Suppr超能文献

评估斯里兰卡卡卢特勒地区伊蚊幼虫指数与登革热风险之间的关联:2010 年至 2019 年的分层时间序列分析。

Assessing the associations between Aedes larval indices and dengue risk in Kalutara district, Sri Lanka: a hierarchical time series analysis from 2010 to 2019.

机构信息

Department of Epidemiology and Global Health, Umeå University, Umeå, Sweden.

Ministry of Health, Colombo, Sri Lanka.

出版信息

Parasit Vectors. 2022 Aug 3;15(1):277. doi: 10.1186/s13071-022-05377-6.

Abstract

BACKGROUND

Dengue is a major public health problem in Sri Lanka. Aedes vector surveillance and monitoring of larval indices are routine, long-established public health practices in the country. However, the association between Aedes larval indices and dengue incidence is poorly understood. It is crucial to evaluate lagged effects and threshold values of Aedes larval indices to set pragmatic targets for sustainable vector control interventions.

METHODS

Monthly Aedes larval indices and dengue cases in all 10 Medical Officer of Health (MOH) divisions in Kalutara district were obtained from 2010 to 2019. Using a novel statistical approach, a distributed lag non-linear model and a two-staged hierarchical meta-analysis, we estimated the overall non-linear and delayed effects of the Premise Index (PI), Breteau Index (BI) and Container Index (CI) on dengue incidence in Kalutara district. A set of MOH division-specific variables were evaluated within the same meta-analytical framework to determine their moderator effects on dengue risk. Using generalized additive models, we assessed the utility of Aedes larval indices in predicting dengue incidence.

RESULTS

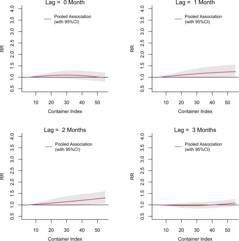
We found that all three larval indices were associated with dengue risk at a lag of 1 to 2 months. The relationship between PI and dengue was homogeneous across MOH divisions, whereas that with BI and CI was heterogeneous. The threshold values of BI, PI and CI associated with dengue risk were 2, 15 and 45, respectively. All three indices showed a low to moderate accuracy in predicting dengue risk in Kalutara district.

CONCLUSIONS

This study showed the potential of vector surveillance information in Kalutara district in developing a threshold-based, location-specific early warning system with a lead time of 2 months. The estimated thresholds are nonetheless time-bound and may not be universally applicable. Whenever longitudinal vector surveillance data areavailable, the methodological framework we propose here can be used to estimate location-specific Aedes larval index thresholds in any other dengue-endemic setting.

摘要

背景

登革热是斯里兰卡的一个主要公共卫生问题。在该国,伊蚊媒介监测和幼虫指数监测是常规的、长期存在的公共卫生做法。然而,伊蚊幼虫指数与登革热发病率之间的关系尚未得到很好的理解。评估伊蚊幼虫指数的滞后效应和阈值对于制定可持续的病媒控制干预目标至关重要。

方法

从 2010 年到 2019 年,从卡尔图拉区的所有 10 个卫生官员区获得每月伊蚊幼虫指数和登革热病例。使用一种新的统计方法,即分布滞后非线性模型和两阶段分层荟萃分析,我们估计了 Premise 指数(PI)、布雷图指数(BI)和容器指数(CI)对卡尔图拉区登革热发病率的总体非线性和延迟影响。在同一荟萃分析框架内评估了一组特定于卫生官员区的变量,以确定它们对登革热风险的调节作用。使用广义加性模型,我们评估了伊蚊幼虫指数在预测登革热发病率方面的效用。

结果

我们发现,所有三个幼虫指数在滞后 1 至 2 个月时均与登革热风险相关。PI 与登革热之间的关系在卫生官员区之间是同质的,而 BI 和 CI 之间的关系是异质的。与登革热风险相关的 BI、PI 和 CI 的阈值分别为 2、15 和 45。所有三个指数在预测卡尔图拉区登革热风险方面均具有低至中等的准确性。

结论

本研究表明,卡尔图拉区的媒介监测信息有可能开发出一种基于阈值的、具有 2 个月前置时间的特定地点早期预警系统。然而,估计的阈值是有时间限制的,可能不适用于所有地方。只要有纵向媒介监测数据,我们在这里提出的方法框架就可以用于估计任何其他登革热流行地区的特定地点伊蚊幼虫指数阈值。

https://cdn.ncbi.nlm.nih.gov/pmc/blobs/964d/9351248/651894b7ac24/13071_2022_5377_Fig1_HTML.jpg

相似文献

6
Breteau index as a promising early warning signal for dengue fever outbreaks in the Colombo District, Sri Lanka.
Acta Trop. 2019 Nov;199:105155. doi: 10.1016/j.actatropica.2019.105155. Epub 2019 Aug 24.
7
Evaluation of the Effects of Vector Indices and Climatic Factors on Dengue Incidence in Gampaha District, Sri Lanka.
Biomed Res Int. 2019 Jan 31;2019:2950216. doi: 10.1155/2019/2950216. eCollection 2019.

引用本文的文献

1
An AI-based gravitrap surveillance for spatial interaction analysis in predicting aedes risk.
Int J Health Geogr. 2025 Aug 6;24(1):22. doi: 10.1186/s12942-025-00403-z.
4
Serotype-specific clinical features and spatial distribution of dengue in northern Kerala, India.
J Family Med Prim Care. 2024 Aug;13(8):3049-3058. doi: 10.4103/jfmpc.jfmpc_1937_23. Epub 2024 Jul 26.
5
Current and lagged associations of meteorological variables and Aedes mosquito indices with dengue incidence in the Philippines.
PLoS Negl Trop Dis. 2024 Jul 23;18(7):e0011603. doi: 10.1371/journal.pntd.0011603. eCollection 2024 Jul.
7
Challenge and opportunity for vector control strategies on key mosquito-borne diseases during the COVID-19 pandemic.
Front Public Health. 2023 Jul 24;11:1207293. doi: 10.3389/fpubh.2023.1207293. eCollection 2023.

文献AI研究员

20分钟写一篇综述,助力文献阅读效率提升50倍。

立即体验

用中文搜PubMed

大模型驱动的PubMed中文搜索引擎

马上搜索

文档翻译

学术文献翻译模型,支持多种主流文档格式。

立即体验