• 文献检索
  • 文档翻译
  • 深度研究
  • 学术资讯
  • Suppr Zotero 插件Zotero 插件
  • 邀请有礼
  • 套餐&价格
  • 历史记录
应用&插件
Suppr Zotero 插件Zotero 插件浏览器插件Mac 客户端Windows 客户端微信小程序
定价
高级版会员购买积分包购买API积分包
服务
文献检索文档翻译深度研究API 文档MCP 服务
关于我们
关于 Suppr公司介绍联系我们用户协议隐私条款
关注我们

Suppr 超能文献

核心技术专利:CN118964589B侵权必究
粤ICP备2023148730 号-1Suppr @ 2026

文献检索

告别复杂PubMed语法,用中文像聊天一样搜索,搜遍4000万医学文献。AI智能推荐,让科研检索更轻松。

立即免费搜索

文件翻译

保留排版,准确专业,支持PDF/Word/PPT等文件格式,支持 12+语言互译。

免费翻译文档

深度研究

AI帮你快速写综述,25分钟生成高质量综述,智能提取关键信息,辅助科研写作。

立即免费体验

深海热液喷口蟹超耐甲的特殊性质。

Exceptional properties of hyper-resistant armor of a hydrothermal vent crab.

机构信息

Program in Biomedical Science and Engineering, Inha-ro, Michuhol-gu, Incheon, 22212, Republic of Korea.

Department of Ocean Sciences, Inha University, 100 Inha-ro, Michuhol-gu, Incheon, 22212, Republic of Korea.

出版信息

Sci Rep. 2022 Jul 12;12(1):11816. doi: 10.1038/s41598-022-15982-1.

DOI:10.1038/s41598-022-15982-1
PMID:35821397
原文链接:https://pmc.ncbi.nlm.nih.gov/articles/PMC9276715/
Abstract

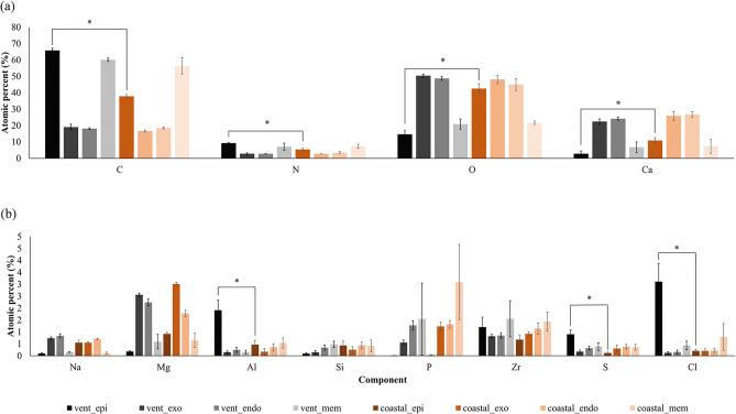
Animals living in extreme environments, such as hydrothermal vents, would be expected to have evolved protective shells or exoskeletons to maintain homeostasis. The outer part of the exoskeleton of vent crabs (Austinograea sp.) in the Indian Ocean hydrothermal vent was one of the hardest (approximately 7 GPa) biological materials ever reported. To explore the exoskeletal characteristics of vent crabs which enable them to adapt to severe environments, a comparative analysis was conducted with the Asian paddle crab (Charybdis japonica) living in coastal areas. Nanoindentation, thermogravimetric analysis, scanning electron microscopy, energy dispersive x-ray analysis, and Raman spectroscopy were used to analyze the mechanical properties, thermal stability, structure, surface components, and the composition of compounds, respectively. Though both species have four-layered exoskeletons, the outermost layer of the vent crab, a nano-granular structure, was much thicker than that of the coastal crab. The proportions of aluminum and sulfur that constitute the epicuticle of the exoskeleton were higher in the vent crab than in the coastal crab. There was a lack of water or volatile substances, lots of CaCO, and no carotenoid-based compounds in the exoskeleton of the vent crab. These might have improved the mechanical properties and thermal stability of the hydrothermal species.

摘要

生活在极端环境中的动物,如热液喷口,预计会进化出保护性的外壳或外骨骼来维持体内平衡。印度洋热液喷口的管足蟹(Austinograea sp.)的外骨骼外层是迄今为止报道的最坚硬的生物材料之一(约 7 GPa)。为了探究使管足蟹适应恶劣环境的外骨骼特征,对生活在沿海地区的亚洲招潮蟹(Charybdis japonica)进行了比较分析。采用纳米压痕、热重分析、扫描电子显微镜、能谱分析和拉曼光谱分别分析了机械性能、热稳定性、结构、表面成分和化合物组成。尽管这两个物种都有四层外骨骼,但热液喷口蟹的最外层是纳米颗粒结构,比沿海蟹的外骨骼要厚得多。热液喷口蟹外骨骼的表皮中铝和硫的比例高于沿海蟹。热液喷口蟹的外骨骼中缺乏水或挥发性物质、大量的 CaCO 和不含类胡萝卜素的化合物。这些可能提高了热液物种的机械性能和热稳定性。

https://cdn.ncbi.nlm.nih.gov/pmc/blobs/3402/9276715/d52dcc57e4ed/41598_2022_15982_Fig4_HTML.jpg
https://cdn.ncbi.nlm.nih.gov/pmc/blobs/3402/9276715/e70a0f540f6f/41598_2022_15982_Fig1_HTML.jpg
https://cdn.ncbi.nlm.nih.gov/pmc/blobs/3402/9276715/19edecab7aec/41598_2022_15982_Fig2_HTML.jpg
https://cdn.ncbi.nlm.nih.gov/pmc/blobs/3402/9276715/d34c1c6b53e7/41598_2022_15982_Fig3_HTML.jpg
https://cdn.ncbi.nlm.nih.gov/pmc/blobs/3402/9276715/d52dcc57e4ed/41598_2022_15982_Fig4_HTML.jpg
https://cdn.ncbi.nlm.nih.gov/pmc/blobs/3402/9276715/e70a0f540f6f/41598_2022_15982_Fig1_HTML.jpg
https://cdn.ncbi.nlm.nih.gov/pmc/blobs/3402/9276715/19edecab7aec/41598_2022_15982_Fig2_HTML.jpg
https://cdn.ncbi.nlm.nih.gov/pmc/blobs/3402/9276715/d34c1c6b53e7/41598_2022_15982_Fig3_HTML.jpg
https://cdn.ncbi.nlm.nih.gov/pmc/blobs/3402/9276715/d52dcc57e4ed/41598_2022_15982_Fig4_HTML.jpg

相似文献

1
Exceptional properties of hyper-resistant armor of a hydrothermal vent crab.深海热液喷口蟹超耐甲的特殊性质。
Sci Rep. 2022 Jul 12;12(1):11816. doi: 10.1038/s41598-022-15982-1.
2
Unique Characteristics of the Exoskeleton of Bythograeid Crab, Austinograea rodriguezensis in the Indian Ocean Hydrothermal Vent (Onnuri Vent Field).印度洋热液喷口(Onnuri 喷口场)中 Bythograeid 蟹 Austinograea rodriguezensis 外骨骼的独特特征。
Integr Comp Biol. 2020 Jul 1;60(1):24-32. doi: 10.1093/icb/icz150.
3
Exoskeletal Trade-off between Claws and Carapace in Deep-sea Hydrothermal Vent Decapod Crustaceans.深海热液喷口十足目甲壳动物外骨骼在爪和壳之间的权衡。
Integr Comp Biol. 2024 Jul 26;64(1):80-91. doi: 10.1093/icb/icae011.
4
Diversity and characterization of bacteria associated with the deep-sea hydrothermal vent crab Austinograea sp. comparing with those of two shallow-water crabs by 16S ribosomal DNA analysis.通过16S核糖体DNA分析比较深海热液喷口蟹奥斯汀仿蟹属物种与两种浅水蟹相关细菌的多样性及特征。
PLoS One. 2017 Nov 9;12(11):e0187842. doi: 10.1371/journal.pone.0187842. eCollection 2017.
5
Are vent crab behavioral preferences adaptations for habitat choice?招潮蟹的行为偏好是对栖息地选择的适应性表现吗?
PLoS One. 2017 Sep 7;12(9):e0182649. doi: 10.1371/journal.pone.0182649. eCollection 2017.
6
Reproductive adaptations of the hydrothermal vent crab Xenograpus testudinatus: An isotopic approach.热液喷口蟹 Xenograpus testudinatus 的生殖适应:一种同位素方法。
PLoS One. 2019 Feb 7;14(2):e0211516. doi: 10.1371/journal.pone.0211516. eCollection 2019.
7
Exploring the molecular basis of adaptive evolution in hydrothermal vent crab Austinograea alayseae by transcriptome analysis.通过转录组分析探索热液喷口蟹阿氏奥氏蟹适应性进化的分子基础。
PLoS One. 2017 May 26;12(5):e0178417. doi: 10.1371/journal.pone.0178417. eCollection 2017.
8
Nuclear mitochondrial pseudogenes in Austinograea alayseae hydrothermal vent crabs (Crustacea: Bythograeidae): effects on DNA barcoding.奥斯汀叶形蟹(Austinograea alayseae)热液喷口蟹(甲壳纲:Bythograeidae)中的核线粒体假基因:对 DNA 条形码的影响。
Mol Ecol Resour. 2013 Sep;13(5):781-7. doi: 10.1111/1755-0998.12119. Epub 2013 May 13.
9
Duplicated paralog of sulfide: quinone oxidoreductase contributes to the adaptation to hydrogen sulfide-rich environment in the hydrothermal vent crab, Xenograpsus testudinatus.硫代醌氧化还原酶的重复基因有助于耐热虾蟹适应富含硫化氢的环境。
Sci Total Environ. 2023 Sep 10;890:164257. doi: 10.1016/j.scitotenv.2023.164257. Epub 2023 May 23.
10
Metallothionein genes from hydrothermal crabs (Bythograeidae, Decapoda): characterization, sequence analysis, gene expression and comparison with coastal crabs.来自热液蟹(十足目,深海蟹科)的金属硫蛋白基因:特性、序列分析、基因表达及与沿海蟹类的比较
Comp Biochem Physiol C Toxicol Pharmacol. 2008 Jul;148(1):6-13. doi: 10.1016/j.cbpc.2008.02.005. Epub 2008 Mar 4.

引用本文的文献

1
Convergent Evolution of Armor: Thermal Resistance in Deep-Sea Hydrothermal Vent Crustaceans.盔甲的趋同进化:深海热液喷口甲壳类动物的耐热性
Biology (Basel). 2024 Nov 21;13(12):956. doi: 10.3390/biology13120956.
2
Biomimetic design and impact simulation of AlO/Al composite armor based on armadillo shell.基于犰狳外壳的AlO/Al复合装甲的仿生设计与冲击模拟
Sci Rep. 2024 Aug 30;14(1):20216. doi: 10.1038/s41598-024-71255-z.
3
A Novel Nanoporous Adsorbent for Pesticides Obtained from Biogenic Calcium Carbonate Derived from Waste Crab Shells.

本文引用的文献

1
Forced Biomineralization: A Review.强制生物矿化:综述
Biomimetics (Basel). 2021 Jul 12;6(3):46. doi: 10.3390/biomimetics6030046.
2
Persistent polyamorphism in the chiton tooth: From a new biomineral to inks for additive manufacturing.贻贝齿中的持久多晶型现象:从新型生物矿化材料到增材制造用油墨。
Proc Natl Acad Sci U S A. 2021 Jun 8;118(23). doi: 10.1073/pnas.2020160118.
3
Complete mitochondrial genome sequence of the genus (Malacostraca: Brachyura: Bythograeidae) and its phylogenetic analysis.(软甲纲:十足目:深海蟹科)属的线粒体全基因组序列及其系统发育分析。
一种由废弃蟹壳衍生的生物源碳酸钙制备的新型农药纳米多孔吸附剂。
Nanomaterials (Basel). 2023 Nov 28;13(23):3042. doi: 10.3390/nano13233042.
4
Deep-Sea-Inspired Chemistry: A Hitchhiker's Guide to the Bottom of the Ocean for Chemists.深海启发的化学:化学家海底探险指南。
Langmuir. 2023 Jun 13;39(23):7987-7994. doi: 10.1021/acs.langmuir.3c00516. Epub 2023 Jun 2.
Mitochondrial DNA B Resour. 2020 Oct 5;5(3):3487-3488. doi: 10.1080/23802359.2020.1821823.
4
Biomineral armor in leaf-cutter ants.切叶蚁的生物矿化装甲。
Nat Commun. 2020 Nov 24;11(1):5792. doi: 10.1038/s41467-020-19566-3.
5
Mechanically robust lattices inspired by deep-sea glass sponges.受深海玻璃海绵启发的机械坚固晶格。
Nat Mater. 2021 Feb;20(2):237-241. doi: 10.1038/s41563-020-0798-1. Epub 2020 Sep 21.
6
Discontinuous fibrous Bouligand architecture enabling formidable fracture resistance with crack orientation insensitivity.具有不连续纤维 Bouligand 结构的材料,可在不敏感于裂纹方向的情况下实现优异的断裂阻力。
Proc Natl Acad Sci U S A. 2020 Jul 7;117(27):15465-15472. doi: 10.1073/pnas.2000639117. Epub 2020 Jun 22.
7
Bioinspired design of flexible armor based on chiton scales.基于石鳖鳞片的仿生柔性盔甲设计。
Nat Commun. 2019 Dec 10;10(1):5413. doi: 10.1038/s41467-019-13215-0.
8
Unique Characteristics of the Exoskeleton of Bythograeid Crab, Austinograea rodriguezensis in the Indian Ocean Hydrothermal Vent (Onnuri Vent Field).印度洋热液喷口(Onnuri 喷口场)中 Bythograeid 蟹 Austinograea rodriguezensis 外骨骼的独特特征。
Integr Comp Biol. 2020 Jul 1;60(1):24-32. doi: 10.1093/icb/icz150.
9
Geomimetics and Extreme Biomimetics Inspired by Hydrothermal Systems-What Can We Learn from Nature for Materials Synthesis?受热液系统启发的地球模拟与极端生物模拟——在材料合成方面我们能从自然中学到什么?
Biomimetics (Basel). 2017 May 31;2(2):8. doi: 10.3390/biomimetics2020008.
10
Assessing a species thermal tolerance through a multiparameter approach: the case study of the deep-sea hydrothermal vent shrimp Rimicaris exoculata.通过多参数方法评估物种的耐热性:以深海热液喷口虾 Rimicaris exoculata 为例。
Cell Stress Chaperones. 2019 May;24(3):647-659. doi: 10.1007/s12192-019-01003-0. Epub 2019 May 9.