• 文献检索
  • 文档翻译
  • 深度研究
  • 学术资讯
  • Suppr Zotero 插件Zotero 插件
  • 邀请有礼
  • 套餐&价格
  • 历史记录
应用&插件
Suppr Zotero 插件Zotero 插件浏览器插件Mac 客户端Windows 客户端微信小程序
定价
高级版会员购买积分包购买API积分包
服务
文献检索文档翻译深度研究API 文档MCP 服务
关于我们
关于 Suppr公司介绍联系我们用户协议隐私条款
关注我们

Suppr 超能文献

核心技术专利:CN118964589B侵权必究
粤ICP备2023148730 号-1Suppr @ 2026

文献检索

告别复杂PubMed语法,用中文像聊天一样搜索,搜遍4000万医学文献。AI智能推荐,让科研检索更轻松。

立即免费搜索

文件翻译

保留排版,准确专业,支持PDF/Word/PPT等文件格式,支持 12+语言互译。

免费翻译文档

深度研究

AI帮你快速写综述,25分钟生成高质量综述,智能提取关键信息,辅助科研写作。

立即免费体验

急性心肌梗死患者的体重指数与新发心房颤动

Body Mass Index and New-Onset Atrial Fibrillation in Patients with Acute Myocardial Infarction.

作者信息

Liu Lei, Liu Xiaoyan, Ding Xiaosong, Chen Hui, Li Hongwei

机构信息

Department of Cardiology, Cardiovascular Center, Beijing Friendship Hospital, Capital Medical University, Beijing, People's Republic of China.

Beijing Key Laboratory of Metabolic Disorder Related Cardiovascular Disease, Beijing, People's Republic of China.

出版信息

Int J Gen Med. 2022 Jun 21;15:5717-5728. doi: 10.2147/IJGM.S367868. eCollection 2022.

DOI:10.2147/IJGM.S367868
PMID:35761895
原文链接:https://pmc.ncbi.nlm.nih.gov/articles/PMC9233516/
Abstract

BACKGROUND

The "obesity paradox" has not been elucidated in the long-term outcomes in acute myocardial infarction (AMI) patients. This study sought to characterize the relationship between body mass index (BMI) and the risk of new-onset atrial fibrillation (NOAF).

METHODS

A total of 4282 participants free from AF at baseline were identified at Beijing Friendship Hospital. Baseline body mass index (BMI) was categorized into four groups. Incidence of NOAF was observed at the follow-up visits. The associations between different BMI categories and the incidence of NOAF were assessed by multivariate Cox regression analysis.

RESULTS

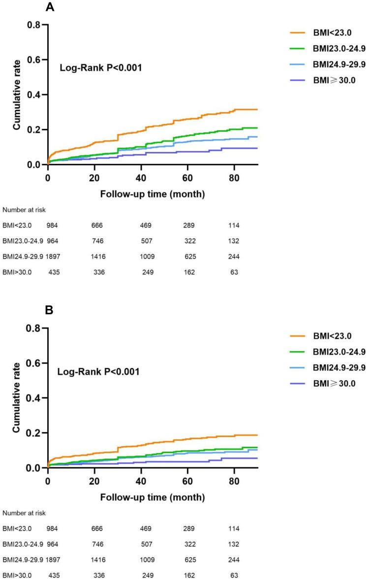
Over a median follow-up period of 42.0 months, 4282 participants (age 62.7 ± 6.6 years, 38.7% women) were enrolled, 23.0% were BMI <23.0kg/m, 22.5% were 23.0-24.9 kg/m, 44.3% were 25.0-29.9 kg/m and 10.2% were ≥30.0 kg/m. Compared with patients with the lowest BMI levels, those with BMI≥30 kg/m showed a younger, higher inflammatory response and a larger left atrium and were more likely to be combined with traditional cardiovascular risk factors. After adjustment for confounding variables, compared to BMI ≥30 kg/m group, patients with lower BMI (<23 kg/m) significantly increased the risk of NOAF in AMI patients (HR 2.884, 95% CI 1.302-6.392). Moreover, the all-cause mortality and cardiac mortality in BMI <23.0kg/m group was apparently higher than that in BMI≥30 kg/m group after a long-term follow-up.

CONCLUSION

In this AMI cohort study, the present finding of an inverse association between BMI and risk of NOAF supports the "obesity paradox". Decreasing BMI was associated with an increased risk of NOAF.

TRIAL REGISTRATION

Prospective registered.

摘要

背景

“肥胖悖论”在急性心肌梗死(AMI)患者的长期预后中尚未得到阐明。本研究旨在描述体重指数(BMI)与新发房颤(NOAF)风险之间的关系。

方法

在北京友谊医院共确定了4282名基线时无房颤的参与者。基线体重指数(BMI)分为四组。在随访中观察NOAF的发生率。通过多变量Cox回归分析评估不同BMI类别与NOAF发生率之间的关联。

结果

在中位随访期42.0个月内,纳入了4282名参与者(年龄62.7±6.6岁,38.7%为女性),23.0%的BMI<23.0kg/m,22.5%的BMI为23.0 - 24.9kg/m,44.3%的BMI为25.0 - 29.9kg/m,10.2%的BMI≥30.0kg/m。与BMI最低水平的患者相比,BMI≥30kg/m的患者更年轻,炎症反应更高,左心房更大,并且更有可能合并传统心血管危险因素。在调整混杂变量后,与BMI≥30kg/m组相比,BMI较低(<23kg/m)的患者在AMI患者中发生NOAF的风险显著增加(HR 2.884,95%CI 1.302 - 6.392)。此外,经过长期随访,BMI<23.0kg/m组的全因死亡率和心脏死亡率明显高于BMI≥30kg/m组。

结论

在这项AMI队列研究中,目前发现BMI与NOAF风险之间存在负相关,支持了“肥胖悖论”。BMI降低与NOAF风险增加相关。

试验注册

前瞻性注册。

https://cdn.ncbi.nlm.nih.gov/pmc/blobs/1ebf/9233516/9c163df0b5ef/IJGM-15-5717-g0004.jpg
https://cdn.ncbi.nlm.nih.gov/pmc/blobs/1ebf/9233516/26bef8fccd4c/IJGM-15-5717-g0001.jpg
https://cdn.ncbi.nlm.nih.gov/pmc/blobs/1ebf/9233516/1143e9ff2259/IJGM-15-5717-g0002.jpg
https://cdn.ncbi.nlm.nih.gov/pmc/blobs/1ebf/9233516/b0459b0be99d/IJGM-15-5717-g0003.jpg
https://cdn.ncbi.nlm.nih.gov/pmc/blobs/1ebf/9233516/9c163df0b5ef/IJGM-15-5717-g0004.jpg
https://cdn.ncbi.nlm.nih.gov/pmc/blobs/1ebf/9233516/26bef8fccd4c/IJGM-15-5717-g0001.jpg
https://cdn.ncbi.nlm.nih.gov/pmc/blobs/1ebf/9233516/1143e9ff2259/IJGM-15-5717-g0002.jpg
https://cdn.ncbi.nlm.nih.gov/pmc/blobs/1ebf/9233516/b0459b0be99d/IJGM-15-5717-g0003.jpg
https://cdn.ncbi.nlm.nih.gov/pmc/blobs/1ebf/9233516/9c163df0b5ef/IJGM-15-5717-g0004.jpg

相似文献

1
Body Mass Index and New-Onset Atrial Fibrillation in Patients with Acute Myocardial Infarction.急性心肌梗死患者的体重指数与新发心房颤动
Int J Gen Med. 2022 Jun 21;15:5717-5728. doi: 10.2147/IJGM.S367868. eCollection 2022.
2
Lipid Levels and New-Onset Atrial Fibrillation in Patients with Acute Myocardial Infarction.血脂水平与急性心肌梗死患者新发心房颤动。
J Atheroscler Thromb. 2023 May 1;30(5):515-530. doi: 10.5551/jat.63574. Epub 2022 Jul 22.
3
Long-term impact of new-onset atrial fibrillation complicating acute myocardial infarction on heart failure.新发房颤合并急性心肌梗死对心力衰竭的长期影响。
ESC Heart Fail. 2020 Oct;7(5):2762-2772. doi: 10.1002/ehf2.12872. Epub 2020 Jun 23.
4
[Risk factors and prognoses analysis of new-onset atrial fibrillation in patients with acute myocardial infarction].急性心肌梗死患者新发心房颤动的危险因素及预后分析
Zhonghua Nei Ke Za Zhi. 2019 Feb 1;58(2):133-138. doi: 10.3760/cma.j.issn.0578-1426.2019.02.010.
5
Gender Differences in the Impact of New-Onset Atrial Fibrillation on Long-Term Risk of Ischemic Stroke after Acute Myocardial Infarction.急性心肌梗死后新发房颤对缺血性卒中长期风险影响中的性别差异
J Clin Med. 2021 Nov 1;10(21):5141. doi: 10.3390/jcm10215141.
6
Prognostic Impact of the Symptom of New-Onset Atrial Fibrillation in Acute Myocardial Infarction: Insights From the NOAFCAMI-SH Registry.急性心肌梗死中新发房颤症状的预后影响:来自NOAFCAMI-SH注册研究的见解
Front Cardiovasc Med. 2021 Sep 22;8:677695. doi: 10.3389/fcvm.2021.677695. eCollection 2021.
7
Long-term impact of the burden of new-onset atrial fibrillation in patients with acute myocardial infarction: results from the NOAFCAMI-SH registry.急性心肌梗死后新发心房颤动负担对患者的长期影响:NOAFCAMI-SH 注册研究结果。
Europace. 2021 Feb 5;23(2):196-204. doi: 10.1093/europace/euaa234.
8
A Predictive Model of New-Onset Atrial Fibrillation After Percutaneous Coronary Intervention in Acute Myocardial Infarction Based on the Lymphocyte to C-Reactive Protein Ratio.基于淋巴细胞与C反应蛋白比值的急性心肌梗死经皮冠状动脉介入治疗后新发房颤预测模型
J Inflamm Res. 2023 Dec 13;16:6123-6137. doi: 10.2147/JIR.S443319. eCollection 2023.
9
Early Versus Late New-Onset Atrial Fibrillation in Acute Myocardial Infarction: Differences in Clinical Characteristics and Predictors.急性心肌梗死后早期与晚期新发心房颤动:临床特征和预测因素的差异。
Angiology. 2019 Nov;70(10):921-928. doi: 10.1177/0003319719867542. Epub 2019 Aug 6.
10
Association of stress hyperglycemia ratio with in-hospital new-onset atrial fibrillation and long-term outcomes in patients with acute myocardial infarction.应激性高血糖比值与急性心肌梗死患者住院期间新发心房颤动及长期预后的关系。
Diabetes Metab Res Rev. 2024 Feb;40(2):e3726. doi: 10.1002/dmrr.3726. Epub 2023 Sep 15.

引用本文的文献

1
Associations Between Albumin/Neutrophil-to-Lymphocyte Ratio Score and New-Onset Atrial Fibrillation in Patients with Acute Myocardial Infarction Undergoing PCI.接受PCI的急性心肌梗死患者白蛋白/中性粒细胞与淋巴细胞比值评分与新发心房颤动之间的关联
J Inflamm Res. 2025 Jan 3;18:61-71. doi: 10.2147/JIR.S500743. eCollection 2025.
2
Establishment and evaluation of a nomogram for in-hospital new-onset atrial fibrillation after percutaneous coronary intervention for acute myocardial infarction.急性心肌梗死经皮冠状动脉介入治疗后院内新发房颤列线图的建立与评估
Front Cardiovasc Med. 2024 Mar 18;11:1370290. doi: 10.3389/fcvm.2024.1370290. eCollection 2024.
3

本文引用的文献

1
Body Mass Index, Sex, and Incident Atrial Fibrillation in Diabetes: The ACCORD Trial.体重指数、性别与糖尿病患者中的房颤事件:ACCORD 试验。
JACC Clin Electrophysiol. 2020 Dec 14;6(13):1713-1720. doi: 10.1016/j.jacep.2020.08.008. Epub 2020 Oct 28.
2
Body mass index and cardiovascular outcomes in patients with acute coronary syndrome by diabetes status: the obesity paradox in a Korean national cohort study.按糖尿病状态分层的急性冠状动脉综合征患者的体重指数与心血管结局:韩国全国队列研究中的肥胖悖论。
Cardiovasc Diabetol. 2020 Nov 10;19(1):191. doi: 10.1186/s12933-020-01170-w.
3
2020 ESC Guidelines for the diagnosis and management of atrial fibrillation developed in collaboration with the European Association for Cardio-Thoracic Surgery (EACTS): The Task Force for the diagnosis and management of atrial fibrillation of the European Society of Cardiology (ESC) Developed with the special contribution of the European Heart Rhythm Association (EHRA) of the ESC.
A Predictive Model of New-Onset Atrial Fibrillation After Percutaneous Coronary Intervention in Acute Myocardial Infarction Based on the Lymphocyte to C-Reactive Protein Ratio.
基于淋巴细胞与C反应蛋白比值的急性心肌梗死经皮冠状动脉介入治疗后新发房颤预测模型
J Inflamm Res. 2023 Dec 13;16:6123-6137. doi: 10.2147/JIR.S443319. eCollection 2023.
2020年欧洲心脏病学会(ESC)与欧洲心胸外科学会(EACTS)合作制定的心房颤动诊断和管理指南:欧洲心脏病学会(ESC)心房颤动诊断和管理特别工作组,由ESC欧洲心律协会(EHRA)特别贡献制定。
Eur Heart J. 2021 Feb 1;42(5):373-498. doi: 10.1093/eurheartj/ehaa612.
4
Relationship Between Body Mass Index, Antidiabetic Agents, and Midterm Mortality in Patients With Both Type 2 Diabetes Mellitus and Acute Coronary Syndrome.2 型糖尿病合并急性冠状动脉综合征患者的体重指数、抗糖尿病药物与中期死亡率的关系。
J Am Heart Assoc. 2019 Apr 2;8(7):e011215. doi: 10.1161/JAHA.118.011215.
5
Oxidative stress and inflammation as central mediators of atrial fibrillation in obesity and diabetes.氧化应激和炎症作为肥胖和糖尿病中心律失常的中介。
Cardiovasc Diabetol. 2017 Sep 29;16(1):120. doi: 10.1186/s12933-017-0604-9.
6
Management of cardiovascular diseases in patients with obesity.肥胖患者的心血管疾病管理。
Nat Rev Cardiol. 2018 Jan;15(1):45-56. doi: 10.1038/nrcardio.2017.108. Epub 2017 Jul 27.
7
Associations of Abdominal Obesity and New-Onset Atrial Fibrillation in the General Population.普通人群中腹型肥胖与新发心房颤动的关联。
J Am Heart Assoc. 2017 Jun 6;6(6):e004705. doi: 10.1161/JAHA.116.004705.
8
Cholesterol depletion impairs contractile machinery in neonatal rat cardiomyocytes.胆固醇耗竭损伤乳鼠心肌细胞的收缩机制。
Sci Rep. 2017 Mar 3;7:43764. doi: 10.1038/srep43764.
9
Body mass index, abdominal fatness, fat mass and the risk of atrial fibrillation: a systematic review and dose-response meta-analysis of prospective studies.体重指数、腹部肥胖、脂肪量与心房颤动风险:前瞻性研究的系统评价和剂量反应荟萃分析
Eur J Epidemiol. 2017 Mar;32(3):181-192. doi: 10.1007/s10654-017-0232-4. Epub 2017 Feb 13.
10
Obesity and Prevalence of Cardiovascular Diseases and Prognosis-The Obesity Paradox Updated.肥胖与心血管疾病的患病率及预后——肥胖悖论的最新进展
Prog Cardiovasc Dis. 2016 Mar-Apr;58(5):537-47. doi: 10.1016/j.pcad.2016.01.008. Epub 2016 Jan 28.