Ginsburg Brett C, Nawrocik-Madrid Acacia, Schindler Charles W, Lamb R J
Department of Psychiatry and Behavioral Sciences, The University of Texas Health Science Center at San Antonio, San Antonio, TX, United States.
Designer Drug Unit, Intramural Research Program, National Institute on Drug Abuse, Baltimore, MD, United States.
Front Behav Neurosci. 2022 Aug 4;16:958643. doi: 10.3389/fnbeh.2022.958643. eCollection 2022.
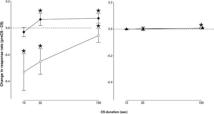
Conditioned stimuli (CS) associated with alcohol ingestion are thought to play a role in relapse by producing a craving that in turn increases motivation to drink which increases ethanol-seeking and disrupts other ongoing behavior. Alternatively, such CS may provide information indicating a likely increase in the density of the paired unconditioned stimulus and simultaneously elicit behavior that may be incompatible with other ongoing behavior, i.e., approach toward the CS. To explore these possibilities, rats were trained to respond for ethanol or food in two different components of the same session after which a light above the ethanol-lever was lighted twice during each component and each light presentation was followed by ethanol delivery. The duration of this CS was 10 s initially and then increased to 30 s, then to 100 s, and finally returned to 30 s. The change in responding for ethanol or food was compared to a matched period immediately preceding CS presentation. The CS presentation increased responding to ethanol, and this effect with longer CS presentations. In contrast, the CS presentation decreased responding to food, and this effect with longer CS presentations. These results appear to support the informational account of CS action rather than simply a change in the motivation to seek and consume ethanol. This suggests that craving as it is commonly understood likely represents multiple behavioral processes, not simply increased desire for alcohol and that reports of craving likely reflect labeling based upon past experiences rather than a cause of future drug-taking.
与酒精摄入相关的条件刺激(CS)被认为通过产生渴望来在复发中发挥作用,这种渴望反过来会增加饮酒动机,从而增加对乙醇的寻求并干扰其他正在进行的行为。或者,这种条件刺激可能提供信息,表明配对的无条件刺激密度可能增加,并同时引发可能与其他正在进行的行为不相容的行为,即接近条件刺激。为了探究这些可能性,训练大鼠在同一会话的两个不同部分中对乙醇或食物做出反应,之后在每个部分中乙醇杠杆上方的灯光会亮两次,每次灯光亮起后都会给予乙醇。这种条件刺激的持续时间最初为10秒,然后增加到30秒,再增加到100秒,最后回到30秒。将对乙醇或食物反应的变化与紧接条件刺激呈现之前的匹配时间段进行比较。条件刺激呈现增加了对乙醇的反应,并且随着条件刺激呈现时间延长这种效应增强。相比之下,条件刺激呈现减少了对食物的反应,并且随着条件刺激呈现时间延长这种效应增强。这些结果似乎支持条件刺激作用的信息解释,而不仅仅是寻求和消费乙醇动机的变化。这表明通常所理解的渴望可能代表多种行为过程,而不仅仅是对酒精的渴望增加,并且渴望的报告可能反映基于过去经历的标签,而不是未来吸毒的原因。