Suppr超能文献

第六届 Åland 岛血管性血友病会议。

Sixth Åland Island Conference on von Willebrand disease.

机构信息

Centre for Thrombosis and Haemostasis, Skåne University Hospital, Lund University, Malmö, Sweden.

Clinic of Children's Diseases, Vilnius University Hospital Santaros Klinikos, Vilnius University, Vilnius, Lithuania.

出版信息

Haemophilia. 2022 Jul;28 Suppl 5(Suppl 5):3-15. doi: 10.1111/hae.14495.

Abstract

INTRODUCTION

The sixth Åland Islands Conference on von Willebrand disease (VWD) on the Åland Islands, Finland, was held from 20 to 22 September 2018.

AIM

The meeting brought together experts in the field of VWD from around the world to share the latest advances and knowledge in VWD.

RESULTS AND DISCUSSION

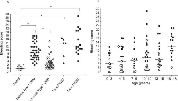
The topics covered both clinical aspects of disease management, and biochemical and laboratory insights into the disease. The clinical topics discussed included epidemiology, diagnosis and treatment of VWD in different countries, management of children with VWD, bleeding control during surgery, specific considerations for the management of type 3 VWD and bleeding control in women with VWD. Current approaches to the management of acquired von Willebrand syndrome were also discussed. Despite significant advances in the understanding and therapeutic options for VWD, there remain many challenges to be overcome in order to optimise patient care. In comparison with haemophilia A, there are very few registries of VWD patients, which would be a valuable source of data on the condition and its management. VWD is still underdiagnosed, and many patients suffer recurrent or severe bleeding that could be prevented. Awareness of VWD among healthcare practitioners, including non-haematologists, should be improved to allow timely diagnosis and intervention. Diagnosis remains challenging, and the development of fast, simple assays may help to facilitate accurate and rapid diagnosis of VWD.

摘要

简介

第六届 Åland 岛关于血管性血友病(VWD)会议于 2018 年 9 月 20 日至 22 日在芬兰 Åland 岛举行。

目的

会议汇集了来自世界各地的 VWD 领域专家,分享 VWD 的最新进展和知识。

结果与讨论

会议涵盖了疾病管理的临床方面以及疾病的生化和实验室见解。讨论的临床主题包括流行病学、不同国家 VWD 的诊断和治疗、儿童 VWD 的管理、手术期间的出血控制、3 型 VWD 的具体管理考虑因素以及 VWD 女性的出血控制。还讨论了获得性 von Willebrand 综合征的管理方法。尽管在理解和治疗 VWD 方面取得了重大进展,但仍有许多挑战需要克服,以优化患者的护理。与血友病 A 相比,VWD 患者的登记处非常少,这将是了解疾病及其管理的宝贵数据来源。VWD 的诊断仍然不足,许多患者会反复或严重出血,这是可以预防的。应提高医疗保健从业者(包括非血液科医生)对 VWD 的认识,以便及时诊断和干预。诊断仍然具有挑战性,快速、简单的检测方法的开发可能有助于准确快速地诊断 VWD。

https://cdn.ncbi.nlm.nih.gov/pmc/blobs/312b/9543245/60fa4b58eda5/HAE-28-3-g007.jpg

文献AI研究员

20分钟写一篇综述,助力文献阅读效率提升50倍。

立即体验

用中文搜PubMed

大模型驱动的PubMed中文搜索引擎

马上搜索

文档翻译

学术文献翻译模型,支持多种主流文档格式。

立即体验