• 文献检索
  • 文档翻译
  • 深度研究
  • 学术资讯
  • Suppr Zotero 插件Zotero 插件
  • 邀请有礼
  • 套餐&价格
  • 历史记录
应用&插件
Suppr Zotero 插件Zotero 插件浏览器插件Mac 客户端Windows 客户端微信小程序
定价
高级版会员购买积分包购买API积分包
服务
文献检索文档翻译深度研究API 文档MCP 服务
关于我们
关于 Suppr公司介绍联系我们用户协议隐私条款
关注我们

Suppr 超能文献

核心技术专利:CN118964589B侵权必究
粤ICP备2023148730 号-1Suppr @ 2026

文献检索

告别复杂PubMed语法,用中文像聊天一样搜索,搜遍4000万医学文献。AI智能推荐,让科研检索更轻松。

立即免费搜索

文件翻译

保留排版,准确专业,支持PDF/Word/PPT等文件格式,支持 12+语言互译。

免费翻译文档

深度研究

AI帮你快速写综述,25分钟生成高质量综述,智能提取关键信息,辅助科研写作。

立即免费体验

先前的物候事件而非气候驱动沙漠灌木结果物候的变化。

Preceding Phenological Events Rather than Climate Drive the Variations in Fruiting Phenology in the Desert Shrub .

作者信息

Bao Fang, Xin Zhiming, Liu Minghu, Li Jiazhu, Gao Ying, Lu Qi, Wu Bo

机构信息

Institute of Desertification Studies, Chinese Academy of Forestry, Beijing 100091, China.

Institute of Ecological Conservation and Restoration, Chinese Academy of Forestry, Beijing 100091, China.

出版信息

Plants (Basel). 2022 Jun 15;11(12):1578. doi: 10.3390/plants11121578.

DOI:10.3390/plants11121578
PMID:35736729
原文链接:https://pmc.ncbi.nlm.nih.gov/articles/PMC9227467/
Abstract

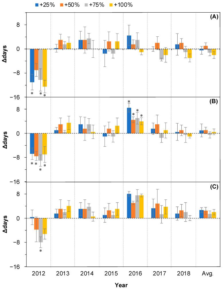
Fruit setting and ripening are crucial in the reproductive cycle of many desert plant species, but their response to precipitation changes is still unclear. To clarify the response patterns, a long-term in situ water addition experiment with five treatments, namely natural precipitation (control) plus an extra 25%, 50%, 75%, and 100% of the local mean annual precipitation (145 mm), was conducted in a temperate desert in northwestern China. A whole series of fruiting events including the onset, peak, and end of fruit setting and the onset, peak, and end of fruit ripening of a locally dominant shrub, , were observed from 2012 to 2018. The results show that (1) water addition treatments had no significant effects on all six fruiting events in almost all years, and the occurrence time of almost all fruiting events remained relatively stable compared with leaf phenology and flowering phenology after the water addition treatments; (2) the occurrence times of all fruiting events were not correlated to the amounts of water added in the treatments; (3) there are significant inter-annual variations in each fruiting event. However, neither temperature nor precipitation play key roles, but the preceding flowering events drive their inter-annual variation.

摘要

坐果和果实成熟在许多沙漠植物物种的生殖周期中至关重要,但它们对降水变化的响应仍不清楚。为了阐明响应模式,在中国西北的一个温带沙漠中进行了一项长期原位增水实验,该实验有五个处理,即自然降水(对照)加上当地年平均降水量(145毫米)的额外25%、50%、75%和100%。从2012年到2018年,观察了一系列结果事件,包括当地一种优势灌木的坐果开始、高峰期和结束以及果实成熟的开始、高峰期和结束。结果表明:(1)增水处理在几乎所有年份对所有六个结果事件均无显著影响,并且在增水处理后,几乎所有结果事件的发生时间与叶物候和开花物候相比保持相对稳定;(2)所有结果事件的发生时间与处理中添加的水量无关;(3)每个结果事件都存在显著的年际变化。然而,温度和降水都不起关键作用,而是先前的开花事件驱动了它们的年际变化。

https://cdn.ncbi.nlm.nih.gov/pmc/blobs/eb00/9227467/9869359b70c6/plants-11-01578-g008.jpg
https://cdn.ncbi.nlm.nih.gov/pmc/blobs/eb00/9227467/0e8f4b49f41a/plants-11-01578-g001.jpg
https://cdn.ncbi.nlm.nih.gov/pmc/blobs/eb00/9227467/2821f9a1ea03/plants-11-01578-g002.jpg
https://cdn.ncbi.nlm.nih.gov/pmc/blobs/eb00/9227467/e7112210e6dd/plants-11-01578-g003.jpg
https://cdn.ncbi.nlm.nih.gov/pmc/blobs/eb00/9227467/dc536cd92966/plants-11-01578-g004.jpg
https://cdn.ncbi.nlm.nih.gov/pmc/blobs/eb00/9227467/c0bdc22c1be2/plants-11-01578-g005.jpg
https://cdn.ncbi.nlm.nih.gov/pmc/blobs/eb00/9227467/bbc25f5e7780/plants-11-01578-g006.jpg
https://cdn.ncbi.nlm.nih.gov/pmc/blobs/eb00/9227467/5118dacc31f4/plants-11-01578-g007.jpg
https://cdn.ncbi.nlm.nih.gov/pmc/blobs/eb00/9227467/9869359b70c6/plants-11-01578-g008.jpg
https://cdn.ncbi.nlm.nih.gov/pmc/blobs/eb00/9227467/0e8f4b49f41a/plants-11-01578-g001.jpg
https://cdn.ncbi.nlm.nih.gov/pmc/blobs/eb00/9227467/2821f9a1ea03/plants-11-01578-g002.jpg
https://cdn.ncbi.nlm.nih.gov/pmc/blobs/eb00/9227467/e7112210e6dd/plants-11-01578-g003.jpg
https://cdn.ncbi.nlm.nih.gov/pmc/blobs/eb00/9227467/dc536cd92966/plants-11-01578-g004.jpg
https://cdn.ncbi.nlm.nih.gov/pmc/blobs/eb00/9227467/c0bdc22c1be2/plants-11-01578-g005.jpg
https://cdn.ncbi.nlm.nih.gov/pmc/blobs/eb00/9227467/bbc25f5e7780/plants-11-01578-g006.jpg
https://cdn.ncbi.nlm.nih.gov/pmc/blobs/eb00/9227467/5118dacc31f4/plants-11-01578-g007.jpg
https://cdn.ncbi.nlm.nih.gov/pmc/blobs/eb00/9227467/9869359b70c6/plants-11-01578-g008.jpg

相似文献

1
Preceding Phenological Events Rather than Climate Drive the Variations in Fruiting Phenology in the Desert Shrub .先前的物候事件而非气候驱动沙漠灌木结果物候的变化。
Plants (Basel). 2022 Jun 15;11(12):1578. doi: 10.3390/plants11121578.
2
Contrasting Regulators of the Onset and End of the Seed Release Phenology of a Temperate Desert Shrub .温带荒漠灌木种子释放物候开始和结束的对比调节因子
Plants (Basel). 2022 Dec 23;12(1):88. doi: 10.3390/plants12010088.
3
Water Addition Prolonged the Length of the Growing Season of the Desert Shrub in a Temperate Desert.添加水分延长了温带沙漠中沙漠灌木的生长季节长度。
Front Plant Sci. 2020 Jul 21;11:1099. doi: 10.3389/fpls.2020.01099. eCollection 2020.
4
Effects of the Simulated Enhancement of Precipitation on the Phenology of under Extremely Dry and Wet Years.极端干湿年份下模拟降水增强对物候的影响。 (你提供的原文“under Extremely Dry and Wet Years”前少了关键信息如某种植物等,我按完整理解翻译了,如果有遗漏请补充完整后再让我翻译)
Plants (Basel). 2021 Jul 19;10(7):1474. doi: 10.3390/plants10071474.
5
Phenological responses to nitrogen and water addition are linked to plant growth patterns in a desert herbaceous community.对氮添加和水分添加的物候响应与沙漠草本群落中的植物生长模式相关。
Ecol Evol. 2018 Apr 25;8(10):5139-5152. doi: 10.1002/ece3.4001. eCollection 2018 May.
6
Reproductive phenology of 233 species from four herbaceous-shrubby communities in the Gran Sabana Plateau of Venezuela.委内瑞拉大萨巴纳高原四个草本-灌丛群落 233 种植物的繁殖物候。
AoB Plants. 2011;2011:plr014. doi: 10.1093/aobpla/plr014. Epub 2011 May 25.
7
Phenological variation in fruit characteristics in vertebrate-dispersed plants.脊椎动物传播植物果实特征的物候变化。
Oecologia. 1991 May;86(4):463-470. doi: 10.1007/BF00318311.
8
Patterns and predictors of fleshy fruit phenology at five international botanical gardens.五个国际植物园肉质果实物候的模式和预测因子。
Am J Bot. 2018 Nov;105(11):1824-1834. doi: 10.1002/ajb2.1189. Epub 2018 Nov 12.
9
[Reproductive phenology of three vegetation types from a coastal plain of Paraguana Penninsula, Venezuela].[委内瑞拉帕拉瓜纳半岛沿海平原三种植被类型的繁殖物候学]
Acta Cient Venez. 2002;53(4):266-78.
10
Gene transcript profiles in the desert plant Nitraria tangutorum during fruit development and ripening.沙漠植物唐古特白刺果实发育和成熟过程中的基因转录谱
Mol Genet Genomics. 2016 Feb;291(1):383-98. doi: 10.1007/s00438-015-1116-5. Epub 2015 Sep 20.

引用本文的文献

1
The influence of precipitation timing and amount on soil microbial community in a temperate desert ecosystem.降水时间和降水量对温带沙漠生态系统土壤微生物群落的影响。
Front Microbiol. 2023 Sep 7;14:1249036. doi: 10.3389/fmicb.2023.1249036. eCollection 2023.
2
Transcriptome Profiling and Chlorophyll Metabolic Pathway Analysis Reveal the Response of to Increased Nitrogen.转录组分析与叶绿素代谢途径分析揭示了[具体对象]对氮素增加的响应。 (原句中“the Response of to”中间缺少具体内容)
Plants (Basel). 2023 Feb 16;12(4):895. doi: 10.3390/plants12040895.
3
Contrasting Regulators of the Onset and End of the Seed Release Phenology of a Temperate Desert Shrub .

本文引用的文献

1
Effects of the Simulated Enhancement of Precipitation on the Phenology of under Extremely Dry and Wet Years.极端干湿年份下模拟降水增强对物候的影响。 (你提供的原文“under Extremely Dry and Wet Years”前少了关键信息如某种植物等,我按完整理解翻译了,如果有遗漏请补充完整后再让我翻译)
Plants (Basel). 2021 Jul 19;10(7):1474. doi: 10.3390/plants10071474.
2
Experimental warming differentially affects vegetative and reproductive phenology of tundra plants.实验加热对苔原植物的营养和生殖物候产生不同影响。
Nat Commun. 2021 Jun 11;12(1):3442. doi: 10.1038/s41467-021-23841-2.
3
Effects of ambient climate and three warming treatments on fruit production in an alpine, subarctic meadow community.
温带荒漠灌木种子释放物候开始和结束的对比调节因子
Plants (Basel). 2022 Dec 23;12(1):88. doi: 10.3390/plants12010088.
环境气候和三种增温处理对高山亚北极草地群落果实产量的影响。
Am J Bot. 2021 Mar;108(3):411-422. doi: 10.1002/ajb2.1631.
4
Egg-Surface Bacteria Are Indirectly Associated with Oviposition Aversion in Bactrocera dorsalis.卵面细菌与桔小实蝇对产卵的厌恶间接相关。
Curr Biol. 2020 Nov 16;30(22):4432-4440.e4. doi: 10.1016/j.cub.2020.08.080. Epub 2020 Sep 17.
5
Water Addition Prolonged the Length of the Growing Season of the Desert Shrub in a Temperate Desert.添加水分延长了温带沙漠中沙漠灌木的生长季节长度。
Front Plant Sci. 2020 Jul 21;11:1099. doi: 10.3389/fpls.2020.01099. eCollection 2020.
6
Fruiting phenology and nutrient content variation among sympatric figs and the ecological correlates.同域分布的无花果之间的结果物候和营养成分变化及其生态关联
Bot Stud. 2019 Nov 14;60(1):27. doi: 10.1186/s40529-019-0275-9.
7
Temperate deciduous shrub phenology: the overlooked forest layer.温带落叶灌丛物候:被忽视的森林层次。
Int J Biometeorol. 2021 Mar;65(3):343-355. doi: 10.1007/s00484-019-01743-9. Epub 2019 Jun 17.
8
Patterns and predictors of fleshy fruit phenology at five international botanical gardens.五个国际植物园肉质果实物候的模式和预测因子。
Am J Bot. 2018 Nov;105(11):1824-1834. doi: 10.1002/ajb2.1189. Epub 2018 Nov 12.
9
Phylogeny, fruit traits, and ecological correlates of fruiting phenology in a Neotropical dry forest.新热带干旱森林中结果物候的系统发育、果实特征及生态关联
Oecologia. 2019 Jan;189(1):159-169. doi: 10.1007/s00442-018-4295-z. Epub 2018 Nov 9.
10
A linkage between flowering phenology and fruit-set success of alpine plant communities with reference to the seasonality and pollination effectiveness of bees and flies.参考蜜蜂和苍蝇的季节性及授粉有效性,探讨高山植物群落开花物候与坐果成功率之间的联系。
Oecologia. 2017 Nov;185(3):453-464. doi: 10.1007/s00442-017-3946-9. Epub 2017 Sep 9.