Suppr超能文献

圈套辅助内镜黏膜下剥离术治疗胃肠道息肉后息肉切除术后延迟出血的危险因素

Risk factors of delayed post-polypectomy bleeding after treatment of gastrointestinal polyps with snare-assisted endoscopic sub-mucosal dissection.

作者信息

Lu Xiuyan, Ma Ji

机构信息

Department of Gastroenterology, Zhuji People's Hospital of Zhejiang Province, Zhuji, Zhejiang Province, China.

Department of Gastroenterology, The First People's Hospital of Yongkang, Yongkang, Zhejiang Province, China.

出版信息

J Minim Access Surg. 2023 Apr-Jun;19(2):272-277. doi: 10.4103/jmas.jmas_6_22.

Abstract

CONTEXT

Gastrointestinal polyps are common gastrointestinal diseases that involve localised hyperplastic masses derived from gastrointestinal mucosa.

AIMS

To investigate the risk factors of delayed post-polypectomy bleeding (DPPB) after the treatment of gastrointestinal polyps with snare-assisted endoscopic sub-mucosal dissection (ESD) and to construct a nomogram model to predict the risk of DPPB.

SETTINGS AND DESIGN

A total of 226 patients who underwent snare-assisted ESD for gastrointestinal polyps from May 2018 to November 2020 were divided into DPPB group (n = 10) and non-DPPB group (n = 216).

SUBJECTS AND METHODS

The correlations of clinical data and endoscopic data with DPPB were compared. Univariate analysis was performed to screen the influencing factors of DPPB. Multivariate logistic regression analysis was used to screen the risk factors of DPPB, which was employed to construct a nomogram prediction model.

STATISTICAL ANALYSIS USED

SPSS 16.0 software was utilised for statistical analysis. Numerical data were expressed as percentage (n [%]), and Chi-square test was performed for univariate analysis. The significant factors (P < 0.05) in univariate analysis were included in multivariate logistic regression analysis, and the variables with statistical significance (P < 0.05) were considered as independent risk factors. The factors were used to construct a nomogram model for predicting the risk of DPPB. Bootstrap method was employed to perform repeated sampling 1000 times for internal verification. The consistency index (C-index) was used to evaluate the discrimination of the model, and C-index ≥0.70 represented a good discrimination. Two-tailed P < 0.05 indicated that a difference was statistically significant.

RESULTS

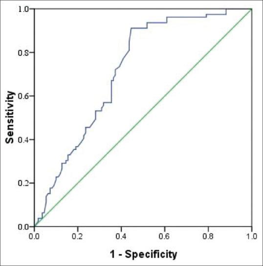
Univariate and multivariate logistic regression analyses revealed that hypertension, polyp location, polyp diameter, polyp morphology and intra-operative bleeding were the independent risk factors for DPPB (P < 0.05). The C-index of the nomogram model for predicting the risk of DPPB was 0.791, indicating a good discrimination. The calibration curve showed that the mean absolute error between predicted and actual DPPB occurrence risks was 0.014, indicating a high accuracy.

CONCLUSIONS

Hypertension, polyp location, polyp diameter, polyp morphology and intra-operative bleeding are the independent risk factors for DPPB, and the nomogram model established based on these factors for prediction has good discrimination and accuracy. Therefore, it is recommended to perform targeted intervention for high-risk groups to reduce the incidence of DPPB.

摘要

背景

胃肠道息肉是常见的胃肠道疾病,是源自胃肠道黏膜的局限性增生性肿物。

目的

探讨圈套辅助内镜黏膜下剥离术(ESD)治疗胃肠道息肉后迟发性息肉切除术后出血(DPPB)的危险因素,并构建列线图模型预测DPPB风险。

设置与设计

选取2018年5月至2020年11月期间接受圈套辅助ESD治疗胃肠道息肉的226例患者,分为DPPB组(n = 10)和非DPPB组(n = 216)。

研究对象与方法

比较临床资料和内镜资料与DPPB的相关性。进行单因素分析以筛选DPPB的影响因素。采用多因素logistic回归分析筛选DPPB的危险因素,并构建列线图预测模型。

所用统计分析方法

采用SPSS 16.0软件进行统计分析。数值资料以百分比(n [%])表示,单因素分析采用卡方检验。单因素分析中有统计学意义(P < 0.05)的因素纳入多因素logistic回归分析,具有统计学意义(P < 0.05)的变量被视为独立危险因素。这些因素用于构建预测DPPB风险的列线图模型。采用Bootstrap法进行1000次重复抽样进行内部验证。一致性指数(C-index)用于评估模型的区分度,C-index≥0.70表示区分度良好。双侧P < 0.05表示差异有统计学意义。

结果

单因素和多因素logistic回归分析显示,高血压、息肉部位、息肉直径、息肉形态和术中出血是DPPB的独立危险因素(P < 0.05)。预测DPPB风险的列线图模型的C-index为0.791,表明区分度良好。校准曲线显示,预测的和实际的DPPB发生风险之间的平均绝对误差为0.014,表明准确性高。

结论

高血压、息肉部位、息肉直径、息肉形态和术中出血是DPPB的独立危险因素,基于这些因素建立的列线图模型预测具有良好的区分度和准确性。因此,建议对高危人群进行针对性干预以降低DPPB的发生率。

https://cdn.ncbi.nlm.nih.gov/pmc/blobs/2fd7/10246633/d9ec79157c40/JMAS-19-272-g001.jpg

文献检索

告别复杂PubMed语法,用中文像聊天一样搜索,搜遍4000万医学文献。AI智能推荐,让科研检索更轻松。

立即免费搜索

文件翻译

保留排版,准确专业,支持PDF/Word/PPT等文件格式,支持 12+语言互译。

免费翻译文档

深度研究

AI帮你快速写综述,25分钟生成高质量综述,智能提取关键信息,辅助科研写作。

立即免费体验