• 文献检索
  • 文档翻译
  • 深度研究
  • 学术资讯
  • Suppr Zotero 插件Zotero 插件
  • 邀请有礼
  • 套餐&价格
  • 历史记录
应用&插件
Suppr Zotero 插件Zotero 插件浏览器插件Mac 客户端Windows 客户端微信小程序
定价
高级版会员购买积分包购买API积分包
服务
文献检索文档翻译深度研究API 文档MCP 服务
关于我们
关于 Suppr公司介绍联系我们用户协议隐私条款
关注我们

Suppr 超能文献

核心技术专利:CN118964589B侵权必究
粤ICP备2023148730 号-1Suppr @ 2026

文献检索

告别复杂PubMed语法,用中文像聊天一样搜索,搜遍4000万医学文献。AI智能推荐,让科研检索更轻松。

立即免费搜索

文件翻译

保留排版,准确专业,支持PDF/Word/PPT等文件格式,支持 12+语言互译。

免费翻译文档

深度研究

AI帮你快速写综述,25分钟生成高质量综述,智能提取关键信息,辅助科研写作。

立即免费体验

在 COVID-19 大流行期间,抗骨质疏松药物的配给发生了变化。

Dispensing anti-osteoporotic drugs changed during the COVID-19 pandemic.

机构信息

Ludwig Boltzmann Institute of Osteology at Hanusch Hospital of OEGK and AUVA Trauma Centre Meidling, 1st Medical Department Hanusch Hospital, Vienna, Austria; Sigmund Freud University Vienna, School of Medicine, Metabolic Bone Diseases Unit, Vienna, Austria.

Ludwig Boltzmann Institute of Osteology at Hanusch Hospital of OEGK and AUVA Trauma Centre Meidling, 1st Medical Department Hanusch Hospital, Vienna, Austria.

出版信息

Bone. 2022 Sep;162:116477. doi: 10.1016/j.bone.2022.116477. Epub 2022 Jun 29.

DOI:10.1016/j.bone.2022.116477
PMID:35779846
原文链接:https://pmc.ncbi.nlm.nih.gov/articles/PMC9239920/
Abstract

OBJECTIVES

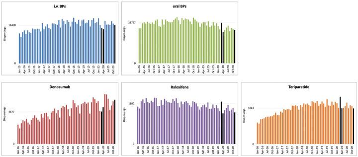
Caring for osteoporosis patients has proven challenging during the COVID-19 pandemic due to repeated lockdowns in Austria. The distinct possibility of insufficient treatment regimens is therefore a matter of pressing concern. The aim of the study was to assess alterations in dispensing anti-osteoporotic drugs during the COVID-19 pandemic.

PATIENTS/METHODS: This study was a nationwide retrospective register-based observational study which included all patients in Austria aged ≥50 who received at least one prescription for anti-osteoporotic medication between January 2016 and November 2020. Pseudonymised individual-level patients' data were obtained from social insurance authorities. Anti-osteoporotic agents were divided into: (i) oral bisphosphonates, (ii) intravenous bisphosphonates, (iii) selective estrogen receptor modulators (SERMs), (iv) teriparatide (TPTD) and (v) denosumab (DMAB). We used interrupted time series analysis with autoregressive integrated moving average models (ARIMA) to predict drug dispensing.

RESULTS

There were 2,884,374 dispensations of anti-osteoporotic drugs to 224,598 patients between 2016 and 2020. The mean monthly prescriptions for oral bisphosphonates (-14.5 %) and SERMs (-12.9 %) decreased during the COVID-19 pandemic when compared to the non-COVID-19 period. Dispensing for intravenous bisphosphonates (1.7 %) and teriparatide (9.5 %) increased. Prescriptions for DMAB decreased during the first lock-down, however increased by 29.1 % for the total observation time. The Arima models showed that in March 2020 (beginning of the 1st COVID-19 lockdown), there was a decrease of 778 dispensings, with a further increase of 14 dispensings every month for denosumab; a decrease by 178 dispensings, with a further increase of 23 dispensings every month for zolendronic acid; a decrease by 2950 dispensings, but with a further increase of 236 dispensings every other month for ibandronate and a decrease by 1443 dispensing with a further decrease of 29 dispensings for alendronate than predicted, had the lockdown not occurred.

CONCLUSIONS

The total number of prescriptions dispensed to patients treated with anti-osteoporotic medications declined rapidly during first COVID-19 lockdown. The observed decrease of DMAB during the first lockdown rebounded in the following months. Considering the massive treatment gap for osteoporosis, and the related fracture risk, clinicians should continue treatment, even during a pandemic.

摘要

目的

由于奥地利反复封锁,在 COVID-19 大流行期间,照顾骨质疏松症患者极具挑战性。因此,治疗方案明显不足是一个紧迫的问题。本研究旨在评估 COVID-19 大流行期间抗骨质疏松药物配药的变化。

患者/方法:这是一项全国性的回顾性基于登记的观察性研究,纳入了 2016 年 1 月至 2020 年 11 月期间在奥地利年龄≥50 岁且至少接受过一次抗骨质疏松药物处方的所有患者。从社会保险机构获得了匿名化的个体患者数据。抗骨质疏松药物分为:(i)口服双膦酸盐,(ii)静脉用双膦酸盐,(iii)选择性雌激素受体调节剂(SERMs),(iv)特立帕肽(TPTD)和(v)地舒单抗(DMAB)。我们使用自回归综合移动平均模型(ARIMA)进行了中断时间序列分析,以预测药物配药情况。

结果

2016 年至 2020 年期间,共为 224598 名患者开出了 2884374 份抗骨质疏松药物处方。与非 COVID-19 时期相比,COVID-19 大流行期间口服双膦酸盐(-14.5%)和 SERMs(-12.9%)的每月处方量减少。静脉用双膦酸盐(1.7%)和特立帕肽(9.5%)的处方量增加。DMAB 的处方在第一次封锁期间减少,但在整个观察期间增加了 29.1%。ARIMA 模型显示,2020 年 3 月(第一次 COVID-19 封锁开始时),配药量减少了 778 次,地舒单抗每月增加 14 次;唑来膦酸每月减少 178 次,每月增加 23 次;伊班膦酸盐每月减少 2950 次,每隔一个月增加 236 次;阿仑膦酸钠每月减少 1443 次,每月减少 29 次,与未发生封锁相比。

结论

接受抗骨质疏松药物治疗的患者的总处方数量在第一次 COVID-19 封锁期间迅速下降。在第一次封锁期间观察到的 DMAB 减少在随后的几个月中反弹。考虑到骨质疏松症的大量治疗差距,以及相关的骨折风险,临床医生应继续治疗,即使在大流行期间也是如此。

https://cdn.ncbi.nlm.nih.gov/pmc/blobs/4f0a/9239920/6614c6de485d/gr3_lrg.jpg
https://cdn.ncbi.nlm.nih.gov/pmc/blobs/4f0a/9239920/355a595bf4a7/gr1_lrg.jpg
https://cdn.ncbi.nlm.nih.gov/pmc/blobs/4f0a/9239920/d3de93c4a11e/gr2_lrg.jpg
https://cdn.ncbi.nlm.nih.gov/pmc/blobs/4f0a/9239920/6614c6de485d/gr3_lrg.jpg
https://cdn.ncbi.nlm.nih.gov/pmc/blobs/4f0a/9239920/355a595bf4a7/gr1_lrg.jpg
https://cdn.ncbi.nlm.nih.gov/pmc/blobs/4f0a/9239920/d3de93c4a11e/gr2_lrg.jpg
https://cdn.ncbi.nlm.nih.gov/pmc/blobs/4f0a/9239920/6614c6de485d/gr3_lrg.jpg

相似文献

1
Dispensing anti-osteoporotic drugs changed during the COVID-19 pandemic.在 COVID-19 大流行期间,抗骨质疏松药物的配给发生了变化。
Bone. 2022 Sep;162:116477. doi: 10.1016/j.bone.2022.116477. Epub 2022 Jun 29.
2
Drug utilization analysis of osteoporosis medications in seven European electronic health databases.七国电子健康数据库中骨质疏松症药物的药物利用分析。
Osteoporos Int. 2023 Oct;34(10):1771-1781. doi: 10.1007/s00198-023-06837-0. Epub 2023 Jul 12.
3
The impact of switching once-weekly teriparatide to denosumab in osteoporosis patients.骨质疏松症患者从每周一次的特立帕肽转换为地诺单抗的影响。
J Orthop Sci. 2019 Jan;24(1):153-158. doi: 10.1016/j.jos.2018.08.001. Epub 2018 Aug 23.
4
Secular Trends in the Pharmacologic Treatment of Osteoporosis and Malignancy-Related Bone Disease from 2009 to 2020.2009 年至 2020 年骨质疏松症和恶性肿瘤相关骨病药物治疗的变化趋势。
J Gen Intern Med. 2022 Jun;37(8):1917-1924. doi: 10.1007/s11606-021-06938-8. Epub 2021 Jun 7.
5
One and two-year persistence with different anti-osteoporosis medications: a retrospective cohort study.不同抗骨质疏松药物的一年和两年持续治疗情况:一项回顾性队列研究。
Osteoporos Int. 2017 Oct;28(10):2997-3004. doi: 10.1007/s00198-017-4144-7. Epub 2017 Jul 16.
6
Prevalence and patterns of anti-osteoporotic drug use based on 2019 real-world nationwide data in Greece.基于 2019 年希腊全国真实数据的抗骨质疏松药物使用的流行率和模式。
Arch Osteoporos. 2022 Jun 28;17(1):86. doi: 10.1007/s11657-022-01126-5.
7
Assessment of the effects of switching oral bisphosphonates to denosumab or daily teriparatide in patients with rheumatoid arthritis.评估类风湿关节炎患者由口服双膦酸盐转换为地舒单抗或每日特立帕肽的效果。
J Bone Miner Metab. 2018 Jul;36(4):478-487. doi: 10.1007/s00774-017-0861-4. Epub 2017 Aug 1.
8
Status quo of osteoporosis treatment in Japan disclosed by the National Database of Health Insurance Claims and Specific Health Checkups: too late in treatment initiation and too few in treated patients?日本国民健康保险索赔和特定健康检查数据库揭示的骨质疏松症治疗现状:治疗启动太晚,治疗患者太少?
Arch Osteoporos. 2019 Jul 31;14(1):84. doi: 10.1007/s11657-019-0637-7.
9
Treatment patterns of long-dose-interval medication for persistent management of osteoporosis in Taiwan.台湾地区骨质疏松症持续性管理中长间隔用药的治疗模式。
Arch Osteoporos. 2022 Jul 15;17(1):94. doi: 10.1007/s11657-022-01125-6.
10
THERAPY OF ENDOCRINE DISEASE: Denosumab vs bisphosphonates for the treatment of postmenopausal osteoporosis.内分泌疾病治疗学:地舒单抗与双磷酸盐类药物治疗绝经后骨质疏松症的比较。
Eur J Endocrinol. 2018 Jul;179(1):R31-R45. doi: 10.1530/EJE-18-0056. Epub 2018 Apr 24.

引用本文的文献

1
COVID-19 pandemic and initiation of treatment for atrial fibrillation: a nationwide analysis of claims data.COVID-19 大流行与心房颤动治疗的启动:一项全国性理赔数据分析。
BMC Cardiovasc Disord. 2023 Dec 8;23(1):604. doi: 10.1186/s12872-023-03614-z.
2
How the COVID-19 pandemic affected bone health: a retrospective, longitudinal study on denosumab persistence from the epicentre of European spreading.COVID-19 大流行如何影响骨骼健康:来自欧洲传播中心的地舒单抗治疗持续性的回顾性、纵向研究。
Arch Osteoporos. 2023 Jul 12;18(1):95. doi: 10.1007/s11657-023-01307-w.

本文引用的文献

1
Preventive steps implemented on geriatric services in the primary health care centers during COVID-19 pandemic.在新冠疫情期间,在初级卫生保健中心对老年服务实施的预防措施。
J Public Health Res. 2021 Nov 22;11(2):2593. doi: 10.4081/jphr.2021.2593.
2
Impact of the COVID-19 Pandemic on Primary Health Care Disease Incidence Rates: 2017 to 2020.**新冠疫情对初级卫生保健疾病发病率的影响:2017 年至 2020 年。**
Ann Fam Med. 2022 Jan-Feb;20(1):63-68. doi: 10.1370/afm.2731. Epub 2021 Sep 24.
3
Adherence to dosing schedule of denosumab therapy for osteoporosis during COVID-19 lockdown: an electronic medical record and pharmacy claims database study from Asia.
在 COVID-19 封锁期间,骨质疏松症地舒单抗治疗的剂量方案依从性:来自亚洲的电子病历和药房理赔数据库研究。
Osteoporos Int. 2022 Jan;33(1):251-261. doi: 10.1007/s00198-021-06085-0. Epub 2021 Aug 21.
4
The Use of Oral Amino-Bisphosphonates and Coronavirus Disease 2019 (COVID-19) Outcomes.口服氨基双膦酸盐的使用与 2019 冠状病毒病(COVID-19)结局。
J Bone Miner Res. 2021 Nov;36(11):2177-2183. doi: 10.1002/jbmr.4419. Epub 2021 Aug 22.
5
No association of anti-osteoporosis drugs with COVID-19-related outcomes in women: a nationwide cohort study.抗骨质疏松药物与女性 COVID-19 相关结局无关:一项全国性队列研究。
Osteoporos Int. 2022 Jan;33(1):273-282. doi: 10.1007/s00198-021-06067-2. Epub 2021 Aug 17.
6
Challenges and Opportunities for Osteoporosis Care During the COVID-19 Pandemic.COVID-19 大流行期间骨质疏松症护理的挑战与机遇。
J Clin Endocrinol Metab. 2021 Nov 19;106(12):e4795-e4808. doi: 10.1210/clinem/dgab570.
7
Prescription Drug Dispensing to US Children During the COVID-19 Pandemic.新冠疫情期间美国儿童的处方药配给情况。
Pediatrics. 2021 Aug;148(2). doi: 10.1542/peds.2021-049972. Epub 2021 Jul 20.
8
The Impact of COVID-19 on the Optimal Management of Osteoporosis.2019冠状病毒病对骨质疏松症优化管理的影响
J Bone Metab. 2021 May;28(2):115-122. doi: 10.11005/jbm.2021.28.2.115. Epub 2021 May 31.
9
Diagnosis and Management of Osteoporosis During COVID-19: Systematic Review and Practical Guidance.COVID-19 期间骨质疏松症的诊断和管理:系统评价和实用指南。
Calcif Tissue Int. 2021 Oct;109(4):351-362. doi: 10.1007/s00223-021-00858-9. Epub 2021 May 18.
10
Vaccination for Coronavirus Disease 2019 (COVID-19) and Relationship to Osteoporosis Care: Current Evidence and Suggested Approaches.2019冠状病毒病(COVID-19)疫苗接种与骨质疏松症护理的关系:当前证据与建议方法
J Bone Miner Res. 2021 Jun;36(6):1042-1047. doi: 10.1002/jbmr.4304. Epub 2021 Apr 14.