• 文献检索
  • 文档翻译
  • 深度研究
  • 学术资讯
  • Suppr Zotero 插件Zotero 插件
  • 邀请有礼
  • 套餐&价格
  • 历史记录
应用&插件
Suppr Zotero 插件Zotero 插件浏览器插件Mac 客户端Windows 客户端微信小程序
定价
高级版会员购买积分包购买API积分包
服务
文献检索文档翻译深度研究API 文档MCP 服务
关于我们
关于 Suppr公司介绍联系我们用户协议隐私条款
关注我们

Suppr 超能文献

核心技术专利:CN118964589B侵权必究
粤ICP备2023148730 号-1Suppr @ 2026

文献检索

告别复杂PubMed语法,用中文像聊天一样搜索,搜遍4000万医学文献。AI智能推荐,让科研检索更轻松。

立即免费搜索

文件翻译

保留排版,准确专业,支持PDF/Word/PPT等文件格式,支持 12+语言互译。

免费翻译文档

深度研究

AI帮你快速写综述,25分钟生成高质量综述,智能提取关键信息,辅助科研写作。

立即免费体验

COVID-19 住院和死亡风险在 20 个月期间的癫痫患者中:意大利博洛尼亚 EpiLink 队列。

Risk of hospitalization and death for COVID-19 in persons with epilepsy over a 20-month period: The EpiLink Bologna cohort, Italy.

机构信息

Department of Biomedical and Neuromotor Sciences, University of Bologna, Bologna, Italy.

IRCCS Istituto delle Scienze Neurologiche di Bologna, Scientific Institute for Research and Health Care, full member of the European Reference Network EpiCARE, Bologna, Italy.

出版信息

Epilepsia. 2022 Sep;63(9):2279-2289. doi: 10.1111/epi.17356. Epub 2022 Jul 17.

DOI:10.1111/epi.17356
PMID:35778963
原文链接:https://pmc.ncbi.nlm.nih.gov/articles/PMC9349826/
Abstract

OBJECTIVE

Data on COVID-19 outcomes in persons with epilepsy (PWE) are scarce and inconclusive. We aimed to study the risk of hospitalization and death for COVID-19 in a large cohort of PWE from March 1, 2020 to October 31, 2021.

METHODS

The historical cohort design (EpiLink Bologna) compared adult PWE grouped into people with focal epilepsy (PFE), idiopathic generalized epilepsy (PIGE), and developmental and/or epileptic encephalopathy (PDEE), and a population cohort matched (ratio 1:10) for age, sex, residence, and comorbidity (assessed with the multisource comorbidity score), living in the local health trust of Bologna (approximately 800 000 residents). Clinical data were linked to health administrative data.

RESULTS

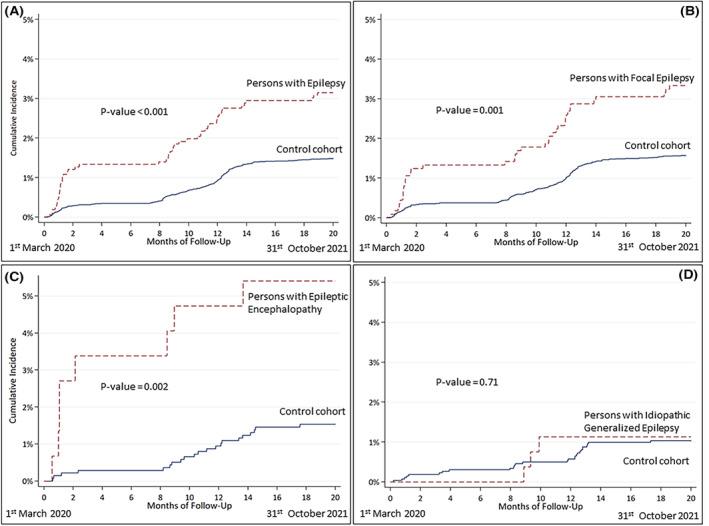
In both cohorts (EpiLink: n = 1575 subjects, 1128 PFE, 267 PIGE, 148 PDEE, 32 other; controls: n = 15 326 subjects), 52% were females, and the mean age was 50 years (SD = 18). Hospital admissions for COVID-19 in the whole period were 49 (3.1%) in PWE and 225 (1.5%) in controls. The adjusted hazard ratio (aHR) in PWE was 1.9 (95% confidence interval [CI] = 1.4-2.7). The subgroups at higher risk were PFE (aHR = 1.9, 95% CI = 1.3-2.8) and PDEE (aHR = 3.9, 95% CI = 1.7-8.7), whereas PIGE had a risk comparable to the controls (aHR = 1.1, 95% CI = .3-3.5). Stratified analyses of the two main epidemic waves (March-May 2020, October 2020-May 2021) disclosed a higher risk of COVID-19-related hospitalization during the first epidemic wave (March-May 2020; aHR = 3.8, 95% CI = 2.2-6.7). Polytherapy with antiseizure medications contributed to a higher risk of hospital admission. Thirty-day risk of death after hospitalization was 14% in both PWE and controls.

SIGNIFICANCE

During the first 20 months since the outbreak of COVID-19 in Bologna, PWE had a doubled risk of COVID-19 hospital admission compared to a matched control population. Conversely, epilepsy did not represent a risk factor for COVID-19-related death.

摘要

目的

关于 COVID-19 在癫痫患者(PWE)中的结局的数据很少且不确定。我们旨在研究 2020 年 3 月 1 日至 2021 年 10 月 31 日期间,来自博洛尼亚当地卫生保健区的一大群 PWE 因 COVID-19 住院和死亡的风险。

方法

历史队列设计(EpiLink Bologna)将成人 PWE 分为局灶性癫痫(PFE)、特发性全面性癫痫(PIGE)、发育性和/或癫痫性脑病(PDEE)人群,并匹配了年龄、性别、居住地和合并症(使用多源合并症评分评估)的人群队列(比为 1:10),居住在博洛尼亚当地卫生保健区(约 800 000 名居民)。临床数据与健康管理数据相关联。

结果

在两个队列中(EpiLink:n = 1575 例,1128 例 PFE、267 例 PIGE、148 例 PDEE、32 例其他;对照组:n = 15 326 例),52%为女性,平均年龄为 50 岁(标准差= 18 岁)。在整个研究期间,COVID-19 住院患者为 49 例(3.1%)在 PWE 和 225 例(1.5%)在对照组。PWE 的调整后的危险比(aHR)为 1.9(95%置信区间[CI] = 1.4-2.7)。风险较高的亚组为 PFE(aHR = 1.9,95%CI = 1.3-2.8)和 PDEE(aHR = 3.9,95%CI = 1.7-8.7),而 PIGE 的风险与对照组相当(aHR = 1.1,95%CI =.3-3.5)。对两个主要流行波(2020 年 3 月至 5 月、2020 年 10 月至 2021 年 5 月)的分层分析显示,COVID-19 相关住院的风险在第一波疫情(2020 年 3 月至 5 月)期间更高(aHR = 3.8,95%CI = 2.2-6.7)。抗癫痫药物的联合治疗增加了住院的风险。PWE 和对照组的 30 天住院死亡率均为 14%。

意义

自 COVID-19 在博洛尼亚爆发以来的 20 个月内,与匹配的对照组相比,PWE 因 COVID-19 住院的风险增加了一倍。相反,癫痫并不是 COVID-19 相关死亡的危险因素。

https://cdn.ncbi.nlm.nih.gov/pmc/blobs/3fb3/9349826/9c3ab77e7cb9/EPI-9999-0-g002.jpg
https://cdn.ncbi.nlm.nih.gov/pmc/blobs/3fb3/9349826/0e2ffc694a58/EPI-9999-0-g001.jpg
https://cdn.ncbi.nlm.nih.gov/pmc/blobs/3fb3/9349826/ad016f06eaaa/EPI-9999-0-g003.jpg
https://cdn.ncbi.nlm.nih.gov/pmc/blobs/3fb3/9349826/9c3ab77e7cb9/EPI-9999-0-g002.jpg
https://cdn.ncbi.nlm.nih.gov/pmc/blobs/3fb3/9349826/0e2ffc694a58/EPI-9999-0-g001.jpg
https://cdn.ncbi.nlm.nih.gov/pmc/blobs/3fb3/9349826/ad016f06eaaa/EPI-9999-0-g003.jpg
https://cdn.ncbi.nlm.nih.gov/pmc/blobs/3fb3/9349826/9c3ab77e7cb9/EPI-9999-0-g002.jpg

相似文献

1
Risk of hospitalization and death for COVID-19 in persons with epilepsy over a 20-month period: The EpiLink Bologna cohort, Italy.COVID-19 住院和死亡风险在 20 个月期间的癫痫患者中:意大利博洛尼亚 EpiLink 队列。
Epilepsia. 2022 Sep;63(9):2279-2289. doi: 10.1111/epi.17356. Epub 2022 Jul 17.
2
Epilepsy and the risk of COVID-19-related hospitalization and death: A population study.癫痫与 COVID-19 相关住院和死亡风险:一项人群研究。
Epilepsia. 2024 May;65(5):1383-1393. doi: 10.1111/epi.17910. Epub 2024 Mar 5.
3
Incidence, severity and outcomes of COVID-19 in age and gender matched adults with and without epilepsy in Moscow: A historical cohort study.莫斯科有癫痫和无癫痫的年龄及性别匹配成年人中新冠病毒病的发病率、严重程度及转归:一项历史性队列研究
Seizure. 2023 Nov;112:32-39. doi: 10.1016/j.seizure.2023.09.017. Epub 2023 Sep 18.
4
Health care utilization and mortality for people with epilepsy during COVID-19: A population study.新冠疫情期间癫痫患者的医疗保健利用和死亡率:一项人群研究。
Epilepsia. 2024 May;65(5):1394-1405. doi: 10.1111/epi.17920. Epub 2024 Mar 5.
5
Risk of COVID-19 infection and seizure exacerbation among patients with epilepsy during the peak of Omicron wave.奥密克戎变异株流行期间癫痫患者 COVID-19 感染和癫痫发作加重的风险。
Epilepsia Open. 2024 Aug;9(4):1416-1425. doi: 10.1002/epi4.12978. Epub 2024 May 25.
6
Fractures in people with epilepsy: A nationwide population-based cohort study.癫痫患者的骨折:一项全国范围内基于人群的队列研究。
Epilepsia Open. 2023 Sep;8(3):1028-1037. doi: 10.1002/epi4.12776. Epub 2023 Jun 25.
7
Utilisation of specialist epilepsy services and antiseizure medication adherence rates in a cohort of people with epilepsy (PWE) accessing emergency care.在接受急诊治疗的癫痫患者(PWE)队列中,利用专业癫痫服务和抗癫痫药物治疗依从率。
Seizure. 2024 Feb;115:59-61. doi: 10.1016/j.seizure.2023.12.019. Epub 2023 Dec 27.
8
Risk of SARS-CoV-2 infection, hospitalization and death for COVID-19 in people with Parkinson's disease or parkinsonism over a 15-month period: a cohort study.帕金森病或帕金森综合征患者在15个月内感染新型冠状病毒、因新冠肺炎住院及死亡的风险:一项队列研究。
Eur J Neurol. 2022 Jul 16. doi: 10.1111/ene.15505.
9
Risk of Hospitalization and Death for COVID-19 in People with Parkinson's Disease or Parkinsonism.帕金森病或帕金森综合征患者感染 COVID-19 的住院和死亡风险。
Mov Disord. 2021 Jan;36(1):1-10. doi: 10.1002/mds.28408. Epub 2020 Dec 2.
10
Epilepsy and the risk of adverse cardiovascular events: A nationwide cohort study.癫痫与不良心血管事件风险:一项全国性队列研究。
Eur J Neurol. 2024 Mar;31(3):e16116. doi: 10.1111/ene.16116. Epub 2024 Jan 2.

引用本文的文献

1
The upside of epilepsy: Theories of an evolutionary paradox.癫痫的积极面:一种进化悖论的理论
Epilepsia Open. 2025 Aug;10(4):987-998. doi: 10.1002/epi4.70088. Epub 2025 Jun 30.
2
Causes of hospitalization and mortality in persons with epilepsy: The EpiLink Bologna cohort, Italy.癫痫患者的住院和死亡原因:意大利博洛尼亚EpiLink队列研究
Eur J Neurol. 2025 Feb;32(2):e16576. doi: 10.1111/ene.16576.
3
Mortality of Epilepsy in Chinese Populations: A Comprehensive Review.中国人群癫痫的死亡率:一项综合综述。

本文引用的文献

1
Risk of COVID-19 Infection and of Severe Complications Among People With Epilepsy: A Nationwide Cohort Study.癫痫患者中感染新型冠状病毒肺炎及出现严重并发症的风险:一项全国性队列研究。
Neurology. 2022 May 10;98(19):e1886-e1892. doi: 10.1212/WNL.0000000000200195. Epub 2022 Mar 25.
2
Risk factors for territorial spreading of SARS-CoV-2 in North-eastern Italy.意大利东北部地区 2019 冠状病毒病传播的风险因素。
Sci Rep. 2022 Feb 9;12(1):2214. doi: 10.1038/s41598-022-05368-8.
3
A longitudinal seizure outcome following the COVID-19 pandemic in 2020 and 2021: Transient exacerbation or sustainable mitigation.
Neuroepidemiology. 2025;59(4):391-404. doi: 10.1159/000540426. Epub 2024 Jul 29.
4
Hospital outcomes of acute COVID-19 infection among patients with neurological conditions: a single-center study.神经系统疾病患者急性新冠病毒感染的医院结局:一项单中心研究
Front Neurol. 2024 Jul 10;15:1434046. doi: 10.3389/fneur.2024.1434046. eCollection 2024.
5
COVID-19 response in a long-term care facility for people with epilepsy.在长期护理机构中对癫痫患者的 COVID-19 应对措施。
Epilepsia Open. 2024 Jun;9(3):1059-1066. doi: 10.1002/epi4.12940. Epub 2024 Apr 9.
6
The association between epilepsy and COVID-19: analysis based on Mendelian randomization and FUMA.癫痫与新型冠状病毒肺炎的关联:基于孟德尔随机化和FUMA的分析
Front Neurosci. 2023 Sep 15;17:1235822. doi: 10.3389/fnins.2023.1235822. eCollection 2023.
7
Epilepsy-related mortality during the COVID-19 pandemic: A nationwide study of routine Scottish data.新冠疫情大流行期间与癫痫相关的死亡率:一项苏格兰常规数据的全国性研究。
Seizure. 2023 Aug;110:160-168. doi: 10.1016/j.seizure.2023.06.010. Epub 2023 Jun 11.
8
Does SARS-CoV-2 Cause Seizures and Epilepsy in COVID-19 via Inflammation or by Direct Infection?严重急性呼吸综合征冠状病毒2型(SARS-CoV-2)是通过炎症还是直接感染导致新型冠状病毒肺炎(COVID-19)患者出现癫痫发作和癫痫?
Epilepsy Curr. 2023 Mar 27;23(3):153-155. doi: 10.1177/15357597231160601. eCollection 2023 May-Jun.
9
Frequency and burden of neurological manifestations upon hospital presentation in COVID-19 patients: Findings from a large Brazilian cohort.COVID-19 患者住院时神经系统表现的频率和负担:来自巴西大队列的研究结果。
J Neurol Sci. 2022 Dec 15;443:120485. doi: 10.1016/j.jns.2022.120485. Epub 2022 Nov 9.
2020 年和 2021 年 COVID-19 大流行后的纵向癫痫结局:短暂恶化还是持续缓解?
J Neurol Sci. 2022 Mar 15;434:120100. doi: 10.1016/j.jns.2021.120100. Epub 2021 Dec 17.
4
Epilepsy and the risk of severe coronavirus disease 2019 outcomes: A systematic review, meta-analysis, and meta-regression.癫痫与严重 2019 冠状病毒病结局风险:系统评价、荟萃分析和荟萃回归。
Epilepsy Behav. 2021 Dec;125:108437. doi: 10.1016/j.yebeh.2021.108437. Epub 2021 Nov 15.
5
Chronic Diseases as a Predictor for Severity and Mortality of COVID-19: A Systematic Review With Cumulative Meta-Analysis.慢性病作为新冠病毒疾病严重程度和死亡率的预测指标:一项累积荟萃分析的系统评价
Front Med (Lausanne). 2021 Sep 1;8:588013. doi: 10.3389/fmed.2021.588013. eCollection 2021.
6
Mental and neurological disorders and risk of COVID-19 susceptibility, illness severity and mortality: A systematic review, meta-analysis and call for action.精神和神经疾病与感染新冠病毒的易感性、疾病严重程度及死亡率风险:一项系统综述、荟萃分析及行动呼吁
EClinicalMedicine. 2021 Oct;40:101111. doi: 10.1016/j.eclinm.2021.101111. Epub 2021 Sep 8.
7
Epilepsy care during the COVID-19 pandemic.COVID-19 大流行期间的癫痫护理。
Epilepsia. 2021 Oct;62(10):2322-2332. doi: 10.1111/epi.17045. Epub 2021 Aug 24.
8
COVID-19 among patients with epilepsy: Risk factors and course of the disease.COVID-19 与癫痫患者:风险因素与疾病过程。
Epilepsy Behav. 2021 Jul;120:107996. doi: 10.1016/j.yebeh.2021.107996. Epub 2021 Apr 24.
9
COVID-19 fatality rates in hospitalized patients: systematic review and meta-analysis.COVID-19 住院患者病死率:系统评价和荟萃分析。
Ann Epidemiol. 2021 May;57:14-21. doi: 10.1016/j.annepidem.2021.02.012. Epub 2021 Mar 2.
10
The Impact of the COVID-19 Pandemic on People With Epilepsy. An Italian Survey and a Global Perspective.新冠疫情对癫痫患者的影响。一项意大利调查及全球视角。
Front Neurol. 2020 Dec 18;11:613719. doi: 10.3389/fneur.2020.613719. eCollection 2020.