• 文献检索
  • 文档翻译
  • 深度研究
  • 学术资讯
  • Suppr Zotero 插件Zotero 插件
  • 邀请有礼
  • 套餐&价格
  • 历史记录
应用&插件
Suppr Zotero 插件Zotero 插件浏览器插件Mac 客户端Windows 客户端微信小程序
定价
高级版会员购买积分包购买API积分包
服务
文献检索文档翻译深度研究API 文档MCP 服务
关于我们
关于 Suppr公司介绍联系我们用户协议隐私条款
关注我们

Suppr 超能文献

核心技术专利:CN118964589B侵权必究
粤ICP备2023148730 号-1Suppr @ 2026

文献检索

告别复杂PubMed语法,用中文像聊天一样搜索,搜遍4000万医学文献。AI智能推荐,让科研检索更轻松。

立即免费搜索

文件翻译

保留排版,准确专业,支持PDF/Word/PPT等文件格式,支持 12+语言互译。

免费翻译文档

深度研究

AI帮你快速写综述,25分钟生成高质量综述,智能提取关键信息,辅助科研写作。

立即免费体验

山药(薯蓣属)最佳人工授粉时间。

Optimum time for hand pollination in yam (Dioscorea spp.).

机构信息

International Institute of Tropical Agriculture (IITA), Ibadan, Nigeria.

Institute of Life and Earth Sciences, Pan African University, University of Ibadan, Ibadan, Nigeria.

出版信息

PLoS One. 2022 Aug 18;17(8):e0269670. doi: 10.1371/journal.pone.0269670. eCollection 2022.

DOI:10.1371/journal.pone.0269670
PMID:35980958
原文链接:https://pmc.ncbi.nlm.nih.gov/articles/PMC9387836/
Abstract

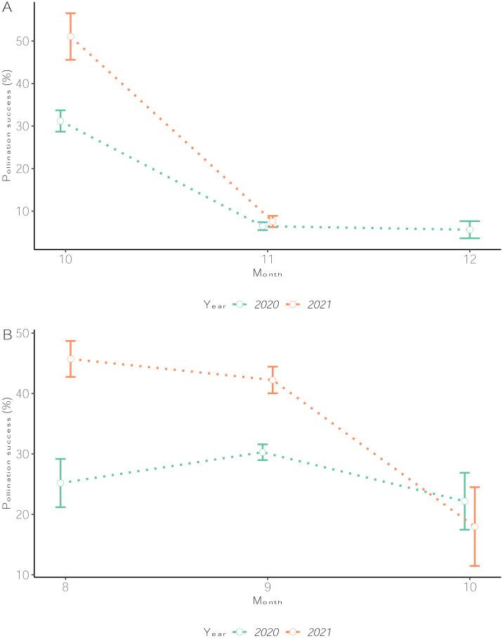
Hand pollination success rate is low in yam (Dioscorea spp.), due partly to suboptimal weather conditions. Thus, determining the most suitable time for pollination could improve the pollination success in yam breeding programs. We performed continuous hand pollination within flowering windows of D. rotundata and D. alata for two consecutive years to determine the most appropriate month, week, and hours of the day allowing maximum pollination success. In D. alata crossing block, we observed significant differences among crossing hours for pollination success (p = 0.003); morning hours (8-12 a.m.) being more conducive than afternoons (12-5 p.m.). No significant differences existed between crossing hours in D. rotundata, though the mid-day seemed optimal. For both species, the time interval 11-12 a.m. was more appropriate for crossing while 4-5 p.m. was the poorest. However, in vitro pollen germination tests showed that mid-day pollen collection (12 noon-2 p.m.) had better results than both extremes, though there were strong genotypic effects on outcomes. Pollination success rates differed significantly among months for D. alata (p < 0.001) but not for D. rotundata (p > 0.05). Differences in pollination success existed across weeks within flowering windows of both D. alata (p < 0.001) and D. rotundata (p = 0.004). The seed production efficiency (SPE) had a similar trend as the pollination success rate. No clear pattern existed between the pollination time and the seed setting rate (SSR) or seed viability (SV), though their dynamics varied with weeks and months. This study provided an insight on the dynamics of pollination outcomes under the influence of pollination times and allows detecting months, weeks, and hours of the day when hybridization activities should be focused for better results.

摘要

山药(薯蓣属)的人工授粉成功率较低,部分原因是天气条件不理想。因此,确定最适合授粉的时间可以提高山药育种计划的授粉成功率。我们在两年内连续对薯蓣属的圆叶薯蓣和山薯进行了开花窗口内的连续人工授粉,以确定允许最大授粉成功率的最适合月份、周和一天中的小时。在山薯杂交块中,我们观察到授粉成功率在杂交小时之间存在显著差异(p=0.003);上午(8-12 点)比下午(12-5 点)更有利于授粉。在圆叶薯蓣中,杂交小时之间没有显著差异,尽管中午似乎是最佳时间。对于这两个物种,11-12 点之间的时间间隔更适合杂交,而 4-5 点之间的时间间隔最差。然而,体外花粉萌发试验表明,中午(12 点-2 点)采集花粉的结果比两个极端都要好,尽管存在强烈的基因型对结果的影响。山薯的授粉成功率在不同月份之间存在显著差异(p<0.001),但在圆叶薯蓣中则没有(p>0.05)。在山薯和圆叶薯蓣的开花窗口内,不同周之间的授粉成功率存在差异(p<0.001 和 p=0.004)。种子生产效率(SPE)与授粉成功率有相似的趋势。授粉时间与结实率(SSR)或种子活力(SV)之间没有明显的关系,尽管它们的动态随周和月而变化。本研究提供了一个关于授粉结果动态的见解,受授粉时间的影响,并可以检测出应该集中杂交活动的月份、周和一天中的小时,以获得更好的结果。

https://cdn.ncbi.nlm.nih.gov/pmc/blobs/aec3/9387836/5f30b929a5e0/pone.0269670.g008.jpg
https://cdn.ncbi.nlm.nih.gov/pmc/blobs/aec3/9387836/7458243eb5df/pone.0269670.g001.jpg
https://cdn.ncbi.nlm.nih.gov/pmc/blobs/aec3/9387836/407cb0155692/pone.0269670.g002.jpg
https://cdn.ncbi.nlm.nih.gov/pmc/blobs/aec3/9387836/9260cf08df50/pone.0269670.g003.jpg
https://cdn.ncbi.nlm.nih.gov/pmc/blobs/aec3/9387836/eccf5d90c636/pone.0269670.g004.jpg
https://cdn.ncbi.nlm.nih.gov/pmc/blobs/aec3/9387836/2ce2df8e5ccc/pone.0269670.g005.jpg
https://cdn.ncbi.nlm.nih.gov/pmc/blobs/aec3/9387836/323c1e7de0e6/pone.0269670.g006.jpg
https://cdn.ncbi.nlm.nih.gov/pmc/blobs/aec3/9387836/4e3b48ba3425/pone.0269670.g007.jpg
https://cdn.ncbi.nlm.nih.gov/pmc/blobs/aec3/9387836/5f30b929a5e0/pone.0269670.g008.jpg
https://cdn.ncbi.nlm.nih.gov/pmc/blobs/aec3/9387836/7458243eb5df/pone.0269670.g001.jpg
https://cdn.ncbi.nlm.nih.gov/pmc/blobs/aec3/9387836/407cb0155692/pone.0269670.g002.jpg
https://cdn.ncbi.nlm.nih.gov/pmc/blobs/aec3/9387836/9260cf08df50/pone.0269670.g003.jpg
https://cdn.ncbi.nlm.nih.gov/pmc/blobs/aec3/9387836/eccf5d90c636/pone.0269670.g004.jpg
https://cdn.ncbi.nlm.nih.gov/pmc/blobs/aec3/9387836/2ce2df8e5ccc/pone.0269670.g005.jpg
https://cdn.ncbi.nlm.nih.gov/pmc/blobs/aec3/9387836/323c1e7de0e6/pone.0269670.g006.jpg
https://cdn.ncbi.nlm.nih.gov/pmc/blobs/aec3/9387836/4e3b48ba3425/pone.0269670.g007.jpg
https://cdn.ncbi.nlm.nih.gov/pmc/blobs/aec3/9387836/5f30b929a5e0/pone.0269670.g008.jpg

相似文献

1
Optimum time for hand pollination in yam (Dioscorea spp.).山药(薯蓣属)最佳人工授粉时间。
PLoS One. 2022 Aug 18;17(8):e0269670. doi: 10.1371/journal.pone.0269670. eCollection 2022.
2
Cross compatibility in intraspecific and interspecific hybridization in yam (Dioscorea spp.).薯蓣属内杂交和种间杂交的种间杂交。
Sci Rep. 2022 Mar 2;12(1):3432. doi: 10.1038/s41598-022-07484-x.
3
Optimized Protocol for In Vitro Pollen Germination in Yam ( spp.).山药(薯蓣属)花粉体外萌发的优化方案
Plants (Basel). 2021 Apr 18;10(4):795. doi: 10.3390/plants10040795.
4
Association mapping of plant sex and cross-compatibility related traits in white Guinea yam (Dioscorea rotundata Poir.) clones.白薯蓣无性繁殖和杂交亲和性相关性状的关联作图。
BMC Plant Biol. 2022 Jun 15;22(1):294. doi: 10.1186/s12870-022-03673-y.
5
Genome-Wide Association Studies for Sex Determination and Cross-Compatibility in Water Yam ( L.).山药(Dioscorea alata L.)性别决定和杂交亲和性的全基因组关联研究
Plants (Basel). 2021 Jul 10;10(7):1412. doi: 10.3390/plants10071412.
6
The prevalence of badnaviruses in West African yams (Dioscorea cayenensis-rotundata) and evidence of endogenous pararetrovirus sequences in their genomes.西非山药(薯蓣属植物)中杆状DNA病毒的流行情况及其基因组中内源性类逆转录病毒序列的证据。
Virus Res. 2014 Jun 24;186:144-54. doi: 10.1016/j.virusres.2014.01.007. Epub 2014 Jan 20.
7
Genetic control of flowering in greater yam (Dioscorea alata L.).大薯(Dioscorea alata L.)开花的遗传控制
BMC Plant Biol. 2021 Apr 1;21(1):163. doi: 10.1186/s12870-021-02941-7.
8
Molecular diversity of yam virus Y and identification of banana mild mosaic virus isolates infecting yam (Dioscorea spp.).山药病毒 Y 的分子多样性及侵染山药的香蕉轻型花叶病毒分离物的鉴定。
Arch Virol. 2023 Jun 13;168(7):180. doi: 10.1007/s00705-023-05809-3.
9
New microsatellite loci for water yam (Dioscorea alata, Dioscoreaceae) and cross-amplification for other Dioscorea species.水芋(Dioscorea alata,薯蓣科)的新微卫星位点及其在其他薯蓣属物种中的交叉扩增。
Am J Bot. 2011 Jun;98(6):e144-6. doi: 10.3732/ajb.1000513. Epub 2011 May 27.
10
Characterizing genotypic variation in biochemical composition, anti-nutritional and mineral bioavailability of some Nigerian yam ( spp.) land races.表征一些尼日利亚山药(薯蓣属)地方品种在生化组成、抗营养成分及矿物质生物利用率方面的基因型变异。
J Food Sci Technol. 2018 Jan;55(1):205-216. doi: 10.1007/s13197-017-2913-0. Epub 2017 Nov 1.

引用本文的文献

1
Agronomic and hormonal approaches for enhancing flowering intensity in white Guinea yam ( Poir.).提高白薯蓣(Dioscorea rotundata Poir.)开花强度的农艺学和激素方法。
Front Plant Sci. 2023 Oct 9;14:1250771. doi: 10.3389/fpls.2023.1250771. eCollection 2023.

本文引用的文献

1
Association mapping of plant sex and cross-compatibility related traits in white Guinea yam (Dioscorea rotundata Poir.) clones.白薯蓣无性繁殖和杂交亲和性相关性状的关联作图。
BMC Plant Biol. 2022 Jun 15;22(1):294. doi: 10.1186/s12870-022-03673-y.
2
Cross compatibility in intraspecific and interspecific hybridization in yam (Dioscorea spp.).薯蓣属内杂交和种间杂交的种间杂交。
Sci Rep. 2022 Mar 2;12(1):3432. doi: 10.1038/s41598-022-07484-x.
3
Reproductive barriers in cassava: Factors and implications for genetic improvement.
木薯生殖障碍:因素及对遗传改良的影响。
PLoS One. 2021 Nov 30;16(11):e0260576. doi: 10.1371/journal.pone.0260576. eCollection 2021.
4
Genome-Wide Association Studies for Sex Determination and Cross-Compatibility in Water Yam ( L.).山药(Dioscorea alata L.)性别决定和杂交亲和性的全基因组关联研究
Plants (Basel). 2021 Jul 10;10(7):1412. doi: 10.3390/plants10071412.
5
Optimized Protocol for In Vitro Pollen Germination in Yam ( spp.).山药(薯蓣属)花粉体外萌发的优化方案
Plants (Basel). 2021 Apr 18;10(4):795. doi: 10.3390/plants10040795.
6
Failure of Pollen Attachment to the Stigma Triggers Elongation of Stigmatic Papillae in .花粉无法附着在柱头上会引发[具体植物名称]中柱头乳突的伸长。 (注:原文中“in.”后面缺少具体植物名称等关键信息,翻译时根据语境补充了[具体植物名称])
Front Plant Sci. 2020 Jun 30;11:989. doi: 10.3389/fpls.2020.00989. eCollection 2020.
7
Reproductive biology in cassava: stigma receptivity and pollen tube growth.木薯的生殖生物学:柱头可受性与花粉管生长
Commun Integr Biol. 2019 Jun 27;12(1):96-111. doi: 10.1080/19420889.2019.1631110. eCollection 2019.
8
Response of stigma receptivity in CMS and male fertile line of Indian mustard (B. juncea) under variable thermal conditions.不同温度条件下芸薹属 CMS 不育系和可育系柱头接受性的响应。
Int J Biometeorol. 2019 Feb;63(2):143-152. doi: 10.1007/s00484-018-1645-9. Epub 2019 Jan 2.
9
The Challenge of Improving Soil Fertility in Yam Cropping Systems of West Africa.提高西非山药种植系统土壤肥力的挑战
Front Plant Sci. 2017 Nov 21;8:1953. doi: 10.3389/fpls.2017.01953. eCollection 2017.
10
Post-pollination emission of a repellent compound in a sexually deceptive orchid: a new mechanism for maximising reproductive success?性欺骗型兰花授粉后驱避化合物的释放:一种使繁殖成功率最大化的新机制?
Oecologia. 2001 Feb;126(4):531-534. doi: 10.1007/s004420000552. Epub 2001 Feb 1.