Suppr超能文献

通过催化解聚从硬质聚氨酯废料中回收绿色多元醇

Recovery of Green Polyols from Rigid Polyurethane Waste by Catalytic Depolymerization.

作者信息

Miguel-Fernández Rafael, Amundarain Izotz, Asueta Asier, García-Fernández Sara, Arnaiz Sixto, Miazza Nora Lardiés, Montón Ernesto, Rodríguez-García Bárbara, Bianca-Benchea Elena

机构信息

GAIKER Technology Centre, Basque Research and Technology Alliance (BRTA), Parque Tecnológico de Bizkaia, Edificio 202, 48170 Zamudio, Spain.

AIMPLAS Plastics Technology Centre, Parque Tecnológico de Valencia, Gustave Eiffel, 4, 46980 Paterna, Spain.

出版信息

Polymers (Basel). 2022 Jul 20;14(14):2936. doi: 10.3390/polym14142936.

Abstract

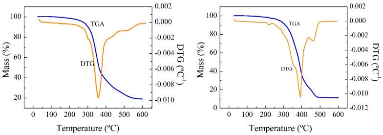
Polyurethane (PU) is one of the most versatile polymers available and can be found in an infinite number of formats ranging from rigid or flexible foams to elastomers. Currently, most Rigid PU Foam (RPUF) waste is landfilled, even though a small amount is mechanically recycled, in which the material is conditioned in size to a very fine powder, which is introduced as a filler. In this work, chemical recycling of two types of rigid PU foams is studied, the major difference being the aliphatic or aromatic nature of the isocyanate used in the synthesis. A solvolysis process is developed, a chemical depolymerization that breaks the chains by means of a chemical agent, a solvent, in the presence of a catalyst and under controlled process conditions. The glycolysis products are purified by vacuum distillation, centrifugation, and acid water treatment, depending on the most suitable process for each waste type. Optimal process conditions are established to obtain high-purity green polyols by performing a set of catalytic glycolysis reactions at laboratory scale with the previously conditioned RPUF waste samples. The physicochemical properties of the polyols, such as hydroxyl value, acid value, average molecular weight (M), and viscosity, are analyzed. The chemical structure and thermal stability of the polyols are studied by means of FTIR and TGA, respectively. Partial substitution of the commercial polyol (up to 15 wt.%) by the recycled polyols for RPUF synthesis is studied and characterized.

摘要

聚氨酯(PU)是现有用途最广泛的聚合物之一,有无数种形式,从硬质或软质泡沫到弹性体。目前,大多数硬质聚氨酯泡沫(RPUF)废料都被填埋,尽管有少量进行了机械回收,即将材料粉碎成非常细的粉末作为填料使用。在这项工作中,研究了两种类型硬质聚氨酯泡沫的化学回收,主要区别在于合成中使用的异氰酸酯的脂肪族或芳香族性质。开发了一种醇解工艺,这是一种化学解聚过程,在催化剂存在和受控工艺条件下,借助化学试剂(一种溶剂)使链断裂。根据每种废料类型最合适的工艺,通过真空蒸馏、离心和酸水处理对二醇解产物进行纯化。通过在实验室规模下对预先处理过的RPUF废料样品进行一系列催化二醇解反应,建立了获得高纯度绿色多元醇的最佳工艺条件。分析了多元醇的物理化学性质,如羟值、酸值、平均分子量(M)和粘度。分别通过傅里叶变换红外光谱(FTIR)和热重分析(TGA)研究了多元醇的化学结构和热稳定性。研究并表征了用回收多元醇部分替代商业多元醇(最高15 wt.%)用于RPUF合成的情况。

https://cdn.ncbi.nlm.nih.gov/pmc/blobs/2893/9319047/07d3d67fa1c5/polymers-14-02936-g001.jpg

文献检索

告别复杂PubMed语法,用中文像聊天一样搜索,搜遍4000万医学文献。AI智能推荐,让科研检索更轻松。

立即免费搜索

文件翻译

保留排版,准确专业,支持PDF/Word/PPT等文件格式,支持 12+语言互译。

免费翻译文档

深度研究

AI帮你快速写综述,25分钟生成高质量综述,智能提取关键信息,辅助科研写作。

立即免费体验