Suppr超能文献

钼被钨取代在仿生配合物中导致氧原子转移催化活性增加。

Replacement of Molybdenum by Tungsten in a Biomimetic Complex Leads to an Increase in Oxygen Atom Transfer Catalytic Activity.

机构信息

Institute of Chemistry, Inorganic Chemistry, University of Graz, 8010 Graz, Austria.

出版信息

Inorg Chem. 2022 Aug 8;61(31):12415-12424. doi: 10.1021/acs.inorgchem.2c01868. Epub 2022 Jul 27.

Abstract

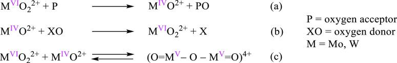
Upon replacement of molybdenum by tungsten in DMSO reductase isolated from the Rhodobacteraceae family, the derived enzyme catalyzes DMSO reduction faster. To better understand this behavior, we synthesized two tungsten(VI) dioxido complexes [WOL] with pyridine- (PyS) and pyrimidine-2-thiolate (PymS) ligands, isostructural to analogous molybdenum complexes we reported recently. Higher oxygen atom transfer (OAT) catalytic activity was observed with [WO(PyS)] compared to the Mo species, independent of whether PMe or PPh was used as the oxygen acceptor. [WOL] complexes undergo reduction with an excess of PMe, yielding the tungsten(IV) oxido species [WOL(PMe)], while with PPh, no reactions are observed. Although OAT reactions from DMSO to phosphines are known for tungsten complexes, [WOL(PMe)] are the first fully characterized phosphine-stabilized intermediates. By following the reaction of these reduced species with excess DMSO via UV-vis spectroscopy, we observed that tungsten compounds directly react to WO complexes while the Mo analogues first form μ-oxo Mo(V) dimers [MoOL]. Density functional theory calculations confirm that the oxygen atom abstraction from WO is an endergonic process contrasting the respective reaction with molybdenum. Here, we suggest that depending on the sacrificial oxygen acceptor, the tungsten complex may participate in catalysis either via a redox reaction or as an electrophile.

摘要

在从红杆菌科分离出的二甲基亚砜还原酶中,用钨取代钼后,衍生出的酶能更快地催化二甲基亚砜还原。为了更好地理解这一行为,我们合成了两种钨(VI)双氧络合物[WOL],配体为吡啶- (PyS) 和嘧啶-2-硫醇 (PymS),与我们最近报道的类似钼络合物具有相同的结构。与钼物种相比,[WO(PyS)]具有更高的氧原子转移(OAT)催化活性,无论使用 PMe 还是 PPh 作为氧受体都是如此。[WOL]络合物与过量的 PMe 发生还原反应,生成钨(IV)氧物种[WOL(PMe)],而用 PPh 则没有反应。尽管已知钨配合物有从 DMSO 到膦的 OAT 反应,但[WOL(PMe)]是首次完全表征的膦稳定的中间体。通过紫外-可见光谱跟踪这些还原物种与过量 DMSO 的反应,我们观察到钨化合物直接与 WO 络合物反应,而钼类似物首先形成μ-氧 Mo(V)二聚体[MoOL]。密度泛函理论计算证实,从 WO 中夺取氧原子是一个吸热过程,与相应的钼反应形成对比。在这里,我们建议,根据牺牲氧受体的不同,钨配合物可能通过氧化还原反应或作为亲电试剂参与催化。

https://cdn.ncbi.nlm.nih.gov/pmc/blobs/04d9/9367641/9b6884b92b66/ic2c01868_0006.jpg

文献检索

告别复杂PubMed语法,用中文像聊天一样搜索,搜遍4000万医学文献。AI智能推荐,让科研检索更轻松。

立即免费搜索

文件翻译

保留排版,准确专业,支持PDF/Word/PPT等文件格式,支持 12+语言互译。

免费翻译文档

深度研究

AI帮你快速写综述,25分钟生成高质量综述,智能提取关键信息,辅助科研写作。

立即免费体验