• 文献检索
  • 文档翻译
  • 深度研究
  • 学术资讯
  • Suppr Zotero 插件Zotero 插件
  • 邀请有礼
  • 套餐&价格
  • 历史记录
应用&插件
Suppr Zotero 插件Zotero 插件浏览器插件Mac 客户端Windows 客户端微信小程序
定价
高级版会员购买积分包购买API积分包
服务
文献检索文档翻译深度研究API 文档MCP 服务
关于我们
关于 Suppr公司介绍联系我们用户协议隐私条款
关注我们

Suppr 超能文献

核心技术专利:CN118964589B侵权必究
粤ICP备2023148730 号-1Suppr @ 2026

文献检索

告别复杂PubMed语法,用中文像聊天一样搜索,搜遍4000万医学文献。AI智能推荐,让科研检索更轻松。

立即免费搜索

文件翻译

保留排版,准确专业,支持PDF/Word/PPT等文件格式,支持 12+语言互译。

免费翻译文档

深度研究

AI帮你快速写综述,25分钟生成高质量综述,智能提取关键信息,辅助科研写作。

立即免费体验

近视患病率:中国潍坊地区儿童和青少年的大规模基于人群的研究。

Prevalence of myopia: A large-scale population-based study among children and adolescents in weifang, china.

机构信息

Department of Environmental Hygiene, School of Public Health, Weifang Medical University, Weifang, China.

Department of Ophthalmology, Weifang Eye Hospital, Weifang, China.

出版信息

Front Public Health. 2022 Jul 25;10:924566. doi: 10.3389/fpubh.2022.924566. eCollection 2022.

DOI:10.3389/fpubh.2022.924566
PMID:35958863
原文链接:https://pmc.ncbi.nlm.nih.gov/articles/PMC9358211/
Abstract

PURPOSE

This study aimed to determine the prevalence of myopia among school-aged children and adolescents at the whole city level of Weifang, China.

METHODS

This study was a large scale school-based cross-sectional study among children and adolescents aged 5-20 years old. Participants were selected by the school-based registration system in 2020. All the subjects underwent spherical equivalent (SE) error with non-cycloplegic autorefraction measurement. Myopia was defined as an SE refraction of ≤-0.75 diopters (D) and graded into low myopia (-0.75 to -3.00 D), moderate myopia (-3.01 to -5.99 D), and high myopia (≤-6.00 D).

RESULTS

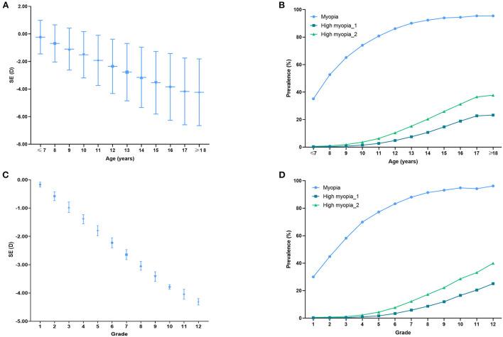
A total of 1,059,838 participants were eligible for this survey and 1,013,206 (95.6% participation rate) were selected through data quality control, which comprised 17 districts/counties and 1,254 schools, including 861 elementary schools, 313 middle schools, and 80 high schools. The mean age of participants was 11.57 ± 3.36 years (5-20 years), and the male-to-female ratio was 1.11. The whole city-level prevalence of total myopia was 75.35%. The prevalence of total myopia among the students in the Hanting District was 45.47%, but ≈82.37% of students living in Changyi have myopia. The overall prevalence of low myopia in elementary, middle, and high school students was 48.56, 47.30, and 31.62%, respectively, while high myopia (SE ≤ -6.00 D) prevalence was 1.12, 8.89, and 20.12%, respectively. The overall prevalence of myopia increased fastest in children aged 7-9 years old. The prevalence of high myopia was 7.59% for girls and 6.43% for boys, respectively ( < 0.001). The prevalence of myopia increased with increasing age and grade, but SE decreased with increasing age and grade.

CONCLUSIONS

The current investigation demonstrated a high proportion of myopia among school students in the city of Weifang, and gradually increased with age, and the prevalence of myopia was the highest in Changyi areas. The high myopia prevalence for girls was higher than that in boys.

摘要

目的

本研究旨在确定中国潍坊市全市范围内学龄儿童和青少年近视的患病率。

方法

这是一项针对 5-20 岁儿童和青少年的大规模基于学校的横断面研究。参与者通过 2020 年的基于学校的注册系统进行选择。所有受试者均接受非睫状肌麻痹自动折射测量的球镜等效(SE)误差。近视定义为 SE 屈光度数≤-0.75 屈光度(D),并分为低度近视(-0.75 至-3.00 D)、中度近视(-3.01 至-5.99 D)和高度近视(≤-6.00 D)。

结果

共有 1059838 名参与者符合本调查条件,通过数据质量控制后,有 1013206 名(95.6%的参与率)参与者被选中,其中包括 17 个区/县和 1254 所学校,包括 861 所小学、313 所中学和 80 所高中。参与者的平均年龄为 11.57±3.36 岁(5-20 岁),男女比例为 1.11。全市总近视患病率为 75.35%。汉庭区学生总近视患病率为 45.47%,但昌邑地区约 82.37%的学生患有近视。小学生、中学生和高中生的低度近视总患病率分别为 48.56%、47.30%和 31.62%,高度近视(SE≤-6.00 D)的患病率分别为 1.12%、8.89%和 20.12%。7-9 岁儿童近视患病率增长最快。女生高度近视患病率为 7.59%,男生为 6.43%(<0.001)。近视患病率随年龄和年级的增长而逐渐增加,而 SE 则随年龄和年级的增长而降低。

结论

目前的调查显示,潍坊市学生近视比例较高,且随年龄增长而逐渐增加,近视患病率在昌邑地区最高。女生高度近视的患病率高于男生。

https://cdn.ncbi.nlm.nih.gov/pmc/blobs/0d9f/9358211/6fb11f0237a4/fpubh-10-924566-g0002.jpg
https://cdn.ncbi.nlm.nih.gov/pmc/blobs/0d9f/9358211/682748a0031c/fpubh-10-924566-g0001.jpg
https://cdn.ncbi.nlm.nih.gov/pmc/blobs/0d9f/9358211/6fb11f0237a4/fpubh-10-924566-g0002.jpg
https://cdn.ncbi.nlm.nih.gov/pmc/blobs/0d9f/9358211/682748a0031c/fpubh-10-924566-g0001.jpg
https://cdn.ncbi.nlm.nih.gov/pmc/blobs/0d9f/9358211/6fb11f0237a4/fpubh-10-924566-g0002.jpg

相似文献

1
Prevalence of myopia: A large-scale population-based study among children and adolescents in weifang, china.近视患病率:中国潍坊地区儿童和青少年的大规模基于人群的研究。
Front Public Health. 2022 Jul 25;10:924566. doi: 10.3389/fpubh.2022.924566. eCollection 2022.
2
The increasing prevalence of myopia in junior high school students in the Haidian District of Beijing, China: a 10-year population-based survey.中国北京市海淀区初中生近视患病率上升:一项基于人群的10年调查
BMC Ophthalmol. 2017 Jun 12;17(1):88. doi: 10.1186/s12886-017-0483-6.
3
Study on the prevalence of myopia and its associated factors in China: a systemic review.中国近视患病率及其相关因素的研究:一项系统综述。
Eur Rev Med Pharmacol Sci. 2023 Sep;27(17):7997-8003. doi: 10.26355/eurrev_202309_33559.
4
Myopia prevalence and ocular biometry in children and adolescents at different altitudes: a cross-sectional study in Chongqing and Tibet, China.中国重庆和西藏不同海拔地区儿童和青少年近视患病率及眼生物学参数的横断面研究。
BMJ Open. 2024 May 1;14(5):e078018. doi: 10.1136/bmjopen-2023-078018.
5
Refractive status and prevalence of myopia among Chinese primary school students.中国小学生的屈光状态和近视患病率。
Clin Exp Optom. 2020 Mar;103(2):177-183. doi: 10.1111/cxo.12980. Epub 2019 Oct 31.
6
Increasing prevalence of myopia and the impact of education in primary-school students in Xi'an, north-western of China.中国西北地区西安市小学生近视的患病率增加及其对教育的影响。
Front Public Health. 2022 Dec 19;10:1070984. doi: 10.3389/fpubh.2022.1070984. eCollection 2022.
7
Incidence of and Factors Associated With Myopia and High Myopia in Chinese Children, Based on Refraction Without Cycloplegia.基于不散瞳折射的中国儿童近视和高度近视的发生率及相关因素
JAMA Ophthalmol. 2018 Sep 1;136(9):1017-1024. doi: 10.1001/jamaophthalmol.2018.2658.
8
Prevalence of myopia and vision impairment in school students in Eastern China.中国东部地区学生近视和视力损害的患病率。
BMC Ophthalmol. 2020 Jan 2;20(1):2. doi: 10.1186/s12886-019-1281-0.
9
The Myopia Prevalence and Association With Physical Activity Among Primary School Students Aged 6-12 Years: A Cross-Sectional Study in Tianjin, China.中国天津市 6-12 岁小学生近视患病率及其与体力活动的关系:一项横断面研究。
Transl Vis Sci Technol. 2024 Jun 3;13(6):4. doi: 10.1167/tvst.13.6.4.
10
Prevalence and associations of myopia in Hong Kong primary school students.香港小学生近视的患病率及其关联因素
Jpn J Ophthalmol. 2020 Jul;64(4):437-449. doi: 10.1007/s10384-020-00733-4. Epub 2020 Mar 16.

引用本文的文献

1
Impact of phakic intraocular lens implantation on anxiety and depression in patients with high myopia.有晶状体眼人工晶状体植入术对高度近视患者焦虑和抑郁的影响。
World J Psychiatry. 2025 Sep 19;15(9):107924. doi: 10.5498/wjp.v15.i9.107924.
2
Myopic-Net: Deep Learning-Based Direct Identification of Myopia Onset and Progression.近视网络:基于深度学习的近视发病与进展的直接识别
Transl Vis Sci Technol. 2025 Aug 1;14(8):38. doi: 10.1167/tvst.14.8.38.
3
Influence of dynamic changes of ocular biometric parameters on new-onset myopia in Chinese children: a 4-year cohort study.

本文引用的文献

1
The change of myopic prevalence in children and adolescents before and after COVID-19 pandemic in Suqian, China.中国宿迁 COVID-19 大流行前后儿童和青少年近视患病率的变化。
PLoS One. 2022 Mar 21;17(3):e0262166. doi: 10.1371/journal.pone.0262166. eCollection 2022.
2
Physical activity, time spent outdoors, and near work in relation to myopia prevalence, incidence, and progression: An overview of systematic reviews and meta-analyses.身体活动、户外活动时间和近距工作与近视患病率、发病率和进展的关系:系统评价和荟萃分析概述。
Indian J Ophthalmol. 2022 Mar;70(3):728-739. doi: 10.4103/ijo.IJO_1564_21.
3
Temporal trends in frequency, type and severity of myopia and associations with key environmental risk factors in the UK: Findings from the UK Biobank Study.
中国儿童眼部生物测量参数动态变化对新发近视的影响:一项4年队列研究
Sci Rep. 2025 Aug 4;15(1):28474. doi: 10.1038/s41598-025-14453-7.
4
Current and emerging strategies for myopia control: a narrative review of optical, pharmacological, behavioural, and adjunctive therapies.近视控制的当前及新出现策略:光学、药理学、行为学及辅助治疗的叙述性综述
Eye (Lond). 2025 Aug 1. doi: 10.1038/s41433-025-03949-1.
5
Exploring the influences of myopia in primary and secondary school students in Xinjiang using propensity score matching.运用倾向得分匹配法探究新疆中小学生近视的影响因素。
Front Med (Lausanne). 2025 May 14;12:1537848. doi: 10.3389/fmed.2025.1537848. eCollection 2025.
6
Students' association of poor eye-use behavior with myopia: focus on study phase.学生不良用眼行为与近视的关联:聚焦学习阶段
BMC Ophthalmol. 2025 Apr 23;25(1):240. doi: 10.1186/s12886-025-04072-1.
7
Knowledge, attitude and practice towards myopia among parents of primary school students: a cross-sectional study.小学生家长对近视的认知、态度和行为:一项横断面研究。
BMJ Open. 2025 Mar 21;15(3):e093565. doi: 10.1136/bmjopen-2024-093565.
8
Prevalence of myopia and refractive parameters among children and adolescents in Hi-tech District of Chengdu City.成都市高新区儿童青少年近视患病率及屈光参数
Front Pediatr. 2025 Feb 3;12:1502660. doi: 10.3389/fped.2024.1502660. eCollection 2024.
9
Electroacupuncture alleviates damage to myopic RGCs probably through lncRNA-XR_002789763.1-mediated mitophagy.电针可能通过lncRNA-XR_002789763.1介导的线粒体自噬减轻近视性视网膜神经节细胞损伤。
Chin Med. 2025 Feb 2;20(1):16. doi: 10.1186/s13020-025-01058-5.
10
Myopia in Children: Epidemiology, Genetics, and Emerging Therapies for Treatment and Prevention.儿童近视:流行病学、遗传学以及治疗与预防的新兴疗法
Children (Basel). 2024 Nov 27;11(12):1446. doi: 10.3390/children11121446.
英国生物库研究:英国近视的频率、类型和严重程度的时间趋势及其与主要环境风险因素的关系。
PLoS One. 2022 Jan 19;17(1):e0260993. doi: 10.1371/journal.pone.0260993. eCollection 2022.
4
Prevalence of myopia and high myopia, and the association with education: Shanghai Child and Adolescent Large-scale Eye Study (SCALE): a cross-sectional study.近视和高度近视的患病率,以及与教育的关系:上海儿童和青少年大规模眼研究(SCALE):一项横断面研究。
BMJ Open. 2021 Dec 23;11(12):e048450. doi: 10.1136/bmjopen-2020-048450.
5
Physical Activity Spaces Not Effective against Socioeconomic Inequalities in Myopia Incidence: The Generation R Study.体力活动空间对近视发病率的社会经济不平等状况没有效果:生育队列研究。
Optom Vis Sci. 2021 Dec 1;98(12):1371-1378. doi: 10.1097/OPX.0000000000001809.
6
Prevalence of myopia in 3-14-year-old Chinese children: a school-based cross-sectional study in Chengdu.中国 3-14 岁儿童近视患病率的研究:成都地区一项基于学校的横断面研究。
BMC Ophthalmol. 2021 Sep 1;21(1):318. doi: 10.1186/s12886-021-02071-6.
7
Design, methodology, and baseline of whole city-million scale children and adolescents myopia survey (CAMS) in Wenzhou, China.中国温州全市百万规模儿童青少年近视调查(CAMS)的设计、方法及基线情况
Eye Vis (Lond). 2021 Aug 19;8(1):31. doi: 10.1186/s40662-021-00255-1.
8
A review on the epidemiology of myopia in school children worldwide.一项关于全球学龄儿童近视流行病学的综述。
BMC Ophthalmol. 2020 Jan 14;20(1):27. doi: 10.1186/s12886-019-1220-0.
9
Refractive status and prevalence of myopia among Chinese primary school students.中国小学生的屈光状态和近视患病率。
Clin Exp Optom. 2020 Mar;103(2):177-183. doi: 10.1111/cxo.12980. Epub 2019 Oct 31.
10
High myopia and its risks.高度近视及其风险。
Community Eye Health. 2019;32(105):5-6.