• 文献检索
  • 文档翻译
  • 深度研究
  • 学术资讯
  • Suppr Zotero 插件Zotero 插件
  • 邀请有礼
  • 套餐&价格
  • 历史记录
应用&插件
Suppr Zotero 插件Zotero 插件浏览器插件Mac 客户端Windows 客户端微信小程序
定价
高级版会员购买积分包购买API积分包
服务
文献检索文档翻译深度研究API 文档MCP 服务
关于我们
关于 Suppr公司介绍联系我们用户协议隐私条款
关注我们

Suppr 超能文献

核心技术专利:CN118964589B侵权必究
粤ICP备2023148730 号-1Suppr @ 2026

文献检索

告别复杂PubMed语法,用中文像聊天一样搜索,搜遍4000万医学文献。AI智能推荐,让科研检索更轻松。

立即免费搜索

文件翻译

保留排版,准确专业,支持PDF/Word/PPT等文件格式,支持 12+语言互译。

免费翻译文档

深度研究

AI帮你快速写综述,25分钟生成高质量综述,智能提取关键信息,辅助科研写作。

立即免费体验

采用冰冻象鼻技术行全主动脉弓置换术的急性A型主动脉夹层患者术后30天死亡率的预测列线图

Prediction Nomogram for Postoperative 30-Day Mortality in Acute Type A Aortic Dissection Patients Receiving Total Aortic Arch Replacement With Frozen Elephant Trunk Technique.

作者信息

Lin Hongyuan, Chang Yi, Guo Hongwei, Qian Xiangyang, Sun Xiaogang, Yu Cuntao

机构信息

Cardiac Surgery Centre, Fuwai Hospital, Chinese Academy of Medical Sciences and Peking Union Medical College, Beijing, China.

出版信息

Front Cardiovasc Med. 2022 Jun 10;9:905908. doi: 10.3389/fcvm.2022.905908. eCollection 2022.

DOI:10.3389/fcvm.2022.905908
PMID:35757328
原文链接:https://pmc.ncbi.nlm.nih.gov/articles/PMC9226415/
Abstract

OBJECTIVE

To develop and validate a nomogram model to predict postoperative 30-day mortality in acute type A aortic dissection patients receiving total aortic arch replacement with frozen elephant trunk technique.

METHOD

Clinical data on 1,156 consecutive acute type A aortic dissection patients who got total aortic arch replacement using the frozen elephant trunk technique was collected from January 2010 to December 2020. These patients were divided into training and testing cohorts at random with a ratio of 7:3. To predict postoperative 30-day mortality, a nomogram was established in the training set using the logistic regression model. The novel nomogram was then validated in the testing set. The nomogram's calibration and discrimination were evaluated. In addition, we created four machine learning prediction models in the training set. In terms of calibration and discrimination, the nomogram was compared to these machine learning models in testing set.

RESULTS

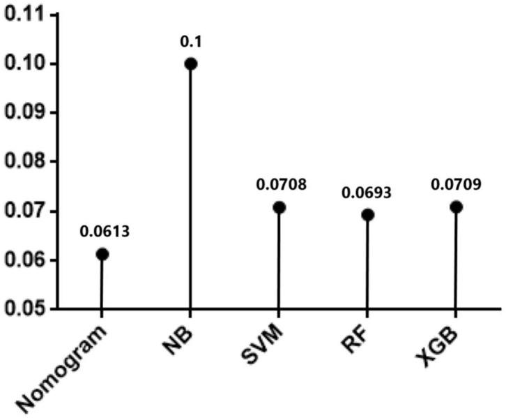
Left ventricular end-diastolic diameter <45 mm, estimated glomerular filtration rate <50 ml/min/1.73 m, persistent abdominal pain, radiological celiac trunk malperfusion, concomitant coronary artery bypass grafting and cardiopulmonary bypass time >4 h were independent predictors of the 30-day mortality. The nomogram based on these 6 predictors manifested satisfying calibration and discrimination. In testing set, the nomogram outperformed the other 4 machine learning models.

CONCLUSION

The novel nomogram is a simple and effective tool to predict 30-day mortality rate for acute type A aortic dissection patients undergoing total aortic arch replacement with frozen elephant trunk technique.

摘要

目的

开发并验证一种列线图模型,以预测接受全主动脉弓置换联合象鼻支架植入术的急性A型主动脉夹层患者术后30天死亡率。

方法

收集2010年1月至2020年12月期间1156例连续接受全主动脉弓置换联合象鼻支架植入术的急性A型主动脉夹层患者的临床资料。这些患者被随机分为训练组和测试组,比例为7:3。为预测术后30天死亡率,在训练集中使用逻辑回归模型建立列线图。然后在测试集中对新的列线图进行验证。评估列线图的校准和区分度。此外,我们在训练集中创建了四个机器学习预测模型。在校准和区分度方面,将列线图与测试集中的这些机器学习模型进行比较。

结果

左心室舒张末期内径<45mm、估计肾小球滤过率<50ml/min/1.73m²、持续性腹痛、放射学检查显示腹腔干灌注不良、同期冠状动脉搭桥术以及体外循环时间>4小时是30天死亡率的独立预测因素。基于这6个预测因素的列线图表现出令人满意的校准和区分度。在测试集中,列线图的表现优于其他4个机器学习模型。

结论

新的列线图是一种简单有效的工具,可用于预测接受全主动脉弓置换联合象鼻支架植入术的急性A型主动脉夹层患者的30天死亡率。

https://cdn.ncbi.nlm.nih.gov/pmc/blobs/3c8a/9226415/c2f8787529b6/fcvm-09-905908-g0006.jpg
https://cdn.ncbi.nlm.nih.gov/pmc/blobs/3c8a/9226415/e72e78a81d75/fcvm-09-905908-g0001.jpg
https://cdn.ncbi.nlm.nih.gov/pmc/blobs/3c8a/9226415/f91174a362fa/fcvm-09-905908-g0002.jpg
https://cdn.ncbi.nlm.nih.gov/pmc/blobs/3c8a/9226415/bd4abd8f8423/fcvm-09-905908-g0003.jpg
https://cdn.ncbi.nlm.nih.gov/pmc/blobs/3c8a/9226415/6266800850b2/fcvm-09-905908-g0004.jpg
https://cdn.ncbi.nlm.nih.gov/pmc/blobs/3c8a/9226415/a2f92ae290bb/fcvm-09-905908-g0005.jpg
https://cdn.ncbi.nlm.nih.gov/pmc/blobs/3c8a/9226415/c2f8787529b6/fcvm-09-905908-g0006.jpg
https://cdn.ncbi.nlm.nih.gov/pmc/blobs/3c8a/9226415/e72e78a81d75/fcvm-09-905908-g0001.jpg
https://cdn.ncbi.nlm.nih.gov/pmc/blobs/3c8a/9226415/f91174a362fa/fcvm-09-905908-g0002.jpg
https://cdn.ncbi.nlm.nih.gov/pmc/blobs/3c8a/9226415/bd4abd8f8423/fcvm-09-905908-g0003.jpg
https://cdn.ncbi.nlm.nih.gov/pmc/blobs/3c8a/9226415/6266800850b2/fcvm-09-905908-g0004.jpg
https://cdn.ncbi.nlm.nih.gov/pmc/blobs/3c8a/9226415/a2f92ae290bb/fcvm-09-905908-g0005.jpg
https://cdn.ncbi.nlm.nih.gov/pmc/blobs/3c8a/9226415/c2f8787529b6/fcvm-09-905908-g0006.jpg

相似文献

1
Prediction Nomogram for Postoperative 30-Day Mortality in Acute Type A Aortic Dissection Patients Receiving Total Aortic Arch Replacement With Frozen Elephant Trunk Technique.采用冰冻象鼻技术行全主动脉弓置换术的急性A型主动脉夹层患者术后30天死亡率的预测列线图
Front Cardiovasc Med. 2022 Jun 10;9:905908. doi: 10.3389/fcvm.2022.905908. eCollection 2022.
2
Association Between D-dimer and Early Adverse Events in Patients With Acute Type A Aortic Dissection Undergoing Arch Replacement and the Frozen Elephant Trunk Implantation: A Retrospective Cohort Study.急性A型主动脉夹层患者行主动脉弓置换及象鼻支架植入术中D-二聚体与早期不良事件的相关性:一项回顾性队列研究
Front Physiol. 2020 Jan 21;10:1627. doi: 10.3389/fphys.2019.01627. eCollection 2019.
3
Experience with the conventional and frozen elephant trunk techniques: a single-centre study.传统与冷冻象鼻技术的经验:单中心研究。
Eur J Cardiothorac Surg. 2013 Dec;44(6):1076-82; discussion 1083. doi: 10.1093/ejcts/ezt252. Epub 2013 May 15.
4
Systematic total arch replacement with thoraflex hybrid graft in acute type A aortic dissection: A single centre experience.采用Thoraflex混合移植物进行系统性全弓置换治疗急性A型主动脉夹层:单中心经验
Front Cardiovasc Med. 2022 Oct 14;9:997961. doi: 10.3389/fcvm.2022.997961. eCollection 2022.
5
Fate of distal aorta after frozen elephant trunk and total arch replacement for type A aortic dissection in Marfan syndrome.马凡综合征A型主动脉夹层患者行冰冻象鼻术及全弓置换术后远端主动脉的转归
J Thorac Cardiovasc Surg. 2019 Mar;157(3):835-849. doi: 10.1016/j.jtcvs.2018.07.096. Epub 2018 Aug 24.
6
FL% is associated with the severity of acute DeBakey type I aortic dissection in patients undergoing frozen elephant trunk and total arch replacement.在接受象鼻支架植入及全主动脉弓置换术的患者中,纤维蛋白原水平(FL%)与急性DeBakey I型主动脉夹层的严重程度相关。
Front Surg. 2024 Apr 9;11:1329771. doi: 10.3389/fsurg.2024.1329771. eCollection 2024.
7
Total aortic arch replacement using elephant trunk or frozen elephant trunk technique: a case-control matching study.使用象鼻或冰冻象鼻技术进行全主动脉弓置换术:一项病例对照匹配研究。
J Thorac Dis. 2018 Nov;10(11):6192-6200. doi: 10.21037/jtd.2018.10.42.
8
Risk factors for severe acute kidney injury post complication after total arch replacement combined with frozen elephant trunk, in acute type A aortic dissection.急性A型主动脉夹层全弓置换联合象鼻支架植入术后严重急性肾损伤并发症的危险因素
Cardiovasc Diagn Ther. 2022 Dec;12(6):880-891. doi: 10.21037/cdt-22-313.
9
One-stage hybrid aortic repair using the frozen elephant trunk in acute DeBakey type I aortic dissection.在急性DeBakey I型主动脉夹层中使用冷冻象鼻技术进行一期杂交主动脉修复术。
J Thorac Dis. 2018 Jul;10(7):4195-4203. doi: 10.21037/jtd.2018.06.148.
10
"Branch-First total arch replacement": a valuable alternative to frozen elephant trunk in acute type A aortic dissection?“分支优先全弓置换术”:在急性A型主动脉夹层中,它是“象鼻支架植入术”的一种有价值的替代方案吗?
Indian J Thorac Cardiovasc Surg. 2022 Apr;38(Suppl 1):58-63. doi: 10.1007/s12055-021-01279-x. Epub 2021 Nov 25.

引用本文的文献

1
An AI-driven machine learning approach identifies risk factors associated with 30-day mortality following total aortic arch replacement combined with stent elephant implantation.一种由人工智能驱动的机器学习方法可识别与全主动脉弓置换联合支架象鼻植入术后30天死亡率相关的风险因素。
Ann Med. 2025 Dec;57(1):2540018. doi: 10.1080/07853890.2025.2540018. Epub 2025 Jul 31.
2
Prognostic Significance of Preoperative Neutrophil-to-lymphocyte Ratio and Platelet-to-lymphocyte Ratio in Patients with Ruptured Abdominal Aortic Aneurysm Undergoing Endovascular Aneurysm Repair.术前中性粒细胞与淋巴细胞比值及血小板与淋巴细胞比值对接受血管腔内动脉瘤修复术的破裂腹主动脉瘤患者的预后意义
J Cardiothorac Surg. 2024 Dec 19;19(1):650. doi: 10.1186/s13019-024-03165-0.
3

本文引用的文献

1
On-line risk prediction models for acute type A aortic dissection surgery: validation of the German Registry of Acute Aortic Dissection Type A score and the European System for Cardiac Operative Risk Evaluation II.在线预测急性 A 型主动脉夹层手术风险的模型:德国急性 A 型主动脉夹层登记评分和欧洲心脏手术风险评估系统 II 的验证。
Eur J Cardiothorac Surg. 2022 May 2;61(5):1068-1075. doi: 10.1093/ejcts/ezab517.
2
Downstream thoracic endovascular aortic repair following zone 2, 100-mm stent graft frozen elephant trunk implantation.胸主动脉腔内修复术后第二区 100mm 支架型人工血管冷冻象鼻植入。
Interact Cardiovasc Thorac Surg. 2022 Jun 1;34(6):1141-1146. doi: 10.1093/icvts/ivab338.
3
Hybrid Treatment of Complex Diseases of the Aortic Arch and Descending Thoracic Aorta by Frozen Elephant Trunk Technique.应用冰冻象鼻技术杂交治疗主动脉弓及胸降主动脉复杂疾病
J Clin Med. 2023 Sep 1;12(17):5693. doi: 10.3390/jcm12175693.
A New Aortic Arch Dissection Classification: The Fuwai Classification.
一种新的主动脉弓夹层分类:阜外分类。
Front Cardiovasc Med. 2021 Sep 14;8:710281. doi: 10.3389/fcvm.2021.710281. eCollection 2021.
4
Type II hybrid arch repair versus total arch replacement with frozen elephant trunk: a propensity score-matched analysis.二型杂交弓部修复术与全弓置换术加冷冻象鼻技术:倾向评分匹配分析。
Eur J Cardiothorac Surg. 2021 Jul 30;60(2):297-304. doi: 10.1093/ejcts/ezab047.
5
The 3-step approach for the treatment of multisegmental thoraco-abdominal aortic pathologies.治疗多节段胸腹主动脉病变的 3 步方法。
Interact Cardiovasc Thorac Surg. 2021 Jul 26;33(2):269-275. doi: 10.1093/icvts/ivab062.
6
A novel nomogram to predict perioperative acute kidney injury following isolated coronary artery bypass grafting surgery with impaired left ventricular ejection fraction.一种用于预测左心室射血分数受损的单纯冠状动脉旁路移植术后围手术期急性肾损伤的新型列线图。
BMC Cardiovasc Disord. 2020 Dec 10;20(1):517. doi: 10.1186/s12872-020-01799-1.
7
Prediction of mortality rate in acute type A dissection: the German Registry for Acute Type A Aortic Dissection score.急性A型主动脉夹层死亡率预测:德国急性A型主动脉夹层注册研究评分
Eur J Cardiothorac Surg. 2020 Oct 1;58(4):700-706. doi: 10.1093/ejcts/ezaa156.
8
Characteristics and Surgical Results of Acute Type A Aortic Dissection in Patients Younger Than 50 Years of Age.50岁以下急性A型主动脉夹层患者的特征及手术结果
Ann Vasc Dis. 2019 Dec 25;12(4):507-513. doi: 10.3400/avd.oa.19-00033.
9
Clinical Prediction Models for Valvular Heart Disease.临床瓣膜性心脏病预测模型。
J Am Heart Assoc. 2019 Oct 15;8(20):e011972. doi: 10.1161/JAHA.119.011972. Epub 2019 Oct 4.
10
Aortic reinterventions after the frozen elephant trunk procedure.主动脉弓部手术后的再次干预。
J Thorac Cardiovasc Surg. 2020 Feb;159(2):392-399.e1. doi: 10.1016/j.jtcvs.2019.02.069. Epub 2019 Feb 28.