Suppr超能文献

衰老男性的死亡率和发病率:生物学、生活方式和环境。

Mortality and morbidity in ageing men: Biology, Lifestyle and Environment.

机构信息

Davis School of Gerontology, University of Southern California, 90089-0191, Los Angeles, CA, United States.

出版信息

Rev Endocr Metab Disord. 2022 Dec;23(6):1285-1304. doi: 10.1007/s11154-022-09737-6. Epub 2022 Jun 14.

Abstract

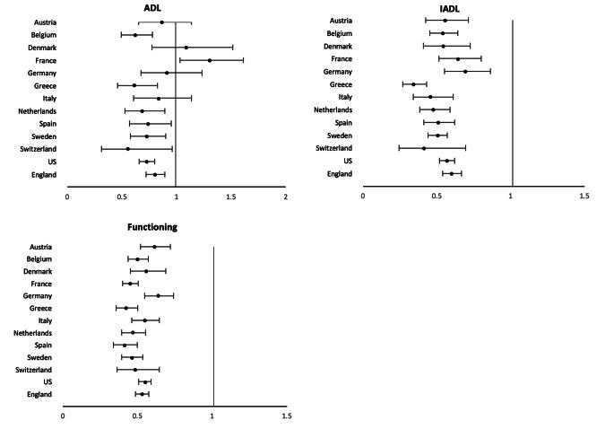
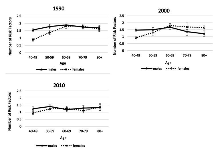
Males live shorter lives than women in all countries. The universality of shorter male life expectancy is a 21st Century phenomena. It occurs with the decline in infectious diseases and the rise in cardiovascular diseases accounting for mortality. Male/female differences in morbidity are not as succinctly characterized. Men have a higher prevalence of lethal diseases, which is linked to their lower life expectancy. Women have more non-lethal conditions such as depression and arthritis; which may also be linked in part to longer survival. Men have better physical functioning and less disability which is partly explained by gender differences in diseases and also by their greater strength, size, and stamina. Gender differences in risk factors for disease have changed over time with the prevalence and treatment of risk as well as differential behavior by gender. Examination of what are seen as basic molecular and cellular measures related to aging indicates men age faster than women; however, even these basic biological measures result from a combination of biology, behavior, and social factors.

摘要

在所有国家,男性的寿命都比女性短。男性预期寿命缩短的普遍性是 21 世纪的现象。这是随着传染病的减少和心血管疾病导致死亡率上升而发生的。发病率方面的男性/女性差异则不那么简洁明了。男性致命疾病的发病率更高,这与他们的预期寿命较短有关。女性则更多地患有非致命疾病,如抑郁症和关节炎;这也可能部分与更长的寿命有关。男性的身体功能更好,残疾程度更低,这部分可以通过疾病方面的性别差异以及他们更强的力量、体型和耐力来解释。随着疾病风险的流行和治疗以及性别差异的行为的变化,疾病风险因素的性别差异也随时间发生了变化。对与衰老相关的基本分子和细胞措施的研究表明,男性衰老得比女性快;然而,即使是这些基本的生物学指标也是生物学、行为和社会因素共同作用的结果。

https://cdn.ncbi.nlm.nih.gov/pmc/blobs/de21/9789019/b069f34bbb0b/11154_2022_9737_Fig1_HTML.jpg

文献检索

告别复杂PubMed语法,用中文像聊天一样搜索,搜遍4000万医学文献。AI智能推荐,让科研检索更轻松。

立即免费搜索

文件翻译

保留排版,准确专业,支持PDF/Word/PPT等文件格式,支持 12+语言互译。

免费翻译文档

深度研究

AI帮你快速写综述,25分钟生成高质量综述,智能提取关键信息,辅助科研写作。

立即免费体验