Suppr超能文献

对实验感染鸟类中的疟原虫 relicta 进行基因组序列捕获。

Genomic sequence capture of Plasmodium relictum in experimentally infected birds.

机构信息

Molecular Ecology and Evolution Laboratory, Department of Biology, Lund University, S-22362, Lund, Sweden.

Department of Entomology and Wildlife Ecology, University of Delaware, Newark, DE, USA.

出版信息

Parasit Vectors. 2022 Jul 29;15(1):267. doi: 10.1186/s13071-022-05373-w.

Abstract

BACKGROUND

Sequencing parasite genomes in the presence of host DNA is challenging. Sequence capture can overcome this problem by using RNA probes that hybridize with the parasite DNA and then are removed from solution, thus isolating the parasite DNA for efficient sequencing.

METHODS

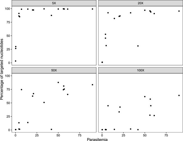
Here we describe a set of sequence capture probes designed to target 1035 genes (c. 2.5 Mbp) of the globally distributed avian haemosporidian parasite, Plasmodium relictum. Previous sequence capture studies of avian haemosporidians from the genus Haemoproteus have shown that sequencing success depends on parasitemia, with low-intensity, chronic infections (typical of most infected birds in the wild) often being difficult to sequence. We evaluate the relationship between parasitemia and sequencing success using birds experimentally infected with P. relictum and kept under laboratory conditions.

RESULTS

We confirm the dependence of sequencing success on parasitemia. Sequencing success was low for birds with low levels of parasitemia (< 1% infected red blood cells) and high for birds with higher levels of parasitemia. Plasmodium relictum is composed of multiple lineages defined by their mitochondrial DNA haplotype including three that are widespread (SGS1, GRW11, and GRW4); the probes successfully isolated DNA from all three. Furthermore, we used data from 25 genes to describe both among- and within-lineage genetic variation. For example, two samples of SGS1 isolated from different host species differed by 11 substitutions across those 25 genes.

CONCLUSIONS

The sequence capture approach we describe will allow for the generation of genomic data that will contribute to our understanding of the population genetic structure and evolutionary history of P. relictum, an extreme host generalist and widespread parasite.

摘要

背景

在宿主 DNA 存在的情况下对寄生虫基因组进行测序具有挑战性。序列捕获可以通过使用与寄生虫 DNA 杂交的 RNA 探针来克服这个问题,然后将探针从溶液中去除,从而分离出寄生虫 DNA 进行高效测序。

方法

本文介绍了一组针对全球分布的禽血孢子虫寄生虫 Plasmodium relictum 的 1035 个基因(约 2.5 Mbp)设计的序列捕获探针。先前对 Haemoproteus 属禽血孢子虫的序列捕获研究表明,测序成功率取决于寄生虫血症,低强度、慢性感染(典型的野生感染鸟类)通常难以测序。我们通过实验感染 P. relictum 并在实验室条件下饲养的鸟类来评估寄生虫血症与测序成功率之间的关系。

结果

我们证实了测序成功率与寄生虫血症之间的依赖关系。寄生虫血症水平低(<1%感染的红细胞)的鸟类测序成功率低,而寄生虫血症水平高的鸟类测序成功率高。Plasmodium relictum 由其线粒体 DNA 单倍型定义的多个谱系组成,包括三个广泛分布的谱系(SGS1、GRW11 和 GRW4);这些探针成功地从所有三个谱系中分离出了 DNA。此外,我们使用来自 25 个基因的数据来描述谱系内和谱系间的遗传变异。例如,从不同宿主物种中分离出的两个 SGS1 样本在这 25 个基因中存在 11 个替换差异。

结论

我们描述的序列捕获方法将生成基因组数据,有助于我们了解 P. relictum 的种群遗传结构和进化历史,它是一种极端的宿主泛化者和广泛分布的寄生虫。

https://cdn.ncbi.nlm.nih.gov/pmc/blobs/1f8c/9336033/fc26f2ba2422/13071_2022_5373_Fig1_HTML.jpg

文献AI研究员

20分钟写一篇综述,助力文献阅读效率提升50倍。

立即体验

用中文搜PubMed

大模型驱动的PubMed中文搜索引擎

马上搜索

文档翻译

学术文献翻译模型,支持多种主流文档格式。

立即体验