• 文献检索
  • 文档翻译
  • 深度研究
  • 学术资讯
  • Suppr Zotero 插件Zotero 插件
  • 邀请有礼
  • 套餐&价格
  • 历史记录
应用&插件
Suppr Zotero 插件Zotero 插件浏览器插件Mac 客户端Windows 客户端微信小程序
定价
高级版会员购买积分包购买API积分包
服务
文献检索文档翻译深度研究API 文档MCP 服务
关于我们
关于 Suppr公司介绍联系我们用户协议隐私条款
关注我们

Suppr 超能文献

核心技术专利:CN118964589B侵权必究
粤ICP备2023148730 号-1Suppr @ 2026

文献检索

告别复杂PubMed语法,用中文像聊天一样搜索,搜遍4000万医学文献。AI智能推荐,让科研检索更轻松。

立即免费搜索

文件翻译

保留排版,准确专业,支持PDF/Word/PPT等文件格式,支持 12+语言互译。

免费翻译文档

深度研究

AI帮你快速写综述,25分钟生成高质量综述,智能提取关键信息,辅助科研写作。

立即免费体验

通过双离心介质研磨法制备伊曲康唑纳米混悬液:制剂和工艺参数对粒径、固态转化以及储存稳定性的影响

Itraconazole Nanosuspensions via Dual Centrifugation Media Milling: Impact of Formulation and Process Parameters on Particle Size and Solid-State Conversion as Well as Storage Stability.

作者信息

Willmann Ann-Cathrin, Berkenfeld Kai, Faber Thilo, Wachtel Herbert, Boeck Georg, Wagner Karl G

机构信息

Pharmaceutical Development, Boehringer Ingelheim Pharma GmbH & Co. KG, Birkendorfer Straße 65, 88397 Biberach, Germany.

Department of Pharmaceutical Technology, University of Bonn, Gerhard-Domagk-Straße 3, 53121 Bonn, Germany.

出版信息

Pharmaceutics. 2022 Jul 22;14(8):1528. doi: 10.3390/pharmaceutics14081528.

DOI:10.3390/pharmaceutics14081528
PMID:35893783
原文链接:https://pmc.ncbi.nlm.nih.gov/articles/PMC9332252/
Abstract

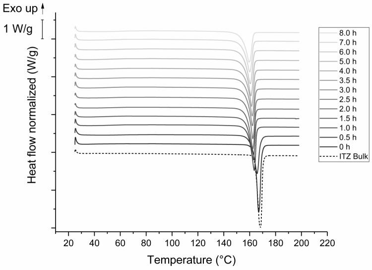
Nanocrystal suspensions proved to be a potent enabling principle for biopharmaceutics classification system class II drugs with dissolution limited bioavailability. In the example of itraconazole (ITZ) as a model drug combined with electrosteric stabilization using hydroxypropyl cellulose (HPC-SL), sodium dodecyl sulfate (SDS) and polysorbate 80 (PS80), the impacts of formulation and process parameters of a dual centrifugal mill on material attributes such as particle size, zeta potential, particle morphology, storage stability and especially solid-state characteristics were evaluated. A minimal concentration of 0.9% (/) HPC-SL, 0.14% (/) SDS and 0.07% (/) PS80 was necessary for sufficient nanoparticle stabilization. Despite the minor effect of PS80, its presence was beneficial for electrosteric stabilization. Choosing lower stabilizer concentrations resulted in a pronounced increase in particle size due to agglomeration, which was confirmed by SEM imaging and a decrease in zeta potential in combination with an amorphization of the particles. Milling temperature had no significant impact on the particle size, whereas milling speed and the size of the milling beads used were found to have a strong impact on the critical material attributes such as particle size and polydispersity index. The smallest particle sizes could be obtained by using the smallest milling bead size. However, the smallest obtainable particle size could only be achieved by using two-fold stabilizer concentrations, as smaller particles exhibit a larger specific surface area.

摘要

纳米晶体悬浮液被证明是生物药剂学分类系统中生物利用度受溶出限制的II类药物的一种有效促成原理。以伊曲康唑(ITZ)作为模型药物,结合使用羟丙基纤维素(HPC-SL)、十二烷基硫酸钠(SDS)和聚山梨酯80(PS80)进行电空间稳定化为例,评估了双盘式离心机的配方和工艺参数对材料属性(如粒径、zeta电位、颗粒形态、储存稳定性,尤其是固态特性)的影响。为了实现足够的纳米颗粒稳定化,HPC-SL的最低浓度为0.9%(/)、SDS为0.14%(/)、PS80为0.07%(/)是必要的。尽管PS80的影响较小,但其存在有利于电空间稳定化。选择较低的稳定剂浓度会由于团聚导致粒径显著增加,这通过扫描电子显微镜成像得到证实,同时zeta电位降低,颗粒发生非晶化。研磨温度对粒径没有显著影响,而研磨速度和所用研磨珠的尺寸对粒径和多分散指数等关键材料属性有很大影响。使用最小尺寸的研磨珠可获得最小的粒径。然而,只有使用两倍的稳定剂浓度才能实现可获得的最小粒径,因为较小的颗粒具有更大比表面积。

https://cdn.ncbi.nlm.nih.gov/pmc/blobs/4f7a/9332252/11493b434713/pharmaceutics-14-01528-g009.jpg
https://cdn.ncbi.nlm.nih.gov/pmc/blobs/4f7a/9332252/16126a7a96ee/pharmaceutics-14-01528-g001.jpg
https://cdn.ncbi.nlm.nih.gov/pmc/blobs/4f7a/9332252/4bdc8ecea907/pharmaceutics-14-01528-g002.jpg
https://cdn.ncbi.nlm.nih.gov/pmc/blobs/4f7a/9332252/a779dbbb6879/pharmaceutics-14-01528-g003.jpg
https://cdn.ncbi.nlm.nih.gov/pmc/blobs/4f7a/9332252/31be406e0eda/pharmaceutics-14-01528-g004.jpg
https://cdn.ncbi.nlm.nih.gov/pmc/blobs/4f7a/9332252/2f35d8c4ab13/pharmaceutics-14-01528-g005.jpg
https://cdn.ncbi.nlm.nih.gov/pmc/blobs/4f7a/9332252/e1b69921b3f7/pharmaceutics-14-01528-g006.jpg
https://cdn.ncbi.nlm.nih.gov/pmc/blobs/4f7a/9332252/563787247a79/pharmaceutics-14-01528-g007.jpg
https://cdn.ncbi.nlm.nih.gov/pmc/blobs/4f7a/9332252/de823e815c36/pharmaceutics-14-01528-g008.jpg
https://cdn.ncbi.nlm.nih.gov/pmc/blobs/4f7a/9332252/11493b434713/pharmaceutics-14-01528-g009.jpg
https://cdn.ncbi.nlm.nih.gov/pmc/blobs/4f7a/9332252/16126a7a96ee/pharmaceutics-14-01528-g001.jpg
https://cdn.ncbi.nlm.nih.gov/pmc/blobs/4f7a/9332252/4bdc8ecea907/pharmaceutics-14-01528-g002.jpg
https://cdn.ncbi.nlm.nih.gov/pmc/blobs/4f7a/9332252/a779dbbb6879/pharmaceutics-14-01528-g003.jpg
https://cdn.ncbi.nlm.nih.gov/pmc/blobs/4f7a/9332252/31be406e0eda/pharmaceutics-14-01528-g004.jpg
https://cdn.ncbi.nlm.nih.gov/pmc/blobs/4f7a/9332252/2f35d8c4ab13/pharmaceutics-14-01528-g005.jpg
https://cdn.ncbi.nlm.nih.gov/pmc/blobs/4f7a/9332252/e1b69921b3f7/pharmaceutics-14-01528-g006.jpg
https://cdn.ncbi.nlm.nih.gov/pmc/blobs/4f7a/9332252/563787247a79/pharmaceutics-14-01528-g007.jpg
https://cdn.ncbi.nlm.nih.gov/pmc/blobs/4f7a/9332252/de823e815c36/pharmaceutics-14-01528-g008.jpg
https://cdn.ncbi.nlm.nih.gov/pmc/blobs/4f7a/9332252/11493b434713/pharmaceutics-14-01528-g009.jpg

相似文献

1
Itraconazole Nanosuspensions via Dual Centrifugation Media Milling: Impact of Formulation and Process Parameters on Particle Size and Solid-State Conversion as Well as Storage Stability.通过双离心介质研磨法制备伊曲康唑纳米混悬液:制剂和工艺参数对粒径、固态转化以及储存稳定性的影响
Pharmaceutics. 2022 Jul 22;14(8):1528. doi: 10.3390/pharmaceutics14081528.
2
Multi-faceted Characterization of Wet-milled Griseofulvin Nanosuspensions for Elucidation of Aggregation State and Stabilization Mechanisms.湿磨灰黄霉素纳米混悬剂的多面特性研究,阐明其聚集状态和稳定机制。
AAPS PharmSciTech. 2018 May;19(4):1789-1801. doi: 10.1208/s12249-018-0993-4. Epub 2018 Mar 30.
3
Miconazole nanosuspensions: Influence of formulation variables on particle size reduction and physical stability.咪康唑纳米混悬剂:制剂变量对粒径减小和物理稳定性的影响。
Int J Pharm. 2010 Aug 30;396(1-2):210-8. doi: 10.1016/j.ijpharm.2010.06.020. Epub 2010 Jun 19.
4
A quality-by-design study to develop Nifedipine nanosuspension: examining the relative impact of formulation variables, wet media milling process parameters and excipient variability on drug product quality attributes.基于质量源于设计的硝苯地平纳米混悬剂的研制:考察制剂变量、湿磨工艺参数和辅料变异性对药物产品质量属性的相对影响。
Drug Dev Ind Pharm. 2018 Dec;44(12):1942-1952. doi: 10.1080/03639045.2018.1503296. Epub 2018 Oct 12.
5
Wet bead milling by dual centrifugation - An approach to obtain reproducible and differentiable suspensions.通过双重离心进行湿式珠磨——一种获得可重复且可区分悬浮液的方法。
Int J Pharm. 2023 Nov 5;646:123455. doi: 10.1016/j.ijpharm.2023.123455. Epub 2023 Sep 28.
6
Formulation and drying of miconazole and itraconazole nanosuspensions.米康唑和伊曲康唑纳米混悬剂的制备和干燥。
Int J Pharm. 2013 Feb 25;443(1-2):209-20. doi: 10.1016/j.ijpharm.2012.11.044. Epub 2013 Jan 4.
7
Development of agomelatine nanocomposite formulations by wet media milling.湿磨法制备阿戈美拉汀纳米复合材料制剂。
Eur J Pharm Sci. 2021 Nov 1;166:105979. doi: 10.1016/j.ejps.2021.105979. Epub 2021 Aug 21.
8
Optimization of formulation and process parameters for the production of carvedilol nanosuspension by wet media milling.通过湿磨介质研磨法优化卡维地洛纳米混悬剂的制剂和工艺参数。
Int J Pharm. 2018 Apr 5;540(1-2):150-161. doi: 10.1016/j.ijpharm.2018.02.011. Epub 2018 Feb 10.
9
Nanosuspensions of a poorly soluble investigational molecule ODM-106: Impact of milling bead diameter and stabilizer concentration.难溶性研究分子 ODM-106 的纳米混悬剂:研磨珠直径和稳定剂浓度的影响。
Int J Pharm. 2020 Sep 25;587:119636. doi: 10.1016/j.ijpharm.2020.119636. Epub 2020 Jul 11.
10
Is the combination of cellulosic polymers and anionic surfactants a good strategy for ensuring physical stability of BCS Class II drug nanosuspensions?纤维素聚合物与阴离子表面活性剂的组合是否是确保BCS II类药物纳米混悬液物理稳定性的良好策略?
Pharm Dev Technol. 2016;21(4):499-510. doi: 10.3109/10837450.2015.1022788. Epub 2015 Mar 16.

引用本文的文献

1
The Impact of a Manufacturing Process on the Stability of Microcrystalline Long-Acting Injections: A Case Study on Aripiprazole Monohydrate.制造工艺对微晶长效注射剂稳定性的影响:以阿立哌唑一水合物为例
Pharmaceutics. 2025 Jun 3;17(6):735. doi: 10.3390/pharmaceutics17060735.
2
A Systematic Investigation of Process Parameters for Small-Volume Aqueous Suspension Production by the Use of Focused Ultrasonication.采用聚焦超声法生产小体积水混悬液的工艺参数系统研究。
AAPS PharmSciTech. 2024 Aug 13;25(6):185. doi: 10.1208/s12249-024-02907-6.
3
Preparation of Nanosized Pharmaceutical Formulations by Dual Centrifugation.

本文引用的文献

1
Progress in the development of stabilization strategies for nanocrystal preparations.纳米晶体制剂稳定策略的发展进展。
Drug Deliv. 2021 Dec;28(1):19-36. doi: 10.1080/10717544.2020.1856224.
2
Rapid development of API nano-formulations from screening to production combining dual centrifugation and wet agitator bead milling.采用双离心结合湿搅拌珠磨法,从筛选到生产快速开发 API 纳米制剂。
Int J Pharm. 2019 Jun 30;565:187-198. doi: 10.1016/j.ijpharm.2019.04.082. Epub 2019 May 4.
3
Practical guidelines for the characterization and quality control of pure drug nanoparticles and nano-cocrystals in the pharmaceutical industry.
通过双重离心法制备纳米级药物制剂
Pharmaceuticals (Basel). 2023 Oct 25;16(11):1519. doi: 10.3390/ph16111519.
4
Formulation Strategies of Nanosuspensions for Various Administration Routes.用于不同给药途径的纳米混悬液的制剂策略
Pharmaceutics. 2023 May 17;15(5):1520. doi: 10.3390/pharmaceutics15051520.
5
Tailoring the Lamellarity of Liposomes Prepared by Dual Centrifugation.通过双重离心法制备脂质体的层状结构定制
Pharmaceutics. 2023 Feb 20;15(2):706. doi: 10.3390/pharmaceutics15020706.
制药行业中纯药物纳米粒子和纳米共晶体的特征描述和质量控制的实用指南。
Adv Drug Deliv Rev. 2018 Jun;131:101-115. doi: 10.1016/j.addr.2018.06.009. Epub 2018 Jun 18.
4
Dual centrifugation - A new technique for nanomilling of poorly soluble drugs and formulation screening by an DoE-approach.双重离心法——一种采用实验设计方法对难溶性药物进行纳米研磨和制剂筛选的新技术。
Int J Pharm. 2017 Sep 15;530(1-2):79-88. doi: 10.1016/j.ijpharm.2017.07.047. Epub 2017 Jul 18.
5
A microhydrodynamic rationale for selection of bead size in preparation of drug nanosuspensions via wet stirred media milling.通过湿式搅拌介质研磨制备药物纳米混悬液时选择珠粒尺寸的微流体动力学原理。
Int J Pharm. 2017 May 30;524(1-2):178-192. doi: 10.1016/j.ijpharm.2017.04.001. Epub 2017 Apr 2.
6
Fast dissolution of poorly water soluble drugs from fluidized bed coated nanocomposites: Impact of carrier size.难溶性药物在流化床包衣纳米复合材料中的快速溶解:载体尺寸的影响。
Int J Pharm. 2016 Nov 20;513(1-2):319-331. doi: 10.1016/j.ijpharm.2016.09.046. Epub 2016 Sep 14.
7
Nanoparticle-Based Medicines: A Review of FDA-Approved Materials and Clinical Trials to Date.基于纳米颗粒的药物:对美国食品药品监督管理局(FDA)批准的材料及迄今临床试验的综述。
Pharm Res. 2016 Oct;33(10):2373-87. doi: 10.1007/s11095-016-1958-5. Epub 2016 Jun 14.
8
Nanomilling of Drugs for Bioavailability Enhancement: A Holistic Formulation-Process Perspective.用于提高生物利用度的药物纳米研磨:整体制剂 - 工艺视角
Pharmaceutics. 2016 May 20;8(2):17. doi: 10.3390/pharmaceutics8020017.
9
Process parameter dependent growth phenomena of naproxen nanosuspension manufactured by wet media milling.湿法制粒研磨制备的萘普生纳米混悬液的工艺参数依赖性生长现象
Eur J Pharm Biopharm. 2015 May;92:171-9. doi: 10.1016/j.ejpb.2015.02.031. Epub 2015 Mar 9.
10
In Vitro and In Vivo Performance of Different Sized Spray-Dried Crystalline Itraconazole.不同粒径喷雾干燥结晶型伊曲康唑的体外和体内性能
J Pharm Sci. 2015 Sep;104(9):3018-28. doi: 10.1002/jps.24155. Epub 2014 Sep 5.