• 文献检索
  • 文档翻译
  • 深度研究
  • 学术资讯
  • Suppr Zotero 插件Zotero 插件
  • 邀请有礼
  • 套餐&价格
  • 历史记录
应用&插件
Suppr Zotero 插件Zotero 插件浏览器插件Mac 客户端Windows 客户端微信小程序
定价
高级版会员购买积分包购买API积分包
服务
文献检索文档翻译深度研究API 文档MCP 服务
关于我们
关于 Suppr公司介绍联系我们用户协议隐私条款
关注我们

Suppr 超能文献

核心技术专利:CN118964589B侵权必究
粤ICP备2023148730 号-1Suppr @ 2026

文献检索

告别复杂PubMed语法,用中文像聊天一样搜索,搜遍4000万医学文献。AI智能推荐,让科研检索更轻松。

立即免费搜索

文件翻译

保留排版,准确专业,支持PDF/Word/PPT等文件格式,支持 12+语言互译。

免费翻译文档

深度研究

AI帮你快速写综述,25分钟生成高质量综述,智能提取关键信息,辅助科研写作。

立即免费体验

长期卧床休息导致的心脏机械性失健,通过心震图形态学观察到。

Mechanical deconditioning of the heart due to long-term bed rest as observed on seismocardiogram morphology.

作者信息

Hoffmann Bradley, Dehkordi Parastoo, Khosrow-Khavar Farzad, Goswami Nandu, Blaber Andrew P, Tavakolian Kouhyar

机构信息

University of North Dakota School of Electrical Engineering & Computer Science, Grand Forks, ND, USA.

Heart Force Medical Inc, Vancouver, Canada.

出版信息

NPJ Microgravity. 2022 Jul 12;8(1):25. doi: 10.1038/s41526-022-00206-7.

DOI:10.1038/s41526-022-00206-7
PMID:35821029
原文链接:https://pmc.ncbi.nlm.nih.gov/articles/PMC9276739/
Abstract

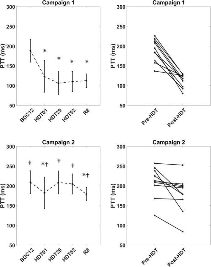
During head-down tilt bed rest (HDT) the cardiovascular system is subject to headward fluid shifts. The fluid shift phenomenon is analogous to weightlessness experienced during spaceflight microgravity. The purpose of this study was to investigate the effect of prolonged 60-day bed rest on the mechanical performance of the heart using the morphology of seismocardiography (SCG). Three-lead electrocardiogram (ECG), SCG and blood pressure recordings were collected simultaneously from 20 males in a 60-day HDT study (MEDES, Toulouse, France). The study was divided into two campaigns of ten participants. The first commenced in January, and the second in September. Signals were recorded in the supine position during the baseline data collection (BDC) before bed rest, during 6° HDT bed rest and during recovery (R), post-bed rest. Using SCG and blood pressure at the finger, the following were determined: Pulse Transit Time (PTT); and left-ventricular ejection time (LVET). SCG morphology was analyzed using functional data analysis (FDA). The coefficients of the model were estimated over 20 cycles of SCG recordings of BDC12 and HDT52. SCG fiducial morphology AO (aortic valve opening) and AC (aortic valve closing) amplitudes showed significant decrease between BDC12 and HDT52 (p < 0.03). PTT and LVET were also found to decrease through HDT bed rest (p < 0.01). Furthermore, PTT and LVET magnitude of response to bed rest was found to be different between campaigns (p < 0.001) possibly due to seasonal effects on of the cardiovascular system. Correlations between FDA and cardiac timing intervals PTT and LVET using SCG suggests decreases in mechanical strength of the heart and increased arterial stiffness due to fluid shifts associated with the prolonged bed rest.

摘要

在头低位卧床休息(HDT)期间,心血管系统会出现体液向上转移。这种体液转移现象类似于太空飞行微重力期间所经历的失重状态。本研究的目的是利用心震图(SCG)的形态来研究为期60天的长期卧床休息对心脏机械性能的影响。在一项为期60天的HDT研究(法国图卢兹的MEDES)中,同时收集了20名男性的三导联心电图(ECG)、SCG和血压记录。该研究分为两个阶段,每个阶段有10名参与者。第一阶段于1月开始,第二阶段于9月开始。在卧床休息前的基线数据收集(BDC)期间、6°HDT卧床休息期间以及卧床休息后的恢复(R)期间,均在仰卧位记录信号。利用SCG和手指处的血压,测定了以下指标:脉搏传输时间(PTT)和左心室射血时间(LVET)。使用功能数据分析(FDA)对SCG形态进行分析。在BDC12和HDT52的SCG记录的20个周期内估计模型系数。SCG基准形态AO(主动脉瓣开放)和AC(主动脉瓣关闭)振幅在BDC12和HDT52之间显著降低(p<0.03)。还发现PTT和LVET在HDT卧床休息期间降低(p<0.01)。此外,发现两个阶段之间卧床休息的PTT和LVET反应幅度不同(p<0.001),这可能是由于心血管系统的季节效应。使用SCG的FDA与心脏定时间隔PTT和LVET之间的相关性表明,由于长期卧床休息相关的体液转移,心脏机械强度降低,动脉僵硬度增加。

https://cdn.ncbi.nlm.nih.gov/pmc/blobs/86ee/9276739/3b888a05c1e8/41526_2022_206_Fig5_HTML.jpg
https://cdn.ncbi.nlm.nih.gov/pmc/blobs/86ee/9276739/7b00ea67696b/41526_2022_206_Fig1_HTML.jpg
https://cdn.ncbi.nlm.nih.gov/pmc/blobs/86ee/9276739/829e74de1e8e/41526_2022_206_Fig2_HTML.jpg
https://cdn.ncbi.nlm.nih.gov/pmc/blobs/86ee/9276739/a1665c729417/41526_2022_206_Fig3_HTML.jpg
https://cdn.ncbi.nlm.nih.gov/pmc/blobs/86ee/9276739/92beea260bef/41526_2022_206_Fig4_HTML.jpg
https://cdn.ncbi.nlm.nih.gov/pmc/blobs/86ee/9276739/3b888a05c1e8/41526_2022_206_Fig5_HTML.jpg
https://cdn.ncbi.nlm.nih.gov/pmc/blobs/86ee/9276739/7b00ea67696b/41526_2022_206_Fig1_HTML.jpg
https://cdn.ncbi.nlm.nih.gov/pmc/blobs/86ee/9276739/829e74de1e8e/41526_2022_206_Fig2_HTML.jpg
https://cdn.ncbi.nlm.nih.gov/pmc/blobs/86ee/9276739/a1665c729417/41526_2022_206_Fig3_HTML.jpg
https://cdn.ncbi.nlm.nih.gov/pmc/blobs/86ee/9276739/92beea260bef/41526_2022_206_Fig4_HTML.jpg
https://cdn.ncbi.nlm.nih.gov/pmc/blobs/86ee/9276739/3b888a05c1e8/41526_2022_206_Fig5_HTML.jpg

相似文献

1
Mechanical deconditioning of the heart due to long-term bed rest as observed on seismocardiogram morphology.长期卧床休息导致的心脏机械性失健,通过心震图形态学观察到。
NPJ Microgravity. 2022 Jul 12;8(1):25. doi: 10.1038/s41526-022-00206-7.
2
A comparison between left ventricular ejection time measurement methods during physiological changes induced by simulated microgravity.模拟微重力引起的生理变化期间左心室射血时间测量方法的比较。
Exp Physiol. 2022 Mar;107(3):213-221. doi: 10.1113/EP090103. Epub 2022 Jan 24.
3
Wearable seismocardiography: towards a beat-by-beat assessment of cardiac mechanics in ambulant subjects.可穿戴式心震图学:实现对活动主体的心动周期心脏力学的逐拍评估。
Auton Neurosci. 2013 Nov;178(1-2):50-9. doi: 10.1016/j.autneu.2013.04.005. Epub 2013 May 9.
4
High-Intensity Exercise Mitigates Cardiovascular Deconditioning During Long-Duration Bed Rest.高强度运动可减轻长期卧床休息期间的心血管功能失调。
Front Physiol. 2018 Nov 19;9:1553. doi: 10.3389/fphys.2018.01553. eCollection 2018.
5
Effect of lower body negative pressure on orthostatic tolerance and cardiac function during 21 days head-down tilt bed rest.下体负压对21天头低位卧床休息期间直立耐力和心脏功能的影响。
J Gravit Physiol. 2003 Dec;10(2):11-7.
6
Analysis of changes in cardiac circadian rhythms of RR and QT induced by a 60-day head-down bed rest with and without nutritional countermeasure.分析 60 天头低位卧床休息和营养对抗措施对 RR 和 QT 心节律昼夜变化的影响。
Eur J Appl Physiol. 2020 Jul;120(7):1699-1710. doi: 10.1007/s00421-020-04404-7. Epub 2020 Jun 3.
7
Beat-to-beat estimation of LVET and QS2 indices of cardiac mechanics from wearable seismocardiography in ambulant subjects.通过可穿戴式心震图对流动受试者心脏力学的左室射血时间(LVET)和QS2指数进行逐搏估计。
Annu Int Conf IEEE Eng Med Biol Soc. 2013;2013:7017-20. doi: 10.1109/EMBC.2013.6611173.
8
Evaluation of Cardiac Circadian Rhythm Deconditioning Induced by 5-to-60 Days of Head-Down Bed Rest.头低位卧床休息5至60天引起的心脏昼夜节律失调的评估。
Front Physiol. 2021 Jan 13;11:612188. doi: 10.3389/fphys.2020.612188. eCollection 2020.
9
[Effects of lower body negative pressure in the first and last week during 21 d head-down bed rest on orthostatic tolerance and cardiac function].[21天头低位卧床休息期间第一周和最后一周下体负压对直立耐力和心脏功能的影响]
Space Med Med Eng (Beijing). 2002 Apr;15(2):84-8.
10
Daily generation of a footward fluid shift attenuates ocular changes associated with head-down tilt bed rest.每日足部流体移位可减轻与头低位卧床休息相关的眼部变化。
J Appl Physiol (1985). 2020 Nov 1;129(5):1220-1231. doi: 10.1152/japplphysiol.00250.2020. Epub 2020 Sep 17.

引用本文的文献

1
Computational Modeling of Cardiovascular-Induced Chest Vibrations: A Review and Practical Guide for Seismocardiography Simulation.心血管诱导胸部振动的计算建模:心震图模拟的综述与实践指南
Int J Numer Method Biomed Eng. 2025 May;41(5):e70047. doi: 10.1002/cnm.70047.
2
Deep learning based screening model for hip diseases on plain radiographs.基于深度学习的髋关节疾病X线平片筛查模型
PLoS One. 2025 Feb 13;20(2):e0318022. doi: 10.1371/journal.pone.0318022. eCollection 2025.
3
Sex-specific cardiovascular adaptations to simulated microgravity in Sprague-Dawley rats.

本文引用的文献

1
Cardiac adaptations to 60 day head-down-tilt bed rest deconditioning. Findings from the AGBRESA study.心脏对60天头低位卧床休息去适应不良的适应性变化。AGBRESA研究的结果。
ESC Heart Fail. 2021 Feb;8(1):729-744. doi: 10.1002/ehf2.13103. Epub 2020 Nov 15.
2
Cardiovascular adaptation to simulated microgravity and countermeasure efficacy assessed by ballistocardiography and seismocardiography.通过心冲击图和心震图评估心血管对模拟微重力的适应性及对策效果。
Sci Rep. 2020 Oct 19;10(1):17694. doi: 10.1038/s41598-020-74150-5.
3
Cardio-postural interactions and muscle-pump baroreflex are severely impacted by 60-day bedrest immobilization.
性特异性心血管对Sprague-Dawley大鼠模拟微重力的适应性变化
NPJ Microgravity. 2024 Dec 19;10(1):110. doi: 10.1038/s41526-024-00450-z.
4
Retinal blood vessel diameter changes with 60-day head-down bedrest are unaffected by antioxidant nutritional cocktail.60天头低位卧床休息引起的视网膜血管直径变化不受抗氧化营养合剂的影响。
NPJ Microgravity. 2024 Nov 15;10(1):105. doi: 10.1038/s41526-024-00443-y.
5
Non-contact assessment of cardiac physiology using FO-MVSS-based ballistocardiography: a promising approach for heart failure evaluation.基于 FO-MVSS 的冲击波心冲击图的非接触式心脏生理评估:心力衰竭评估的一种有前途的方法。
Sci Rep. 2024 Feb 8;14(1):3269. doi: 10.1038/s41598-024-53464-8.
6
The impact of 60 days of -6° head down tilt bed rest on mitochondrial content, respiration and regulators of mitochondrial dynamics.60天-6°头低位卧床休息对线粒体含量、呼吸及线粒体动力学调节因子的影响
J Physiol. 2023 Dec 4. doi: 10.1113/JP284734.
7
Environmental enrichment through virtual reality as multisensory stimulation to mitigate the negative effects of prolonged bed rest.通过虚拟现实进行环境丰富化,作为多感官刺激以减轻长期卧床休息的负面影响。
Front Aging Neurosci. 2023 Aug 22;15:1169683. doi: 10.3389/fnagi.2023.1169683. eCollection 2023.
8
Cardiomyocyte external mechanical unloading activates modifications of α-actinin differently from sarcomere-originated unloading.心肌细胞外部机械卸载激活α-辅肌动蛋白的修饰不同于来源于肌节的卸载。
FEBS J. 2023 Nov;290(22):5322-5339. doi: 10.1111/febs.16925. Epub 2023 Aug 17.
9
Cardiovascular deconditioning and impact of artificial gravity during 60-day head-down bed rest-Insights from 4D flow cardiac MRI.60天头低位卧床休息期间心血管功能失调及人工重力的影响——来自4D流心脏磁共振成像的见解
Front Physiol. 2022 Oct 7;13:944587. doi: 10.3389/fphys.2022.944587. eCollection 2022.
体位变化相关的心血管反射和肌肉泵的压力感受性反射会因 60 天卧床制动而受到严重影响。
Sci Rep. 2020 Jul 21;10(1):12042. doi: 10.1038/s41598-020-68962-8.
4
Adaptation of the cardiovascular system to weightlessness: Surprises, paradoxes and implications for deep space missions.心血管系统对失重的适应:惊喜、悖论及其对深空任务的影响。
Acta Physiol (Oxf). 2020 Mar;228(3):e13434. doi: 10.1111/apha.13434. Epub 2020 Jan 13.
5
Comparison of Different Methods for Estimating Cardiac Timings: A Comprehensive Multimodal Echocardiography Investigation.不同心脏计时估算方法的比较:一项综合性多模态超声心动图研究。
Front Physiol. 2019 Aug 22;10:1057. doi: 10.3389/fphys.2019.01057. eCollection 2019.
6
The effects of varying gravito-inertial stressors on grip strength and hemodynamic responses in men and women.不同重向惯性力刺激对男女握力和血液动力学反应的影响。
Eur J Appl Physiol. 2019 Apr;119(4):951-960. doi: 10.1007/s00421-019-04084-y. Epub 2019 Feb 7.
7
Lower Body Negative Pressure: Physiological Effects, Applications, and Implementation.下体负压:生理效应、应用及实施。
Physiol Rev. 2019 Jan 1;99(1):807-851. doi: 10.1152/physrev.00006.2018.
8
Definition of Fiducial Points in the Normal Seismocardiogram.正常地震心动图中基准点的定义。
Sci Rep. 2018 Oct 18;8(1):15455. doi: 10.1038/s41598-018-33675-6.
9
Artificial Gravity as a Countermeasure to the Cardiovascular Deconditioning of Spaceflight: Gender Perspectives.人工重力作为对抗航天飞行中心血管功能失调的对策:性别视角
Front Physiol. 2018 Jul 6;9:716. doi: 10.3389/fphys.2018.00716. eCollection 2018.
10
Comparison of Autonomic Control of Blood Pressure During Standing and Artificial Gravity Induced via Short-Arm Human Centrifuge.站立时与通过短臂人体离心机诱导的人工重力期间血压自主控制的比较。
Front Physiol. 2018 Jun 25;9:712. doi: 10.3389/fphys.2018.00712. eCollection 2018.