• 文献检索
  • 文档翻译
  • 深度研究
  • 学术资讯
  • Suppr Zotero 插件Zotero 插件
  • 邀请有礼
  • 套餐&价格
  • 历史记录
应用&插件
Suppr Zotero 插件Zotero 插件浏览器插件Mac 客户端Windows 客户端微信小程序
定价
高级版会员购买积分包购买API积分包
服务
文献检索文档翻译深度研究API 文档MCP 服务
关于我们
关于 Suppr公司介绍联系我们用户协议隐私条款
关注我们

Suppr 超能文献

核心技术专利:CN118964589B侵权必究
粤ICP备2023148730 号-1Suppr @ 2026

文献检索

告别复杂PubMed语法,用中文像聊天一样搜索,搜遍4000万医学文献。AI智能推荐,让科研检索更轻松。

立即免费搜索

文件翻译

保留排版,准确专业,支持PDF/Word/PPT等文件格式,支持 12+语言互译。

免费翻译文档

深度研究

AI帮你快速写综述,25分钟生成高质量综述,智能提取关键信息,辅助科研写作。

立即免费体验

生物活性碳糖基胺的设计与合成:从糖苷酶抑制剂到药理学伴侣。

Design and synthesis of biologically active carbaglycosylamines: From glycosidase inhibitors to pharmacological chaperones.

机构信息

Department of Biosciences and Informatics, Faculty of Science and Technology, Keio University.

Hokko Chemical Industry, Co., Ltd.

出版信息

Proc Jpn Acad Ser B Phys Biol Sci. 2022;98(7):336-360. doi: 10.2183/pjab.98.018.

DOI:10.2183/pjab.98.018
PMID:35908956
原文链接:https://pmc.ncbi.nlm.nih.gov/articles/PMC9363598/
Abstract

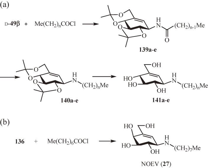
For over 50 years, our group has been involved in synthetic studies on biologically active cyclitols including carbasugars. Among a variety of compounds synthesized, this review focuses on carbaglycosylamine glycosidase inhibitors, highlighting the following: (1) the naturally occurring N-linked carbaoligosaccharide α-amylase inhibitor acarbose and related compounds; (2) the novel synthetic β-glycosidase inhibitors, 1'-epi-acarviosin and its 6-hydroxy analogue as well as β-valienaminylceramide and its 4'-epimer; (3) the discovery of the β-glycosidase inhibitors with chaperone activity, N-octyl-β-valienamine (NOV) and its 4-epimer (NOEV); and (4) the recent development of the potential pharmacological chaperone N-alkyl-conduramine F-4 derivatives.

摘要

五十多年来,我们小组一直致力于具有生物活性的环糖醇(包括碳环糖)的合成研究。在合成的各种化合物中,本综述重点介绍了碳苷糖胺糖苷酶抑制剂,突出了以下几个方面:(1)天然存在的 N-连接碳寡糖α-淀粉酶抑制剂阿卡波糖及其相关化合物;(2)新型合成的β-糖苷酶抑制剂 1'-表阿卡维辛及其 6-羟基类似物以及β-戊烯胺基神经酰胺及其 4'-差向异构体;(3)发现具有伴侣活性的β-糖苷酶抑制剂,正辛基-β-戊烯胺(NOV)及其 4-差向异构体(NOEV);(4)潜在的药理学伴侣 N-烷基-康杜胺 F-4 衍生物的最新进展。

https://cdn.ncbi.nlm.nih.gov/pmc/blobs/2c61/9363598/15538ed061d2/pjab-98-336-g016.jpg
https://cdn.ncbi.nlm.nih.gov/pmc/blobs/2c61/9363598/9424602bdd6d/pjab-98-336-g001.jpg
https://cdn.ncbi.nlm.nih.gov/pmc/blobs/2c61/9363598/d2a13d4cb8e2/pjab-98-336-g002.jpg
https://cdn.ncbi.nlm.nih.gov/pmc/blobs/2c61/9363598/364092c70b47/pjab-98-336-g003.jpg
https://cdn.ncbi.nlm.nih.gov/pmc/blobs/2c61/9363598/e7082102581a/pjab-98-336-g004.jpg
https://cdn.ncbi.nlm.nih.gov/pmc/blobs/2c61/9363598/5fbbff02e119/pjab-98-336-g005.jpg
https://cdn.ncbi.nlm.nih.gov/pmc/blobs/2c61/9363598/1a6efdcc27bd/pjab-98-336-g006.jpg
https://cdn.ncbi.nlm.nih.gov/pmc/blobs/2c61/9363598/441d98a9bb96/pjab-98-336-g007.jpg
https://cdn.ncbi.nlm.nih.gov/pmc/blobs/2c61/9363598/4646d7e3c36b/pjab-98-336-g008.jpg
https://cdn.ncbi.nlm.nih.gov/pmc/blobs/2c61/9363598/57660b543d3e/pjab-98-336-g009.jpg
https://cdn.ncbi.nlm.nih.gov/pmc/blobs/2c61/9363598/b2f5f6ee40e4/pjab-98-336-g010.jpg
https://cdn.ncbi.nlm.nih.gov/pmc/blobs/2c61/9363598/c37d36715c7e/pjab-98-336-g011.jpg
https://cdn.ncbi.nlm.nih.gov/pmc/blobs/2c61/9363598/22c7d7f55580/pjab-98-336-g012.jpg
https://cdn.ncbi.nlm.nih.gov/pmc/blobs/2c61/9363598/bb0426fa6d44/pjab-98-336-g013.jpg
https://cdn.ncbi.nlm.nih.gov/pmc/blobs/2c61/9363598/9abef370de78/pjab-98-336-g014.jpg
https://cdn.ncbi.nlm.nih.gov/pmc/blobs/2c61/9363598/cff9aeaf2c10/pjab-98-336-g015.jpg
https://cdn.ncbi.nlm.nih.gov/pmc/blobs/2c61/9363598/15538ed061d2/pjab-98-336-g016.jpg
https://cdn.ncbi.nlm.nih.gov/pmc/blobs/2c61/9363598/9424602bdd6d/pjab-98-336-g001.jpg
https://cdn.ncbi.nlm.nih.gov/pmc/blobs/2c61/9363598/d2a13d4cb8e2/pjab-98-336-g002.jpg
https://cdn.ncbi.nlm.nih.gov/pmc/blobs/2c61/9363598/364092c70b47/pjab-98-336-g003.jpg
https://cdn.ncbi.nlm.nih.gov/pmc/blobs/2c61/9363598/e7082102581a/pjab-98-336-g004.jpg
https://cdn.ncbi.nlm.nih.gov/pmc/blobs/2c61/9363598/5fbbff02e119/pjab-98-336-g005.jpg
https://cdn.ncbi.nlm.nih.gov/pmc/blobs/2c61/9363598/1a6efdcc27bd/pjab-98-336-g006.jpg
https://cdn.ncbi.nlm.nih.gov/pmc/blobs/2c61/9363598/441d98a9bb96/pjab-98-336-g007.jpg
https://cdn.ncbi.nlm.nih.gov/pmc/blobs/2c61/9363598/4646d7e3c36b/pjab-98-336-g008.jpg
https://cdn.ncbi.nlm.nih.gov/pmc/blobs/2c61/9363598/57660b543d3e/pjab-98-336-g009.jpg
https://cdn.ncbi.nlm.nih.gov/pmc/blobs/2c61/9363598/b2f5f6ee40e4/pjab-98-336-g010.jpg
https://cdn.ncbi.nlm.nih.gov/pmc/blobs/2c61/9363598/c37d36715c7e/pjab-98-336-g011.jpg
https://cdn.ncbi.nlm.nih.gov/pmc/blobs/2c61/9363598/22c7d7f55580/pjab-98-336-g012.jpg
https://cdn.ncbi.nlm.nih.gov/pmc/blobs/2c61/9363598/bb0426fa6d44/pjab-98-336-g013.jpg
https://cdn.ncbi.nlm.nih.gov/pmc/blobs/2c61/9363598/9abef370de78/pjab-98-336-g014.jpg
https://cdn.ncbi.nlm.nih.gov/pmc/blobs/2c61/9363598/cff9aeaf2c10/pjab-98-336-g015.jpg
https://cdn.ncbi.nlm.nih.gov/pmc/blobs/2c61/9363598/15538ed061d2/pjab-98-336-g016.jpg

相似文献

1
Design and synthesis of biologically active carbaglycosylamines: From glycosidase inhibitors to pharmacological chaperones.生物活性碳糖基胺的设计与合成:从糖苷酶抑制剂到药理学伴侣。
Proc Jpn Acad Ser B Phys Biol Sci. 2022;98(7):336-360. doi: 10.2183/pjab.98.018.
2
Development and medical application of unsaturated carbaglycosylamine glycosidase inhibitors.不饱和碳糖苷胺糖苷酶抑制剂的研发与医学应用
Mini Rev Med Chem. 2007 Jul;7(7):679-91. doi: 10.2174/138955707781024508.
3
Recent developments in design and synthesis of bicyclic azasugars, carbasugars and related molecules as glycosidase inhibitors.近年来双环氮杂糖、碳环糖和相关分子作为糖苷酶抑制剂的设计和合成的新进展。
Chem Soc Rev. 2013 Jun 21;42(12):5102-18. doi: 10.1039/c3cs35525j.
4
Transformation of quercitols into 4-methylenecyclohex-5-ene-1,2,3-triol derivatives, precursors for the chemical chaperones N-octyl-4-epi-β-valienamine (NOEV) and N-octyl-β-valienamine (NOV).将槲皮素转化为 4-亚甲基环己-5-烯-1,2,3-三醇衍生物,这是化学伴侣 N-辛基-4-表-β-别苏氨酸(NOEV)和 N-辛基-β-别苏氨酸(NOV)的前体。
Bioorg Med Chem Lett. 2011 Dec 1;21(23):7189-92. doi: 10.1016/j.bmcl.2011.09.067. Epub 2011 Sep 24.
5
Novel stereoselective syntheses of -octyl-β-valienamine (NOV) and -octyl-4--β-valienamine (NOEV) from (-)-shikimic acid.以(-)-莽草酸为原料立体选择性合成新辛基-β-缬氨烯胺(NOV)和新辛基-4-脱氧-β-缬氨烯胺(NOEV) 。
RSC Adv. 2019 Dec 18;9(72):42077-42084. doi: 10.1039/c9ra09235h.
6
Synthesis of valiolamine and some precursors for bioactive carbaglycosylamines from (-)-vibo-quercitol produced by biogenesis of myo-inositol.由肌醇生物合成产生的 (-)-vibo-槲皮醇合成壳寡糖胺及其生物活性氨基糖的一些前体。
J Nat Prod. 2007 Mar;70(3):493-7. doi: 10.1021/np068069t. Epub 2007 Mar 9.
7
Chaperone therapy for neuronopathic lysosomal diseases: competitive inhibitors as chemical chaperones for enhancement of mutant enzyme activities.针对神经元病变型溶酶体疾病的伴侣蛋白疗法:竞争性抑制剂作为化学伴侣蛋白以增强突变酶活性。
Perspect Medicin Chem. 2009 May 26;3:7-19. doi: 10.4137/pmc.s2332.
8
Vinyl Halide-Modified Unsaturated Cyclitols are Mechanism-Based Glycosidase Inhibitors.乙烯基卤代改性不饱和环糖醇是基于机制的糖苷酶抑制剂。
Angew Chem Int Ed Engl. 2023 May 15;62(21):e202301258. doi: 10.1002/anie.202301258. Epub 2023 Apr 14.
9
A Morita-Baylis-Hillman based route to C-5a-chain-extended 4-epi-isofagomine type glycosidase inhibitors.一种基于森田-贝利斯-希尔曼反应的合成C-5a链延长的4-表异法戈明型糖苷酶抑制剂的路线。
Carbohydr Res. 2017 Apr 10;442:31-40. doi: 10.1016/j.carres.2017.03.003. Epub 2017 Mar 6.
10
Selective glycosidase inhibitors: A patent review (2012-present).选择性糖苷酶抑制剂:专利研究综述(2012 年至今)。
Int J Biol Macromol. 2018 May;111:82-91. doi: 10.1016/j.ijbiomac.2017.12.148. Epub 2018 Jan 2.

本文引用的文献

1
Novel stereoselective syntheses of -octyl-β-valienamine (NOV) and -octyl-4--β-valienamine (NOEV) from (-)-shikimic acid.以(-)-莽草酸为原料立体选择性合成新辛基-β-缬氨烯胺(NOV)和新辛基-4-脱氧-β-缬氨烯胺(NOEV) 。
RSC Adv. 2019 Dec 18;9(72):42077-42084. doi: 10.1039/c9ra09235h.
2
Metabolism of Glycosphingolipids and Their Role in the Pathophysiology of Lysosomal Storage Disorders.糖脂代谢及其在溶酶体贮积症发病机制中的作用。
Int J Mol Sci. 2020 Sep 19;21(18):6881. doi: 10.3390/ijms21186881.
3
Chaperone therapy for molecular pathology in lysosomal diseases.
分子病理学伴侣治疗溶酶体贮积症。
Brain Dev. 2021 Jan;43(1):45-54. doi: 10.1016/j.braindev.2020.06.015. Epub 2020 Jul 29.
4
Migalastat: A Review in Fabry Disease.米拉葡萄糖胺:法布瑞氏症的治疗选择。
Drugs. 2019 Apr;79(5):543-554. doi: 10.1007/s40265-019-01090-4.
5
Lysosomal storage diseases.溶酶体贮积症。
Nat Rev Dis Primers. 2018 Oct 1;4(1):27. doi: 10.1038/s41572-018-0025-4.
6
Pharmacological Chaperones: Design and Development of New Therapeutic Strategies for the Treatment of Conformational Diseases.药理伴侣分子:治疗构象疾病新治疗策略的设计与开发
ACS Chem Biol. 2016 Jun 17;11(6):1471-89. doi: 10.1021/acschembio.6b00195. Epub 2016 Apr 28.
7
Glycomimetic-based pharmacological chaperones for lysosomal storage disorders: lessons from Gaucher, GM1-gangliosidosis and Fabry diseases.用于溶酶体贮积症的基于糖模拟物的药理伴侣分子:来自戈谢病、GM1神经节苷脂贮积症和法布里病的经验教训
Chem Commun (Camb). 2016 Apr 25;52(32):5497-515. doi: 10.1039/c6cc01564f.
8
pH-Responsive Pharmacological Chaperones for Rescuing Mutant Glycosidases.pH 响应性药理学伴侣用于拯救突变糖苷酶。
Angew Chem Int Ed Engl. 2015 Sep 28;54(40):11696-700. doi: 10.1002/anie.201505147. Epub 2015 Aug 7.
9
Structural basis of pharmacological chaperoning for human β-galactosidase.人β-半乳糖苷酶药物伴侣作用的结构基础
J Biol Chem. 2014 May 23;289(21):14560-8. doi: 10.1074/jbc.M113.529529. Epub 2014 Apr 15.
10
Concise syntheses of potent chaperone drug candidates, N-octyl-4-epi-β-valinenamine (NOEV) and its 6-deoxy derivative, from (+)-proto-quercitol.从(+)-原儿茶醛出发简明合成具有效力的伴侣药物候选物 N-辛基-4-表-β-缬氨醇胺(NOEV)及其 6-脱氧衍生物。
Carbohydr Res. 2013 Mar 7;368:8-15. doi: 10.1016/j.carres.2012.12.010. Epub 2012 Dec 19.