Suppr超能文献

脊髓梗阻相关性与颅颈交界区相关性脊髓空洞症:一项比较研究。

Spinal Obstruction-Related vs. Craniocervical Junction-Related Syringomyelia: A Comparative Study.

作者信息

Yuan Chenghua, Guan Jian, Du Yueqi, Fang Zeyu, Wang Xinyu, Yao Qingyu, Zhang Can, Jia Shanhang, Liu Zhenlei, Wang Kai, Duan Wanru, Wang Xingwen, Wang Zuowei, Wu Hao, Chen Zan, Jian Fengzeng

机构信息

Department of Neurosurgery, Xuanwu Hospital, Capital Medical University, Beijing, China.

Spine Center, China International Neuroscience Institute (CHINA-INI), Beijing, China.

出版信息

Front Neurol. 2022 Aug 1;13:900441. doi: 10.3389/fneur.2022.900441. eCollection 2022.

Abstract

BACKGROUND

No prior reports have focused on spinal cord injury (SCI) characteristics or inflammation after destruction of the blood-spinal cord barrier by syringomyelia. This study aimed to determine the differences in syringomyelia-related central SCI between craniocervical junction (CCJ) syringomyelia and post-traumatic syringomyelia (PTS) before and after decompression.

METHODS

In all, 106 CCJ, 26 CCJ revision and 15 PTS patients (mean history of symptoms, 71.5 ± 94.3, 88.9 ± 85.5, and 32.3 ± 48.9 months) between 2015 and 2019 were included. The symptom course was analyzed with the American Spinal Injury Association ASIA and Klekamp-Samii scoring systems, and neurological changes were analyzed by the Kaplan-Meier statistics. The mean follow-up was 20.7 ± 6.2, 21.7 ± 8.8, and 34.8 ± 19.4 months.

RESULTS

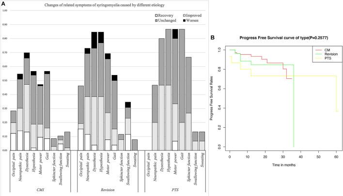
The interval after injury was longer in the PTS group, but the natural history of syringomyelia was shorter ( = 0.0004 and 0.0173, respectively). The initial symptom was usually paraesthesia ( = 0.258), and the other main symptoms were hypoesthesia ( = 0.006) and abnormal muscle strength ( = 0.004), gait ( < 0.0001), and urination ( < 0.0001). SCI associated with PTS was more severe than that associated with the CCJ ( = 0.003). The cavities in the PTS group were primarily located at the thoracolumbar level, while those in the CCJ group were located at the cervical-thoracic segment at the CCJ. The syrinx/cord ratio of the PTS group was more than 75% ( = 0.009), and the intradural adhesions tended to be more severe ( < 0.0001). However, there were no significant differences in long-term clinical efficacy or peripheral blood inflammation markers (PBIMs) except for the red blood cell (RBC) count ( = 0.042).

CONCLUSION

PTS tends to progress faster than CCJ-related syringomyelia. Except for the RBC count, PBIMs showed no value in distinguishing the two forms of syringomyelia. The predictive value of the neutrophil-to-lymphocyte ratio for syringomyelia-related inflammation was negative except in the acute phase.

摘要

背景

既往尚无关于脊髓空洞症破坏血脊髓屏障后脊髓损伤(SCI)特征或炎症的报道。本研究旨在确定颅颈交界区(CCJ)脊髓空洞症和创伤后脊髓空洞症(PTS)减压前后与脊髓空洞症相关的中枢性SCI的差异。

方法

纳入2015年至2019年间的106例CCJ患者、26例CCJ翻修患者和15例PTS患者(症状平均病程分别为71.5±94.3、88.9±85.5和32.3±48.9个月)。采用美国脊髓损伤协会(ASIA)和Klekamp-Samii评分系统分析症状病程,采用Kaplan-Meier统计分析神经功能变化。平均随访时间分别为20.7±6.2、21.7±8.8和34.8±19.4个月。

结果

PTS组损伤后的间隔时间更长,但脊髓空洞症的自然病程更短(分别为P = 0.0004和0.0173)。初始症状通常为感觉异常(P = 0.258),其他主要症状为感觉减退(P = 0.006)、肌力异常(P = 0.004)、步态(P < 0.0001)和排尿(P < 0.0001)。与PTS相关的SCI比与CCJ相关的SCI更严重(P = 0.003)。PTS组的空洞主要位于胸腰段,而CCJ组的空洞位于CCJ处的颈胸段。PTS组的空洞/脊髓比值大于75%(P = 0.009),硬膜内粘连往往更严重(P < 0.0001)。然而,除红细胞(RBC)计数外,长期临床疗效或外周血炎症标志物(PBIMs)无显著差异(P = 0.042)。

结论

PTS的进展往往比CCJ相关的脊髓空洞症更快。除RBC计数外,PBIMs在区分这两种脊髓空洞症形式方面无价值。中性粒细胞与淋巴细胞比值对脊髓空洞症相关炎症的预测价值在急性期外为阴性。

https://cdn.ncbi.nlm.nih.gov/pmc/blobs/1da7/9376629/11ac74c52704/fneur-13-900441-g0001.jpg

文献检索

告别复杂PubMed语法,用中文像聊天一样搜索,搜遍4000万医学文献。AI智能推荐,让科研检索更轻松。

立即免费搜索

文件翻译

保留排版,准确专业,支持PDF/Word/PPT等文件格式,支持 12+语言互译。

免费翻译文档

深度研究

AI帮你快速写综述,25分钟生成高质量综述,智能提取关键信息,辅助科研写作。

立即免费体验