Suppr超能文献

用于同时测定对苯二酚和邻苯二酚的铜-四羧基苯基卟啉纳米片敏化电极

Cu-TCPP Nanosheets-Sensitized Electrode for Simultaneous Determination of Hydroquinone and Catechol.

作者信息

Ji Liudi, Wang Qi, Peng Lianhui, Li Xiaoyu, Zhu Xiaoming, Hu Peng

机构信息

Hubei Key Laboratory of Radiation Chemistry and Functional Materials, School of Nuclear Technology and Chemistry & Biology, Hubei University of Science and Technology, Xianning 437100, China.

School of Electronic and Electrical Engineering, Hubei Province Engineering Research Center for Intelligent Micro-Nano Medical Equipment and Key Technologies, Wuhan Textile University, Wuhan 430200, China.

出版信息

Materials (Basel). 2022 Jun 30;15(13):4625. doi: 10.3390/ma15134625.

Abstract

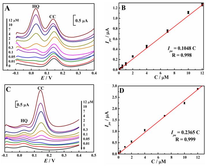
It is quite important to develop sensitive, simple, and convenient methods for the simultaneous determination of Hydroquinone (HQ) and Catechol (CC) due to their wide existence, the difficulty of degradation, and the high toxicity. Herein, Cu-TCPP nanosheets were prepared in ,-dimethylformamide (DMF) through the solvent exfoliation method. The morphology and electrochemical performance of Cu-TCPP were characterized, revealing its stacked sheet structure with abundant pores, a fast electron transfer ability, and a large electrode active area. Using Cu-TCPP nanosheets as the sensitive material to modify the glassy carbon electrodes (Cu-TCPP/GCEs), it was found that they had an obvious enhancement effect on the electrochemical oxidation currents of HQ and CC. The signal enhancement mechanism was explored. The Cu-TCPP nanosheets not only enhanced the accumulation abilities of HQ and CC, but also improved their apparent catalytic rate, displaying high sensitivity for HQ and CC. The values of the detection limit were calculated to be 3.4 and 2.3 nM for HQ and CC. A satisfactory recovery was obtained when this method was used in measuring HQ and CC in the water samples.

摘要

由于对苯二酚(HQ)和邻苯二酚(CC)广泛存在、降解困难且毒性高,因此开发灵敏、简单且便捷的同时测定它们的方法非常重要。在此,通过溶剂剥离法在N,N-二甲基甲酰胺(DMF)中制备了Cu-TCPP纳米片。对Cu-TCPP的形貌和电化学性能进行了表征,揭示了其具有丰富孔隙的堆叠片状结构、快速的电子转移能力和较大的电极活性面积。使用Cu-TCPP纳米片作为敏感材料修饰玻碳电极(Cu-TCPP/GCEs),发现它们对HQ和CC的电化学氧化电流有明显的增强作用。探讨了信号增强机制。Cu-TCPP纳米片不仅增强了HQ和CC的富集能力,还提高了它们的表观催化速率,对HQ和CC表现出高灵敏度。计算得出HQ和CC的检测限分别为3.4和2.3 nM。该方法用于测定水样中的HQ和CC时,获得了令人满意的回收率。

https://cdn.ncbi.nlm.nih.gov/pmc/blobs/f836/9267553/6a82ccb9523a/materials-15-04625-g001.jpg

文献AI研究员

20分钟写一篇综述,助力文献阅读效率提升50倍。

立即体验

用中文搜PubMed

大模型驱动的PubMed中文搜索引擎

马上搜索

文档翻译

学术文献翻译模型,支持多种主流文档格式。

立即体验