Departamento de Física Aplicada, Universidad de Vigo─Campus del Agua, Ourense 32004, Spain.
J Phys Chem B. 2022 Sep 8;126(35):6608-6613. doi: 10.1021/acs.jpcb.2c05274. Epub 2022 Aug 24.
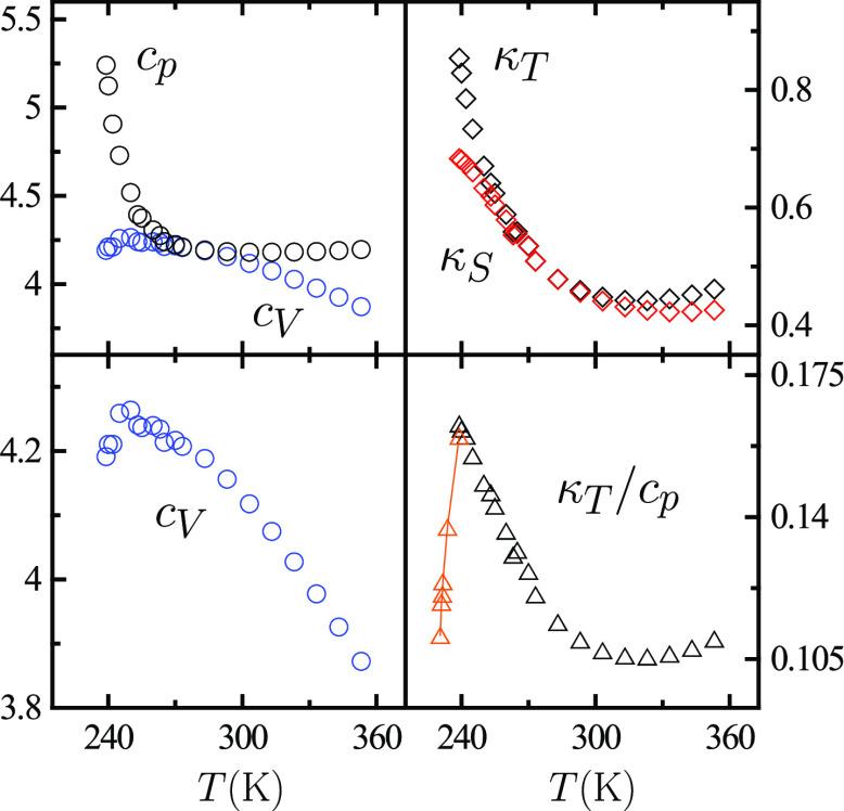
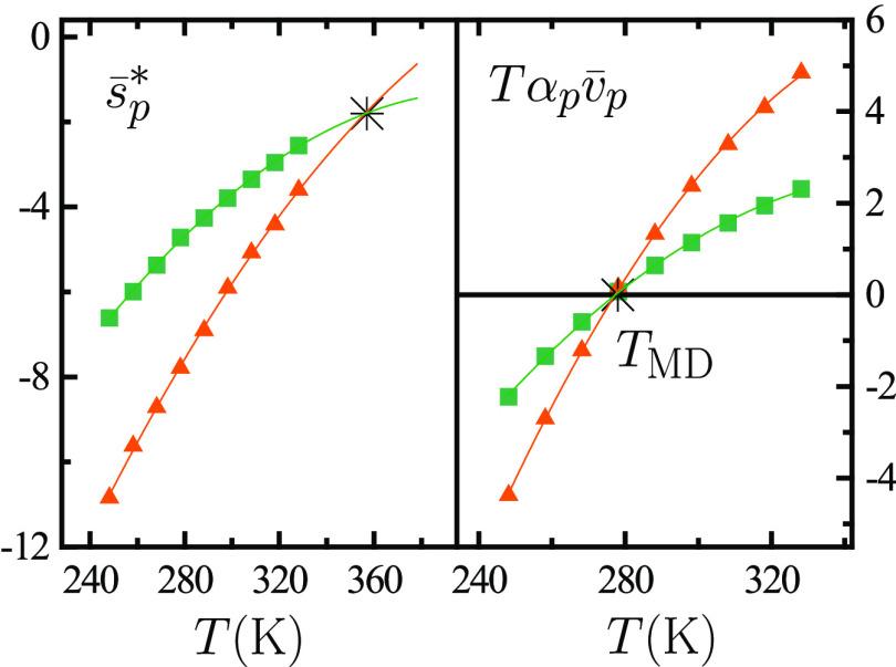
While it is known since the early work by Edsall, Frank and Evans, Kauzmann, and others that the thermodynamics of solvation of nonpolar solutes in water is unusual and has implications for the thermodynamics of protein folding, only recently have its connections with the unusual temperature dependence of the density of solvent water been illuminated. Such density behavior is, in turn, one of the manifestations of a nonstandard thermodynamic pattern contemplating a second, liquid-liquid critical point at conditions of temperature and pressure at which water exists as a deeply supercooled liquid. Recent experimental and computational work unambiguously points toward the existence of such a critical point, thereby providing concrete answers to the questions posed by the 1976 pioneering experiments by Speedy and Angell and the associated "liquid-liquid transition hypothesis" posited in 1992 by Stanley and co-workers. Challenges of this phenomenology to the branch of Statistical Mechanics remain.
虽然早在 Edsall、Frank 和 Evans、Kauzmann 等人的早期工作中就已经知道,非极性溶质在水中的溶剂化热力学是不寻常的,并且对蛋白质折叠的热力学有影响,但直到最近,它与溶剂水密度的异常温度依赖性的关系才被阐明。这种密度行为反过来又是一种非标准热力学模式的表现,该模式考虑了在温度和压力条件下的第二个液-液临界点,在这些条件下,水作为过冷度很深的液体存在。最近的实验和计算工作明确指出了这样一个临界点的存在,从而为 1976 年 Speedy 和 Angell 的开创性实验以及 1992 年 Stanley 及其同事提出的“液-液转变假说”所提出的问题提供了具体答案。这种现象学对统计力学的分支仍然存在挑战。