Dubée Vincent, Hariri Geoffroy, Joffre Jérémie, Hagry Julien, Raia Lisa, Bonny Vincent, Gabarre Paul, Ehrminger Sebastien, Bigé Naike, Baudel Jean-Luc, Guidet Bertrand, Maury Eric, Dumas Guillaume, Ait-Oufella Hafid
Service de Maladies Infectieuses et Tropicales, CHU Angers, Angers, France.
Assistance Publique-Hôpitaux de Paris (AP-HP), Hôpital Saint-Antoine, Service de réanimation médicale, 184 rue du Faubourg Saint-Antoine, 75571, Paris Cedex 12, France.
Ann Intensive Care. 2022 Jul 18;12(1):68. doi: 10.1186/s13613-022-01043-3.
Tracheal intubation and invasive mechanical ventilation initiation is a procedure at high risk for arterial hypotension in intensive care unit. However, little is known about the relationship between pre-existing peripheral microvascular alteration and post-intubation hemodynamic instability (PIHI).
Prospective observational monocenter study conducted in an 18-bed medical ICU. Consecutive patients requiring tracheal intubation were eligible for the study. Global hemodynamic parameters (blood pressure, heart rate, cardiac function) and tissue perfusion parameters (arterial lactate, mottling score, capillary refill time [CRT], toe-to-room gradient temperature) were recorded before, 5 min and 2 h after tracheal intubation (TI). Post intubation hemodynamic instability (PIHI) was defined as any hemodynamic event requiring therapeutic intervention.
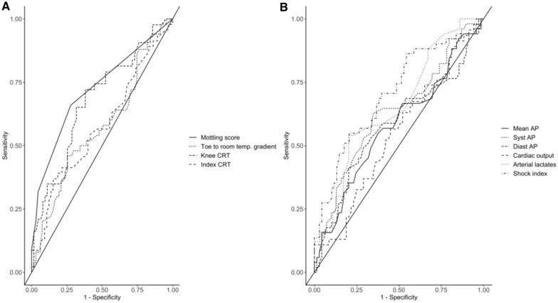
During 1 year, 120 patients were included, mainly male (59%) with a median age of 68 [57-77]. The median SOFA score and SAPS II were 6 [4-9] and 47 [37-63], respectively. The main indications for tracheal intubation were hypoxemia (51%), hypercapnia (13%), and coma (29%). In addition, 48% of patients had sepsis and 16% septic shock. Fifty-one (42%) patients develop PIHI. Univariate analysis identified several baseline factors associated with PIHI, including norepinephrine prior to TI, sepsis, tachycardia, fever, higher SOFA and high SAPSII score, mottling score ≥ 3, high lactate level and prolonged knee CRT. By contrast, mean arterial pressure, baseline cardiac index, and ejection fraction were not different between PIHI and No-PIHI groups. After adjustment on potential confounders, the mottling score was associated with a higher risk for PIHI (adjusted OR: 1.84 [1.21-2.82] per 1 point increased; p = 0.005). Among both global haemodynamics and tissue perfusion parameters, baseline mottling score was the best predictor of PIHI (AUC: 0.72 (CI 95% [0.62-0.81]).
In non-selected critically ill patients requiring invasive mechanical ventilation, tissue hypoperfusion parameters, especially the mottling score, could be helpful to predict PIHI.
在重症监护病房,气管插管和开始有创机械通气是导致动脉低血压的高风险操作。然而,对于预先存在的外周微血管改变与插管后血流动力学不稳定(PIHI)之间的关系,我们知之甚少。
在一家拥有18张床位的内科重症监护病房进行前瞻性观察单中心研究。连续的需要气管插管的患者符合研究条件。在气管插管(TI)前、插管后5分钟和2小时记录整体血流动力学参数(血压、心率、心功能)和组织灌注参数(动脉血乳酸、皮肤花斑评分、毛细血管再充盈时间[CRT]、趾-室温度梯度)。插管后血流动力学不稳定(PIHI)定义为任何需要治疗干预的血流动力学事件。
在1年期间,纳入了120例患者,主要为男性(59%),中位年龄为68岁[57 - 77岁]。中位序贯器官衰竭评估(SOFA)评分和简化急性生理学评分(SAPS)II分别为6分[4 - 9分]和47分[37 - 63分]。气管插管的主要指征为低氧血症(51%)、高碳酸血症(13%)和昏迷(29%)。此外,48%的患者患有脓毒症,16%的患者患有脓毒性休克。51例(42%)患者发生PIHI。单因素分析确定了几个与PIHI相关的基线因素,包括TI前使用去甲肾上腺素、脓毒症、心动过速、发热、较高的SOFA评分和较高的SAPS II评分、皮肤花斑评分≥3分、高乳酸水平和延长的膝部CRT。相比之下,PIHI组和非PIHI组之间的平均动脉压、基线心脏指数和射血分数没有差异。在对潜在混杂因素进行调整后,皮肤花斑评分与PIHI风险较高相关(调整后的比值比:每增加1分,为1.84[1.21 - 2.82];p = 0.005)。在整体血流动力学和组织灌注参数中,基线皮肤花斑评分是PIHI的最佳预测指标(曲线下面积:0.72(95%置信区间[0.62 - 0.81])。
在未经过选择的需要有创机械通气的危重症患者中,组织灌注不足参数,尤其是皮肤花斑评分,可能有助于预测PIHI。