• 文献检索
  • 文档翻译
  • 深度研究
  • 学术资讯
  • Suppr Zotero 插件Zotero 插件
  • 邀请有礼
  • 套餐&价格
  • 历史记录
应用&插件
Suppr Zotero 插件Zotero 插件浏览器插件Mac 客户端Windows 客户端微信小程序
定价
高级版会员购买积分包购买API积分包
服务
文献检索文档翻译深度研究API 文档MCP 服务
关于我们
关于 Suppr公司介绍联系我们用户协议隐私条款
关注我们

Suppr 超能文献

核心技术专利:CN118964589B侵权必究
粤ICP备2023148730 号-1Suppr @ 2026

文献检索

告别复杂PubMed语法,用中文像聊天一样搜索,搜遍4000万医学文献。AI智能推荐,让科研检索更轻松。

立即免费搜索

文件翻译

保留排版,准确专业,支持PDF/Word/PPT等文件格式,支持 12+语言互译。

免费翻译文档

深度研究

AI帮你快速写综述,25分钟生成高质量综述,智能提取关键信息,辅助科研写作。

立即免费体验

利用基因分型法研究西班牙猪链球菌ST1亚种携带pXFAS_5235质粒菌株的发病率和分布情况。

Use of Gene to Type the Incidence and Distribution of pXFAS_5235 Plasmid-Bearing Strains of subsp. ST1 in Spain.

作者信息

Velasco-Amo María Pilar, Arias-Giraldo Luis F, Olivares-García Concepción, Denancé Nicolás, Jacques Marie-Agnès, Landa Blanca B

机构信息

Institute for Sustainable Agriculture (IAS), Spanish National Research Council (CSIC), 14004 Córdoba, Spain.

Groupe d'Étude et de controle des Variétes Et des Semences GEVES, CEDEX, F-49071 Beaucouzé, France.

出版信息

Plants (Basel). 2022 Jun 13;11(12):1562. doi: 10.3390/plants11121562.

DOI:10.3390/plants11121562
PMID:35736713
原文链接:https://pmc.ncbi.nlm.nih.gov/articles/PMC9228473/
Abstract

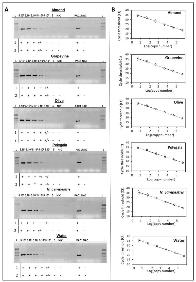
() is a phytopathogenic bacterium with a repertoire of self-replicating genetic elements, including plasmids, pathogenicity islands, and prophages. These elements provide potential avenues for horizontal gene transfer both within and between species and have the ability to confer new virulence traits, including the ability to colonize new host plants. However, they can also serve as a 'footprint' to type plasmid-bearing strains. Genome sequencing of several strains of subsp. sequence type (ST) 1 from Mallorca Island, Spain, revealed the presence of a 38 kb plasmid (pXFAS_5235). In this study, we developed a PCR-based typing approach using primers targeting the gene to determine the presence of pXFAS_5235 plasmid or other plasmids carrying this gene in a world-wide collection of 65 strains from different subspecies and STs or in 226 plant samples naturally infected by the bacterium obtained from the different outbreaks of in Spain. The gene was amplified only in the plant samples obtained from Mallorca Island infected by subsp. ST1 and from all Spanish strains belonging to this ST. Maximum-likelihood phylogenetic tree of C revealed a close relatedness among Spanish and Californian strains carrying similar plasmids. Our results confirm previous studies, which suggested that a single introduction event of subsp. ST1 occurred in the Balearic Islands. Further studies on the presence and role of plasmids in strains belonging to the same or different subspecies and STs can provide important information in studies of epidemiology, ecology, and evolution of this plant pathogen.

摘要

()是一种植物致病细菌,具有一系列自我复制的遗传元件,包括质粒、致病岛和原噬菌体。这些元件为物种内部和物种之间的水平基因转移提供了潜在途径,并具有赋予新毒力特性的能力,包括定殖新宿主植物的能力。然而,它们也可作为鉴定携带质粒菌株的“足迹”。对来自西班牙马略卡岛的几个序列型(ST)1亚种菌株进行全基因组测序,发现了一个38 kb的质粒(pXFAS_5235)。在本研究中,我们开发了一种基于PCR的分型方法,使用靶向该基因的引物,以确定在来自不同亚种和ST的65个菌株的全球收集物中,或在从西班牙不同疫情中获得的226个自然感染该细菌的植物样本中,是否存在pXFAS_5235质粒或携带该基因的其他质粒。该基因仅在来自马略卡岛感染亚种ST1的植物样本以及所有属于该ST的西班牙菌株中扩增。C的最大似然系统发育树显示,携带相似质粒的西班牙和加利福尼亚菌株之间存在密切相关性。我们的结果证实了先前的研究,即亚种ST1在巴利阿里群岛发生了单次引入事件。对属于相同或不同亚种和ST的菌株中质粒的存在和作用进行进一步研究,可以为这种植物病原体的流行病学、生态学和进化研究提供重要信息。

https://cdn.ncbi.nlm.nih.gov/pmc/blobs/0e4a/9228473/7ada9a7046a2/plants-11-01562-g002.jpg
https://cdn.ncbi.nlm.nih.gov/pmc/blobs/0e4a/9228473/6d522e914382/plants-11-01562-g001.jpg
https://cdn.ncbi.nlm.nih.gov/pmc/blobs/0e4a/9228473/7ada9a7046a2/plants-11-01562-g002.jpg
https://cdn.ncbi.nlm.nih.gov/pmc/blobs/0e4a/9228473/6d522e914382/plants-11-01562-g001.jpg
https://cdn.ncbi.nlm.nih.gov/pmc/blobs/0e4a/9228473/7ada9a7046a2/plants-11-01562-g002.jpg

相似文献

1
Use of Gene to Type the Incidence and Distribution of pXFAS_5235 Plasmid-Bearing Strains of subsp. ST1 in Spain.利用基因分型法研究西班牙猪链球菌ST1亚种携带pXFAS_5235质粒菌株的发病率和分布情况。
Plants (Basel). 2022 Jun 13;11(12):1562. doi: 10.3390/plants11121562.
2
Correction: Velasco-Amo et al. Use of Gene to Type the Incidence and Distribution of pXFAS_5235 Plasmid-Bearing Strains of subsp. ST1 in Spain. 2022, , 1562.更正:贝拉斯科-阿莫等人。利用基因分型法研究西班牙亚种ST1中携带pXFAS_5235质粒菌株的发病率和分布。2022年,,1562。 (注:原文中“2022,,”表述似乎有误,不太明确准确信息)
Plants (Basel). 2024 Jan 11;13(2):200. doi: 10.3390/plants13020200.
3
Complete Circularized Genome Resources of Seven Strains of subsp. Using Hybrid Assembly Reveals Unknown Plasmids.利用混合组装方法获得 7 株 亚种的完整环状基因组资源,揭示了未知的质粒。
Phytopathology. 2023 Jun;113(6):1128-1132. doi: 10.1094/PHYTO-10-22-0396-A. Epub 2023 Aug 1.
4
Development of a CAPS Marker and a LAMP Assay for Rapid Detection of Subsp. and Differentiation from Subsp. on Blueberry.开发 CAPS 标记和 LAMP 检测试剂盒,用于快速检测蓝莓上的 和 亚种,并将其与 亚种区分开来。
Int J Mol Sci. 2022 Feb 9;23(4):1937. doi: 10.3390/ijms23041937.
5
Complete Circularized Genome Data of Two Spanish strains of (IVIA5235 and IVIA5901) Using Hybrid Assembly Approaches.利用混合组装方法获得两株西班牙(IVIA5235 和 IVIA5901)的完整环状基因组序列数据。
Phytopathology. 2020 May;110(5):969-972. doi: 10.1094/PHYTO-01-20-0012-A. Epub 2020 Apr 6.
6
Two subsp. Strains Isolated from Almond in Spain Differ in Plasmid Content and Virulence Traits.从西班牙杏仁中分离到的两个亚种菌株在质粒含量和毒力特性上存在差异。
Phytopathology. 2023 Jun;113(6):960-974. doi: 10.1094/PHYTO-06-22-0234-R. Epub 2023 Aug 8.
7
Conjugative Plasmid Transfer in Xylella fastidiosa Is Dependent on and Operon Functions.桑氏假单胞菌中的接合质粒转移依赖于和操纵子功能。 (注:原文中“and”前缺少具体内容,翻译可能不太准确,建议补充完整后再翻译)
J Bacteriol. 2017 Oct 3;199(21). doi: 10.1128/JB.00388-17. Print 2017 Nov 1.
8
Natural Infection of Southern Highbush Blueberry ( Interspecific Hybrids) by subsp. .南方高丛蓝莓(种间杂种)被 亚种侵染的自然感染。
Plant Dis. 2020 Oct;104(10):2598-2605. doi: 10.1094/PDIS-11-19-2477-RE. Epub 2020 Aug 14.
9
Emergence of a Plant Pathogen in Europe Associated with Multiple Intercontinental Introductions.欧洲一种植物病原菌的出现与多次洲际传入有关。
Appl Environ Microbiol. 2020 Jan 21;86(3). doi: 10.1128/AEM.01521-19.
10
A conjugative 38 kB plasmid is present in multiple subspecies of Xylella fastidiosa.在多个木聚糖分解纤维单胞菌亚种中存在一个可共轭的 38 kB 质粒。
PLoS One. 2012;7(12):e52131. doi: 10.1371/journal.pone.0052131. Epub 2012 Dec 14.

引用本文的文献

1
Update of the spp. host plant database - Systematic literature search up to 30 June 2024.spp.寄主植物数据库更新 - 截至2024年6月30日的系统文献检索
EFSA J. 2025 Feb 25;23(2):e9241. doi: 10.2903/j.efsa.2025.9241. eCollection 2025 Feb.
2
Correction: Velasco-Amo et al. Use of Gene to Type the Incidence and Distribution of pXFAS_5235 Plasmid-Bearing Strains of subsp. ST1 in Spain. 2022, , 1562.更正:贝拉斯科-阿莫等人。利用基因分型法研究西班牙亚种ST1中携带pXFAS_5235质粒菌株的发病率和分布。2022年,,1562。 (注:原文中“2022,,”表述似乎有误,不太明确准确信息)
Plants (Basel). 2024 Jan 11;13(2):200. doi: 10.3390/plants13020200.

本文引用的文献

1
Phylogenetics of Historical Host Switches in a Bacterial Plant Pathogen.历史上细菌植物病原体宿主转换的系统发育分析。
Appl Environ Microbiol. 2022 Apr 12;88(7):e0235621. doi: 10.1128/aem.02356-21. Epub 2022 Mar 21.
2
Update of the spp. host plant database - systematic literature search up to 30 June 2021.spp.寄主植物数据库更新——截至2021年6月30日的系统文献检索
EFSA J. 2022 Jan 12;20(1):e07039. doi: 10.2903/j.efsa.2022.7039. eCollection 2022 Jan.
3
Orthology-Based Estimate of the Contribution of Horizontal Gene Transfer from Distantly Related Bacteria to the Intraspecific Diversity and Differentiation of .
基于直系同源性对远缘细菌水平基因转移对……种内多样性和分化贡献的估计
Pathogens. 2021 Jan 7;10(1):46. doi: 10.3390/pathogens10010046.
4
Phylogenetic inference enables reconstruction of a long-overlooked outbreak of almond leaf scorch disease (Xylella fastidiosa) in Europe.系统发育推断可重建在欧洲被忽视已久的李属叶枯病(韧皮部杆菌)的爆发。
Commun Biol. 2020 Oct 9;3(1):560. doi: 10.1038/s42003-020-01284-7.
5
Using ggtree to Visualize Data on Tree-Like Structures.使用 ggtree 可视化树状结构数据。
Curr Protoc Bioinformatics. 2020 Mar;69(1):e96. doi: 10.1002/cpbi.96.
6
Complete Circularized Genome Data of Two Spanish strains of (IVIA5235 and IVIA5901) Using Hybrid Assembly Approaches.利用混合组装方法获得两株西班牙(IVIA5235 和 IVIA5901)的完整环状基因组序列数据。
Phytopathology. 2020 May;110(5):969-972. doi: 10.1094/PHYTO-01-20-0012-A. Epub 2020 Apr 6.
7
Emergence of a Plant Pathogen in Europe Associated with Multiple Intercontinental Introductions.欧洲一种植物病原菌的出现与多次洲际传入有关。
Appl Environ Microbiol. 2020 Jan 21;86(3). doi: 10.1128/AEM.01521-19.
8
ModelTest-NG: A New and Scalable Tool for the Selection of DNA and Protein Evolutionary Models.ModelTest-NG:一种用于选择 DNA 和蛋白质进化模型的新型可扩展工具。
Mol Biol Evol. 2020 Jan 1;37(1):291-294. doi: 10.1093/molbev/msz189.
9
Identification of genetic relationships and subspecies signatures in Xylella fastidiosa.鉴定韧皮部坏死病菌属(Xylella fastidiosa)的遗传关系和亚种特征。
BMC Genomics. 2019 Mar 25;20(1):239. doi: 10.1186/s12864-019-5565-9.
10
Draft Genome Resources of Two Strains ("ESVL" and "IVIA5901") of Xylella fastidiosa Associated with Almond Leaf Scorch Disease in Alicante, Spain.西班牙阿利坎特与杏仁叶枯病相关的两种韧皮部坏死病原菌("ESVL" 和 "IVIA5901")的基因组草案资源。
Phytopathology. 2019 Feb;109(2):219-221. doi: 10.1094/PHYTO-09-18-0328-A. Epub 2018 Dec 28.