Suppr超能文献

心肺死亡后捐献前的抗凝时机和剂量:与移植物功能相关的多中心研究。

Premortem anticoagulation timing and dose in donation after circulatory death: multicentre study of associations with graft function.

机构信息

From the Department of Critical Care Medicine, University of Calgary, Calgary, Alta. (Kramer); the Department of Clinical Neurosciences, University of Calgary, Calgary, Alta. (Kramer); the Southern Alberta Organ and Tissue Donation Program, Calgary, Alta. (Kramer); the Specialist in End-of-Life Care, Neuroprognostication and Donation (SEND) Program, Alberta Health Services (Holliday); the Division of Critical Care Medicine, Department of Medicine, University of British Columbia, Vancouver, B.C. (Keenan, Isac); BC Transplant, Vancouver, B.C. (Keenan, Isac); the Department of Critical Care Medicine, Faculty of Medicine and Dentistry, University of Alberta, Edmonton, Alta. (Kutsogiannis); the Human Organ Procurement and Exchange Program, Alberta Transplant Institute, University of Alberta, Edmonton, Alta. (Kutsogiannis); the Department of Surgery, University of Alberta, Edmonton, Alta. (Kneteman); the Alberta Transplant Institute, University of Alberta, Edmonton, Alta. (Kneteman, Tibbles); the Department of Surgery, University of British Columbia, Vancouver, B.C. (Kim); the Section of Critical Care Medicine, Department of Medicine, University of Manitoba, Winnipeg, Man. (Robertson); Transplant Manitoba, Winnipeg, Man. (Robertson, Nickerson); the Section of Nephrology, Department of Medicine, University of Manitoba, Winnipeg, Man. (Nickerson); the Southern Alberta Transplant Program, Calgary, Alta. (Tibbles); and the Division of Nephrology, Department of Medicine, University of Calgary, Calgary, Alta. (Tibbles)

From the Department of Critical Care Medicine, University of Calgary, Calgary, Alta. (Kramer); the Department of Clinical Neurosciences, University of Calgary, Calgary, Alta. (Kramer); the Southern Alberta Organ and Tissue Donation Program, Calgary, Alta. (Kramer); the Specialist in End-of-Life Care, Neuroprognostication and Donation (SEND) Program, Alberta Health Services (Holliday); the Division of Critical Care Medicine, Department of Medicine, University of British Columbia, Vancouver, B.C. (Keenan, Isac); BC Transplant, Vancouver, B.C. (Keenan, Isac); the Department of Critical Care Medicine, Faculty of Medicine and Dentistry, University of Alberta, Edmonton, Alta. (Kutsogiannis); the Human Organ Procurement and Exchange Program, Alberta Transplant Institute, University of Alberta, Edmonton, Alta. (Kutsogiannis); the Department of Surgery, University of Alberta, Edmonton, Alta. (Kneteman); the Alberta Transplant Institute, University of Alberta, Edmonton, Alta. (Kneteman, Tibbles); the Department of Surgery, University of British Columbia, Vancouver, B.C. (Kim); the Section of Critical Care Medicine, Department of Medicine, University of Manitoba, Winnipeg, Man. (Robertson); Transplant Manitoba, Winnipeg, Man. (Robertson, Nickerson); the Section of Nephrology, Department of Medicine, University of Manitoba, Winnipeg, Man. (Nickerson); the Southern Alberta Transplant Program, Calgary, Alta. (Tibbles); and the Division of Nephrology, Department of Medicine, University of Calgary, Calgary, Alta. (Tibbles).

出版信息

Can J Surg. 2022 Jul 28;65(4):E474-E484. doi: 10.1503/cjs.023120. Print 2022 Jul-Aug.

Abstract

BACKGROUND

In controlled donation after circulatory determination of death (DCD), it is common to administer premortem heparin to potential donors. This practice remains controversial because there is limited evidence for it and there is the possibility of inducing hemorrhage. To our knowledge, no previous studies have assessed the effects of heparin timing and dose on graft function.

METHODS

We performed a multicentre cohort study of consecutive DCD donors and the recipients of their organs. Anticoagulation administration was considered early if given near the time of withdrawal of life-sustaining measures and late if delayed until the onset of donor hypoxemia (oxygen saturation < 70%) or hypotension (systolic blood pressure < 60 mm Hg or mean blood pressure < 50 mm Hg). The anticoagulation dose was considered high if it was 300 units/kg or greater.

RESULTS

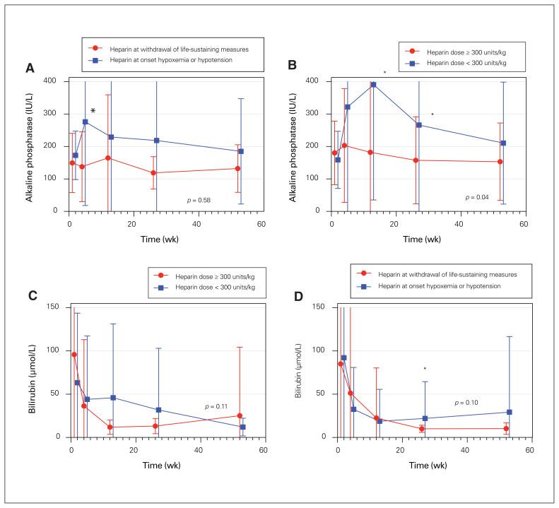
Donor anticoagulation data were available for 301 kidney, 75 liver and 46 lung recipients. Heparin was administered in 92% of cases and was most commonly withheld in donors with cerebrovascular causes of death ( = 0.01). Administration was late in 59% and the dose was low in 27%. Among kidney recipients, there were no significant differences in need for dialysis, glomerular filtration rate over the first year after transplantation or graft survival on the basis of whether or not the donor received heparin, the timing of heparin administration or the dose of heparin. Among liver recipients, alkaline phosphatase concentrations over the first year were significantly higher among recipients who received organs from donors to whom lower doses of heparin had been administered.

CONCLUSION

Premortem heparin is widely used in DCD cases, but there is variability in timing and dose, which was not associated with kidney outcomes in this study. Donor anticoagulation may have a greater impact in preventing biliary complications following liver transplantation.

摘要

背景

在循环判定死亡后的控制式供体捐献(DCD)中,通常会给潜在供体预先施用肝素。这种做法仍存在争议,因为其证据有限,并且存在诱发出血的可能性。据我们所知,以前没有研究评估肝素的时机和剂量对移植物功能的影响。

方法

我们对连续的 DCD 供体及其器官接受者进行了多中心队列研究。如果抗凝剂给药接近停止生命支持措施的时间,则认为是早期给药,如果延迟到供体低氧血症(氧饱和度<70%)或低血压(收缩压<60mmHg 或平均血压<50mmHg)开始时,则认为是晚期给药。如果抗凝剂量为 300 单位/千克或更高,则认为剂量较高。

结果

301 例肾、75 例肝和 46 例肺接受者有供体抗凝数据。在 92%的情况下给予肝素,最常见的是在因脑血管原因死亡的供体中(=0.01)。59%的情况下延迟给药,27%的情况下剂量较低。在肾接受者中,根据供体是否接受肝素、肝素给药的时机或肝素的剂量,接受或不接受肝素、接受肝素的时机或肝素的剂量,是否需要透析、移植后第一年肾小球滤过率或移植物存活率均无显著差异。在肝接受者中,在接受肝素剂量较低的供体器官的接受者中,碱性磷酸酶浓度在第一年中显著更高。

结论

在 DCD 病例中广泛使用了生前肝素,但在时机和剂量方面存在差异,在本研究中与肾脏结局无关。供体抗凝可能对预防肝移植后胆道并发症有更大的影响。

https://cdn.ncbi.nlm.nih.gov/pmc/blobs/930f/9343016/40c035fcb398/065e474f1.jpg

文献检索

告别复杂PubMed语法,用中文像聊天一样搜索,搜遍4000万医学文献。AI智能推荐,让科研检索更轻松。

立即免费搜索

文件翻译

保留排版,准确专业,支持PDF/Word/PPT等文件格式,支持 12+语言互译。

免费翻译文档

深度研究

AI帮你快速写综述,25分钟生成高质量综述,智能提取关键信息,辅助科研写作。

立即免费体验