Suppr超能文献

严重急性呼吸综合征冠状病毒2型奥密克戎变种对治疗性单克隆抗体的敏感性:系统评价和荟萃分析。

Susceptibility of SARS-CoV-2 Omicron Variants to Therapeutic Monoclonal Antibodies: Systematic Review and Meta-analysis.

作者信息

Tao Kaiming, Tzou Philip L, Kosakovsky Pond Sergei L, Ioannidis John P A, Shafer Robert W

机构信息

Division of Infectious Diseases, Department of Medicine, Stanford University, Stanford, California, USA.

Institute for Genomics and Evolutionary Medicine, Temple University, Philadelphia, Pennsylvania, USA.

出版信息

Microbiol Spectr. 2022 Aug 31;10(4):e0092622. doi: 10.1128/spectrum.00926-22. Epub 2022 Jun 14.

Abstract

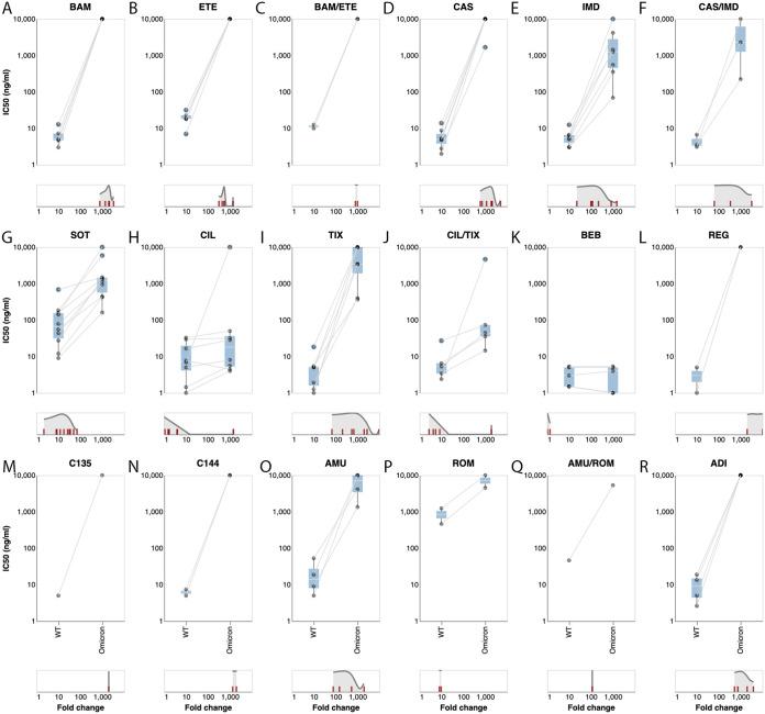
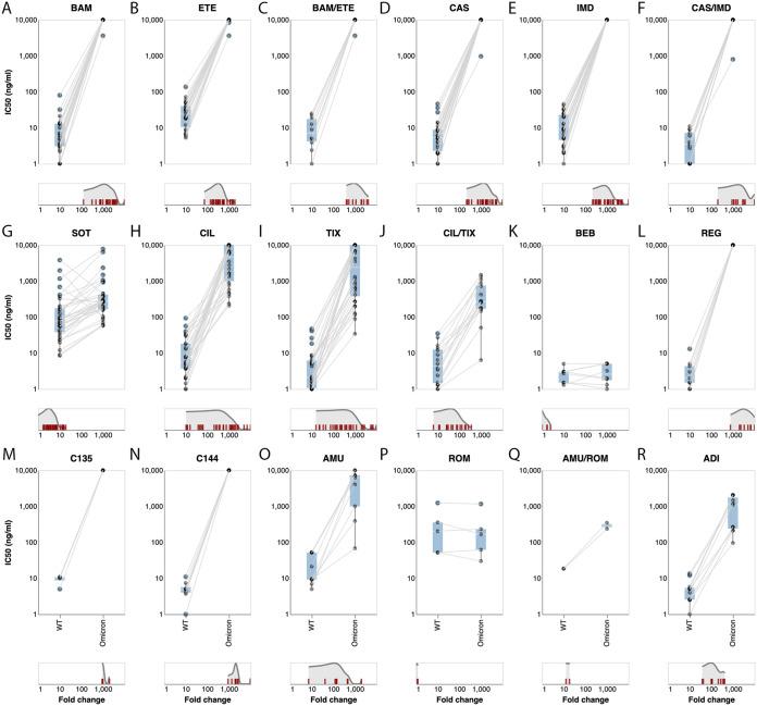
SARS-CoV-2 Omicron variants contain many mutations in its spike receptor-binding domain, the target of all authorized monoclonal antibodies (MAbs). Determining the extent to which Omicron variants reduced MAb susceptibility is critical to preventing and treating COVID-19. We systematically reviewed PubMed and three preprint servers, last updated 11 April 2022, for the activity of authorized MAbs against the Omicron variants. Fifty-one studies were eligible, including 50 containing Omicron BA.1 susceptibility data and 17 containing Omicron BA.2 susceptibility data. The first two authorized MAb combinations, bamlanivimab/etesevimab and casirivimab/imdevimab, were largely inactive against the Omicron BA.1 and BA.2 variants. In 34 studies, sotrovimab displayed a median 4.0-fold (interquartile range [IQR]: 2.6 to 6.9) reduction in activity against Omicron BA.1, and in 12 studies, it displayed a median 17-fold (IQR: 13 to 30) reduction in activity against Omicron BA.2. In 15 studies, the combination cilgavimab/tixagevimab displayed a median 86-fold (IQR: 27 to 151) reduction in activity against Omicron BA.1, and in six studies, it displayed a median 5.4-fold (IQR: 3.7 to 6.9) reduction in activity against Omicron BA.2. In eight studies against Omicron BA.1 and six studies against Omicron BA.2, bebtelovimab displayed no reduction in activity. Disparate results between assays were common. For authorized MAbs, 51/268 (19.0%) results for wild-type control variants and 78/348 (22.4%) results for Omicron BA.1 and BA.2 variants were more than 4-fold below or 4-fold above the median result for that MAb. Highly disparate results between published assays indicate a need for improved MAb susceptibility test standardization or interassay calibration. Monoclonal antibodies (MAbs) targeting the SARS-CoV-2 spike protein are among the most effective measures for preventing and treating COVID-19. However, SARS-CoV-2 Omicron variants contain many mutations in their spike receptor-binding domains, the target of all authorized MAbs. Therefore, determining the extent to which Omicron variants reduced MAb susceptibility is critical to preventing and treating COVID-19. We identified 51 studies that reported the susceptibility of the two main Omicron variants BA.1 and BA.2 to therapeutic MAbs in advanced clinical development, including eight authorized individual MAbs and three authorized MAb combinations. We estimated the degree to which different MAbs displayed reduced activity against Omicron variants. The marked loss of activity of many MAbs against Omicron variants underscores the importance of developing MAbs that target conserved regions of spike. Highly disparate results between assays indicate the need for improved MAb susceptibility test standardization.

摘要

严重急性呼吸综合征冠状病毒2(SARS-CoV-2)奥密克戎变种在其刺突受体结合域有许多突变,而刺突受体结合域是所有已获授权的单克隆抗体(MAb)的作用靶点。确定奥密克戎变种降低单克隆抗体敏感性的程度对于预防和治疗2019冠状病毒病(COVID-19)至关重要。我们系统检索了截至2022年4月11日更新的PubMed和三个预印本服务器,以获取已获授权的单克隆抗体针对奥密克戎变种的活性数据。51项研究符合条件,其中50项包含奥密克戎BA.1的敏感性数据,17项包含奥密克戎BA.2的敏感性数据。最初两个获授权的单克隆抗体组合,巴瑞替尼单抗/依替塞韦单抗和卡西瑞韦单抗/英德维单抗,对奥密克戎BA.1和BA.2变种基本无活性。在34项研究中,索托维单抗对奥密克戎BA.1的活性中位数降低了4.0倍(四分位间距[IQR]:2.6至6.9),在12项研究中,其对奥密克戎BA.2的活性中位数降低了17倍(IQR:13至30)。在15项研究中,西加韦单抗/替沙格韦单抗组合对奥密克戎BA.1的活性中位数降低了86倍(IQR:27至151),在6项研究中,其对奥密克戎BA.2的活性中位数降低了5.4倍(IQR:3.7至6.9)。在8项针对奥密克戎BA.1的研究和6项针对奥密克戎BA.2的研究中,贝博泰洛维单抗的活性未降低。不同检测方法之间结果差异很大很常见。对于已获授权的单克隆抗体,野生型对照变种的51/268(19.0%)结果以及奥密克戎BA.1和BA.2变种的78/348(22.4%)结果比该单克隆抗体的中位数结果低4倍以上或高4倍以上。已发表检测方法之间高度不同的结果表明需要改进单克隆抗体敏感性测试的标准化或检测方法间的校准。靶向SARS-CoV-2刺突蛋白的单克隆抗体是预防和治疗COVID-19最有效的措施之一。然而,SARS-CoV-2奥密克戎变种在其刺突受体结合域有许多突变,而刺突受体结合域是所有已获授权单克隆抗体的作用靶点。因此确定奥密克戎变种降低单克隆抗体敏感性的程度对于预防和治疗COVID-19至关重要。我们确定了51项报告奥密克戎两个主要变种BA.1和BA.2对处于临床开发后期的治疗性单克隆抗体敏感性的研究,包括8种已获授权的单克隆抗体和3种已获授权的单克隆抗体组合。我们估计了不同单克隆抗体对奥密克戎变种活性降低的程度。许多单克隆抗体对奥密克戎变种活性的显著丧失凸显了开发靶向刺突保守区域的单克隆抗体的重要性。检测方法之间高度不同的结果表明需要改进单克隆抗体敏感性测试的标准化。

https://cdn.ncbi.nlm.nih.gov/pmc/blobs/66d5/9430471/875481cce193/spectrum.00926-22-f001.jpg

文献检索

告别复杂PubMed语法,用中文像聊天一样搜索,搜遍4000万医学文献。AI智能推荐,让科研检索更轻松。

立即免费搜索

文件翻译

保留排版,准确专业,支持PDF/Word/PPT等文件格式,支持 12+语言互译。

免费翻译文档

深度研究

AI帮你快速写综述,25分钟生成高质量综述,智能提取关键信息,辅助科研写作。

立即免费体验