• 文献检索
  • 文档翻译
  • 深度研究
  • 学术资讯
  • Suppr Zotero 插件Zotero 插件
  • 邀请有礼
  • 套餐&价格
  • 历史记录
应用&插件
Suppr Zotero 插件Zotero 插件浏览器插件Mac 客户端Windows 客户端微信小程序
定价
高级版会员购买积分包购买API积分包
服务
文献检索文档翻译深度研究API 文档MCP 服务
关于我们
关于 Suppr公司介绍联系我们用户协议隐私条款
关注我们

Suppr 超能文献

核心技术专利:CN118964589B侵权必究
粤ICP备2023148730 号-1Suppr @ 2026

文献检索

告别复杂PubMed语法,用中文像聊天一样搜索,搜遍4000万医学文献。AI智能推荐,让科研检索更轻松。

立即免费搜索

文件翻译

保留排版,准确专业,支持PDF/Word/PPT等文件格式,支持 12+语言互译。

免费翻译文档

深度研究

AI帮你快速写综述,25分钟生成高质量综述,智能提取关键信息,辅助科研写作。

立即免费体验

改良电抽搐治疗对老年难治性抑郁症患者血清皮质醇、nesfatin-1 和促炎细胞因子水平的影响。

Effects of Modified Electroconvulsive Therapy on Serum Cortisol, Nesfatin-1, and Pro-inflammatory Cytokine Levels in Elderly Patients With Treatment-Resistant Depression.

机构信息

Department of Basic and Clinical Pharmacology, Anhui Institute of Innovative Drugs, School of Pharmacy, Anhui Medical University, Hefei, China.

Affiliated Psychological Hospital of Anhui Medical University, Hefei, China.

出版信息

Front Endocrinol (Lausanne). 2022 Jun 16;13:904005. doi: 10.3389/fendo.2022.904005. eCollection 2022.

DOI:10.3389/fendo.2022.904005
PMID:35784549
原文链接:https://pmc.ncbi.nlm.nih.gov/articles/PMC9243445/
Abstract

AIM

Modified electroconvulsive therapy (MECT) is an effective strategy for treatment-resistant depression (TRD); however, the mechanism underlying effects of MECT remains unclear. Accumulating evidence suggests that TRD is closely associated with dysfunction of the hypothalamic-pituitary-adrenal (HPA) axis, anorexigenic peptides, and pro-inflammatory cytokines. However, MECT effects on the HPA axis, anorexigenic peptides, and pro-inflammatory cytokines in elderly patients with TRD remain unclear. In this study, we investigated whether the HPA axis (cortisol), anorexigenic peptides (nesfatin-1), and pro-inflammatory cytokines (C-reactive protein, tumor necrosis factor-α, and interleukin-6, and interleukin-1β) are involved in the mechanism underlying MECT effects in elderly patients with TRD.

METHODS

Elderly patients with TRD were enrolled in this study between December 2019 and October 2021; all patients underwent MECT after physical examination. Serum cortisol, nesfatin-1, and pro-inflammatory cytokine levels were measured before and after the first, third, and sixth MECT sessions. The Hamilton Depression Rating Scale-24 (HAMD-24) and the Mini-Mental State Examination (MMSE) were used to evaluate depression and cognitive impairment, respectively. We compared pre- and post-MECT serum cortisol, nesfatin-1, and pro-inflammatory cytokine levels to confirm the short-term effects of MECT on these serum indices. We compared these serum indices across three time points (before the first, third, and sixth MECT sessions) to determine the long-term effects of MECT on serum cortisol, nesfatin-1, and pro-inflammatory cytokine levels.

RESULTS

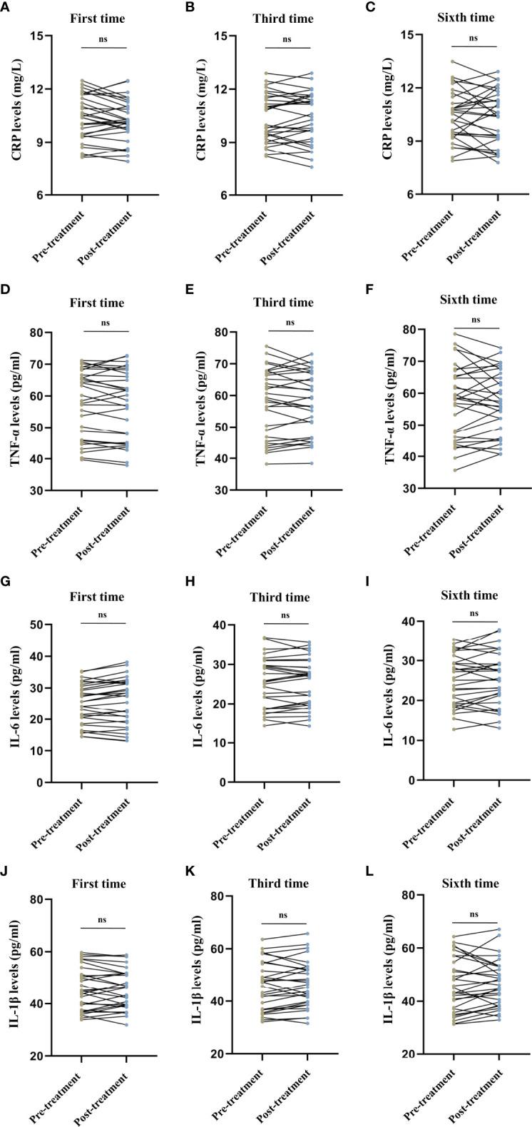
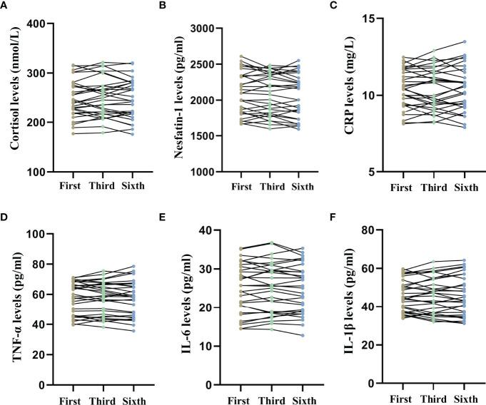
We observed no statistically significant changes in the pre- and post-MECT serum cortisol, nesfatin-1, or pro-inflammatory cytokine levels. No significant changes in serum cortisol, nesfatin-1, and pro-inflammatory cytokine levels were observed across the aforementioned time points. Moreover, there were no statistically significant sex-based differences in the aforementioned serum indices. Furthermore, the serum cortisol level was negatively correlated with the serum IL-6 level before and after the first MECT session in patients with high cortisol levels (> the 50 percentile value of all samples). Additionally, the post-MECT HAMD-24 and MMSE scores were significantly lower.

CONCLUSIONS

MECT reduced depressive symptoms despite an adverse effect on cognition and had no significant effect on the serum cortisol, nesfatin-1, and pro-inflammatory cytokine levels in elderly patients with TRD.

摘要

目的

改良电抽搐治疗(MECT)是治疗抵抗性抑郁症(TRD)的有效策略;然而,MECT 效果的机制仍不清楚。越来越多的证据表明,TRD 与下丘脑-垂体-肾上腺(HPA)轴、厌食肽和促炎细胞因子的功能障碍密切相关。然而,MECT 对老年 TRD 患者 HPA 轴、厌食肽和促炎细胞因子的影响尚不清楚。在这项研究中,我们调查了 HPA 轴(皮质醇)、厌食肽(nesfatin-1)和促炎细胞因子(C 反应蛋白、肿瘤坏死因子-α、白细胞介素-6 和白细胞介素-1β)是否参与老年 TRD 患者 MECT 效果的机制。

方法

本研究纳入了 2019 年 12 月至 2021 年 10 月期间接受检查的老年 TRD 患者;所有患者在体检后均接受 MECT 治疗。在第一次、第三次和第六次 MECT 治疗前后测量血清皮质醇、nesfatin-1 和促炎细胞因子水平。采用汉密尔顿抑郁量表-24 项(HAMD-24)和简易精神状态检查(MMSE)分别评估抑郁和认知障碍。我们比较了 MECT 前后的血清皮质醇、nesfatin-1 和促炎细胞因子水平,以证实 MECT 对这些血清指标的短期影响。我们比较了这三个时间点(第一次、第三次和第六次 MECT 治疗前)的这些血清指标,以确定 MECT 对血清皮质醇、nesfatin-1 和促炎细胞因子水平的长期影响。

结果

我们没有观察到 MECT 前后血清皮质醇、nesfatin-1 或促炎细胞因子水平的统计学显著变化。在上述时间点,血清皮质醇、nesfatin-1 和促炎细胞因子水平均无显著变化。此外,在上述血清指标方面,性别之间无统计学显著差异。此外,在皮质醇水平较高(>所有样本 50%分位值)的患者中,第一次 MECT 前后血清 IL-6 水平与皮质醇水平呈负相关。此外,MECT 后汉密尔顿抑郁量表-24 项和简易精神状态检查评分显著降低。

结论

MECT 降低了抑郁症状,尽管对认知有不良影响,但对老年 TRD 患者的血清皮质醇、nesfatin-1 和促炎细胞因子水平没有显著影响。

https://cdn.ncbi.nlm.nih.gov/pmc/blobs/abc4/9243445/9ce8c83b5e84/fendo-13-904005-g006.jpg
https://cdn.ncbi.nlm.nih.gov/pmc/blobs/abc4/9243445/ebf98a0b9ec2/fendo-13-904005-g001.jpg
https://cdn.ncbi.nlm.nih.gov/pmc/blobs/abc4/9243445/57a301094ccb/fendo-13-904005-g002.jpg
https://cdn.ncbi.nlm.nih.gov/pmc/blobs/abc4/9243445/12fe0be13638/fendo-13-904005-g003.jpg
https://cdn.ncbi.nlm.nih.gov/pmc/blobs/abc4/9243445/fba32c303862/fendo-13-904005-g004.jpg
https://cdn.ncbi.nlm.nih.gov/pmc/blobs/abc4/9243445/79d6997d74aa/fendo-13-904005-g005.jpg
https://cdn.ncbi.nlm.nih.gov/pmc/blobs/abc4/9243445/9ce8c83b5e84/fendo-13-904005-g006.jpg
https://cdn.ncbi.nlm.nih.gov/pmc/blobs/abc4/9243445/ebf98a0b9ec2/fendo-13-904005-g001.jpg
https://cdn.ncbi.nlm.nih.gov/pmc/blobs/abc4/9243445/57a301094ccb/fendo-13-904005-g002.jpg
https://cdn.ncbi.nlm.nih.gov/pmc/blobs/abc4/9243445/12fe0be13638/fendo-13-904005-g003.jpg
https://cdn.ncbi.nlm.nih.gov/pmc/blobs/abc4/9243445/fba32c303862/fendo-13-904005-g004.jpg
https://cdn.ncbi.nlm.nih.gov/pmc/blobs/abc4/9243445/79d6997d74aa/fendo-13-904005-g005.jpg
https://cdn.ncbi.nlm.nih.gov/pmc/blobs/abc4/9243445/9ce8c83b5e84/fendo-13-904005-g006.jpg

相似文献

1
Effects of Modified Electroconvulsive Therapy on Serum Cortisol, Nesfatin-1, and Pro-inflammatory Cytokine Levels in Elderly Patients With Treatment-Resistant Depression.改良电抽搐治疗对老年难治性抑郁症患者血清皮质醇、nesfatin-1 和促炎细胞因子水平的影响。
Front Endocrinol (Lausanne). 2022 Jun 16;13:904005. doi: 10.3389/fendo.2022.904005. eCollection 2022.
2
Serum Cortisol, Nesfatin-1, and IL-1β: Potential Diagnostic Biomarkers in Elderly Patients with Treatment-Resistant Depression.血清皮质醇、nesfatin-1 和白细胞介素-1β:治疗抵抗性老年抑郁症患者的潜在诊断生物标志物。
Clin Interv Aging. 2022 Apr 21;17:567-576. doi: 10.2147/CIA.S361459. eCollection 2022.
3
Inflammatory cytokines derived from peripheral blood contribute to the modified electroconvulsive therapy-induced cognitive deficits in major depressive disorder.外周血中的炎症细胞因子导致了重性抑郁障碍改良电抽搐治疗后认知功能的损伤。
Eur Arch Psychiatry Clin Neurosci. 2021 Apr;271(3):475-485. doi: 10.1007/s00406-020-01128-9. Epub 2020 May 2.
4
Comparative Efficacy of Augmenting Escitalopram with Modified Electroconvulsive Therapy or High-Frequency Repetitive Transcranial Magnetic Stimulation on Depressive Symptoms, Quality of Life, and Cognitive Function in Treatment-Resistant Depression.在治疗抵抗性抑郁症中,增强依地普仑与改良电惊厥疗法或高频重复经颅磁刺激对抑郁症状、生活质量和认知功能的疗效比较。
Tohoku J Exp Med. 2024 Mar 16;262(3):191-199. doi: 10.1620/tjem.2023.J103. Epub 2023 Dec 28.
5
[Study on the correlation between the inflammatory factors in the serum and the induced sputum and the hypothalamic-pituitary-adrenal axis function in advanced lung adenocarcinoma of different syndromes].[不同证型晚期肺腺癌患者血清与诱导痰炎症因子及下丘脑-垂体-肾上腺轴功能的相关性研究]
Zhongguo Zhong Xi Yi Jie He Za Zhi. 2012 Jul;32(7):896-901.
6
Psychological and physiological effects of caring for patients with treatment-resistant depression.治疗抵抗性抑郁症患者的心理和生理影响。
Psychol Med. 2012 Sep;42(9):1825-33. doi: 10.1017/S0033291711003035. Epub 2012 Jan 17.
7
Stress-induced pro- and anti-inflammatory cytokine concentrations in panic disorder patients.惊恐障碍患者应激诱导的促炎和抗炎细胞因子浓度。
Psychoneuroendocrinology. 2018 Aug;94:31-37. doi: 10.1016/j.psyneuen.2018.05.005. Epub 2018 May 4.
8
Estrogen alters baseline and inflammatory-induced cytokine levels independent from hypothalamic-pituitary-adrenal axis activity.雌激素改变基线水平和炎症诱导的细胞因子水平,且独立于下丘脑-垂体-肾上腺轴的活动。
Cytokine. 2015 Apr;72(2):121-9. doi: 10.1016/j.cyto.2015.01.007. Epub 2015 Jan 31.
9
Negative correlation between IL-1β, IL-12 and TNF-γ, and cortisol levels in patients with panic disorder.在惊恐障碍患者中,IL-1β、IL-12 和 TNF-γ与皮质醇水平呈负相关。
Brain Behav. 2022 Jun;12(6):e2624. doi: 10.1002/brb3.2624. Epub 2022 May 19.
10
Inflammatory cytokines, cortisol, and anhedonia in patients with treatment-resistant depression after consecutive infusions of low-dose esketamine.连续输注低剂量艾氯胺酮后难治性抑郁症患者的炎性细胞因子、皮质醇和快感缺失
Eur Arch Psychiatry Clin Neurosci. 2024 Sep 28. doi: 10.1007/s00406-024-01913-w.

引用本文的文献

1
Effectiveness of propofol in anesthetic management and cognitive function in schizophrenic patients undergoing convulsion-free modified electroconvulsive therapy.丙泊酚在精神分裂症患者无抽搐改良电休克治疗中麻醉管理及认知功能方面的有效性。
Am J Transl Res. 2024 Aug 15;16(8):3787-3793. doi: 10.62347/OXMW8152. eCollection 2024.

本文引用的文献

1
The Prevalence and National Burden of Treatment-Resistant Depression and Major Depressive Disorder in the United States.美国治疗抵抗性抑郁症和重度抑郁症的患病率和国家负担。
J Clin Psychiatry. 2021 Mar 16;82(2):20m13699. doi: 10.4088/JCP.20m13699.
2
Major Depressive Disorder in Older Patients as an Inflammatory Disorder: Implications for the Pharmacological Management of Geriatric Depression.老年患者的重度抑郁症:炎症障碍的意义及其对老年抑郁症药理学治疗的影响。
Drugs Aging. 2021 Jun;38(6):451-467. doi: 10.1007/s40266-021-00858-2. Epub 2021 Apr 29.
3
Treatment-Resistant Depression Revisited: A Glimmer of Hope.
再探难治性抑郁症:一丝希望之光。
J Pers Med. 2021 Feb 23;11(2):155. doi: 10.3390/jpm11020155.
4
Cytokines changes associated with electroconvulsive therapy in patients with treatment-resistant depression: a Meta-analysis.与电休克治疗治疗抵抗性抑郁症患者相关的细胞因子变化:一项荟萃分析。
Psychiatry Res. 2021 Mar;297:113735. doi: 10.1016/j.psychres.2021.113735. Epub 2021 Jan 16.
5
Burden of Treatment Resistant Depression (TRD) in patients with major depressive disorder in Ontario using Institute for Clinical Evaluative Sciences (ICES) databases: Economic burden and healthcare resource utilization.安大略省使用安大略省临床评估科学研究所 (ICES) 数据库的重性抑郁障碍 (TRD) 患者的治疗抵抗性抑郁症 (TRD) 负担:经济负担和医疗资源利用。
J Affect Disord. 2020 Dec 1;277:30-38. doi: 10.1016/j.jad.2020.07.045. Epub 2020 Jul 28.
6
Hair cortisol in patients with a depressive episode treated with electroconvulsive therapy.电抽搐治疗抑郁发作患者的头发皮质醇。
J Affect Disord. 2020 Sep 1;274:784-791. doi: 10.1016/j.jad.2020.05.042. Epub 2020 May 28.
7
Differential Effects of Electroconvulsive Therapy in the Treatment of Major Depressive Disorder.电抽搐治疗对治疗重度抑郁症的差异影响。
Neuropsychobiology. 2020;79(6):408-416. doi: 10.1159/000505553. Epub 2020 Apr 28.
8
Prevalence of mental disorders in China: a cross-sectional epidemiological study.中国精神障碍的患病率:一项横断面流行病学研究。
Lancet Psychiatry. 2019 Mar;6(3):211-224. doi: 10.1016/S2215-0366(18)30511-X. Epub 2019 Feb 18.
9
Augmentation therapies for treatment-resistant depression: systematic review and meta-analysis.治疗抵抗性抑郁症的增强治疗:系统评价和荟萃分析。
Br J Psychiatry. 2019 Jan;214(1):42-51. doi: 10.1192/bjp.2018.233. Epub 2018 Nov 20.
10
Nesfatin-1 and cortisol: potential novel diagnostic biomarkers in moderate and severe depressive disorder.Nesfatin-1与皮质醇:中度及重度抑郁症潜在的新型诊断生物标志物
Psychol Res Behav Manag. 2018 Oct 16;11:495-502. doi: 10.2147/PRBM.S183126. eCollection 2018.