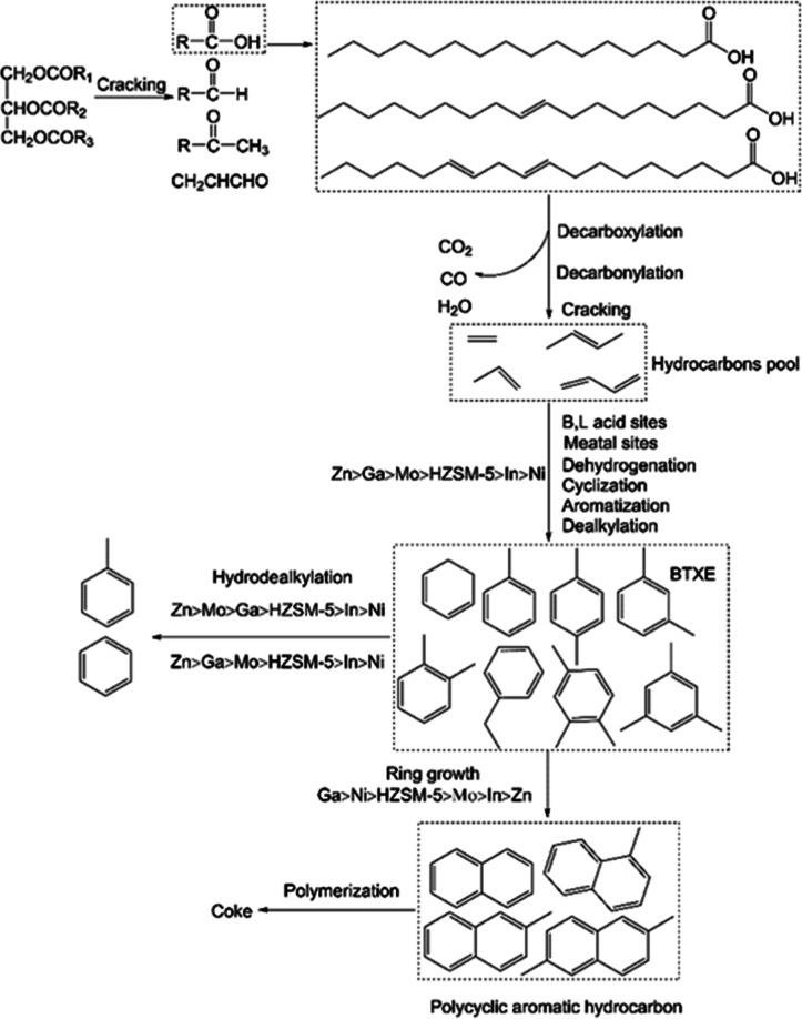
Catalytic pyrolysis of triglycerides to aromatics over zeolites is an advanced technology for a high value-added utilization of renewable biomass resources. Therefore, in this research, the catalytic performance of M/HZSM-5 catalysts (M = Zn, Ga, In, Ni, and Mo) during the pyrolysis process of glycerol trioleate and the effect of the compositional difference of several woody oils and waste oils on aromatic formation were investigated. Results revealed that Zn/HZSM-5 with appropriate acidity and metal sites reached the maximum aromatics yield (56.13%) and significantly enhanced the catalytic stability. In addition, these renewable nonedible oils were effectively converted to aromatics over the Zn/HZSM-5 catalyst, the aromatic yield of jatropha oil reached up to 50.33%, and the unsaturation and double bond number of feedstocks were crucial for the production of aromatics. The utilization of biomass resources to produce high value-added aromatics can alleviate the problems caused by the shortage of fossil resources and achieve sustainable green development.

摘要

在沸石上催化甘油三酯热解制备芳烃是可再生生物质资源高附加值利用的一项先进技术。因此,本研究考察了M/HZSM-5催化剂(M = Zn、Ga、In、Ni和Mo)在三油酸甘油酯热解过程中的催化性能,以及几种木本油和废油的组成差异对芳烃生成的影响。结果表明,具有适当酸度和金属位点的Zn/HZSM-5达到了最大芳烃产率(56.13%),并显著提高了催化稳定性。此外,这些可再生非食用油在Zn/HZSM-5催化剂上能有效转化为芳烃,麻疯树油的芳烃产率高达50.33%,原料的不饱和度和双键数对芳烃生产至关重要。利用生物质资源生产高附加值芳烃可以缓解化石资源短缺带来的问题,实现可持续绿色发展。

https://cdn.ncbi.nlm.nih.gov/pmc/blobs/9802/9178952/495267954f4f/ao2c02011_0002.jpg

文献检索

告别复杂PubMed语法,用中文像聊天一样搜索,搜遍4000万医学文献。AI智能推荐,让科研检索更轻松。

立即免费搜索

文件翻译

保留排版,准确专业,支持PDF/Word/PPT等文件格式,支持 12+语言互译。

免费翻译文档

深度研究

AI帮你快速写综述,25分钟生成高质量综述,智能提取关键信息,辅助科研写作。

立即免费体验