Suppr超能文献

肝脂肪变性指数与中国 2 型糖尿病发病风险:一项基于一般人群队列研究的新见解。

Hepatic Steatosis Index and the Risk of Type 2 Diabetes Mellitus in China: Insights from a General Population-Based Cohort Study.

机构信息

Hypertension Center of People's Hospital of Xinjiang Uygur Autonomous Region, Xinjiang Hypertension Institute, National Health Committee Key Laboratory of Hypertension Clinical Research, Key Laboratory of Xinjiang Uygur Autonomous Region, Xinjiang Clinical Medical Research Center for Hypertension Diseases, Urumqi, Xinjiang, China.

Research and Education Center of Xinjiang Uygur Autonomous Region People's Hospital, Urumqi, Xinjiang, China.

出版信息

Dis Markers. 2022 Aug 3;2022:3150380. doi: 10.1155/2022/3150380. eCollection 2022.

Abstract

PURPOSE

In the Chinese population, we looked at the relationship between the hepatic steatosis index (HSI) and the risk of type 2 diabetes mellitus (T2DM).

METHODS

To evaluate the association between HSI and the risk of T2DM, Cox regression models were employed. Hazard ratios (HR) and 95 percent confidence intervals (CI) were computed. A stratified analysis with interaction testing was also carried out. Additionally, we evaluated the incremental predictive value of the HSI over the established risk factors using the C-statistic, the IDI, and the NRI.

RESULTS

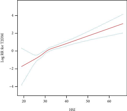
During a median follow-up period of 2.97 years, 433 (1.97%) participants developed new-onset T2DM. The smoothing curve fit plot showed a positive correlation between HSI and the risk of T2DM. After adjusting for all noncollinear variables, the risk of T2DM increased by 62% for every 1 standard deviation (SD) increase in HSI. Subgroup analysis indicated that higher HSI levels were associated with a higher risk of T2DM in those aged < 40 years. The addition of HSI enhanced the reclassification and discrimination of established risk factors, with an IDI of 0.027 and an NRI of 0.348 (both < 0.001).

CONCLUSION

Our findings suggest that an elevated HSI is substantially associated with a greater risk of T2DM in the Chinese population. HSI has the potential to be an available and supplementary monitoring method for the management of T2DM risk stratification in the Chinese population.

摘要

目的

在中国人群中,我们研究了肝脂肪变性指数(HSI)与 2 型糖尿病(T2DM)风险之间的关系。

方法

为了评估 HSI 与 T2DM 风险之间的关联,我们采用了 Cox 回归模型。计算了危险比(HR)和 95%置信区间(CI)。还进行了分层分析和交互检验。此外,我们使用 C 统计量、IDI 和 NRI 评估了 HSI 对已建立的危险因素的增量预测价值。

结果

在中位随访 2.97 年期间,433 名(1.97%)参与者发生了新诊断的 T2DM。平滑曲线拟合图显示 HSI 与 T2DM 风险之间呈正相关。在调整所有非共线性变量后,HSI 每增加 1 个标准差(SD),T2DM 的风险增加 62%。亚组分析表明,在年龄<40 岁的人群中,较高的 HSI 水平与更高的 T2DM 风险相关。HSI 的加入增强了已建立危险因素的再分类和区分能力,IDI 为 0.027,NRI 为 0.348(均<0.001)。

结论

我们的研究结果表明,在中国人群中,升高的 HSI 与 T2DM 的风险显著相关。HSI 有可能成为中国人群 T2DM 风险分层管理的一种可用的补充监测方法。

https://cdn.ncbi.nlm.nih.gov/pmc/blobs/0f92/9365599/a83e74826a39/DM2022-3150380.001.jpg

文献AI研究员

20分钟写一篇综述,助力文献阅读效率提升50倍。

立即体验

用中文搜PubMed

大模型驱动的PubMed中文搜索引擎

马上搜索

文档翻译

学术文献翻译模型,支持多种主流文档格式。

立即体验