• 文献检索
  • 文档翻译
  • 深度研究
  • 学术资讯
  • Suppr Zotero 插件Zotero 插件
  • 邀请有礼
  • 套餐&价格
  • 历史记录
应用&插件
Suppr Zotero 插件Zotero 插件浏览器插件Mac 客户端Windows 客户端微信小程序
定价
高级版会员购买积分包购买API积分包
服务
文献检索文档翻译深度研究API 文档MCP 服务
关于我们
关于 Suppr公司介绍联系我们用户协议隐私条款
关注我们

Suppr 超能文献

核心技术专利:CN118964589B侵权必究
粤ICP备2023148730 号-1Suppr @ 2026

文献检索

告别复杂PubMed语法,用中文像聊天一样搜索,搜遍4000万医学文献。AI智能推荐,让科研检索更轻松。

立即免费搜索

文件翻译

保留排版,准确专业,支持PDF/Word/PPT等文件格式,支持 12+语言互译。

免费翻译文档

深度研究

AI帮你快速写综述,25分钟生成高质量综述,智能提取关键信息,辅助科研写作。

立即免费体验

CD93 与胶质瘤相关的恶性过程和免疫抑制细胞浸润相关,是存活的有希望的生物标志物。

CD93 is Associated with Glioma-related Malignant Processes and Immunosuppressive Cell Infiltration as an Inspiring Biomarker of Survivance.

机构信息

Department of Neurosurgery, Peking University Third Hospital, Haidian District, 49 North Garden Rd, Beijing, 100191, China.

Center for Precision Neurosurgery and Oncology of Peking University Health Science Center, Beijing, China.

出版信息

J Mol Neurosci. 2022 Oct;72(10):2106-2124. doi: 10.1007/s12031-022-02060-4. Epub 2022 Aug 25.

DOI:10.1007/s12031-022-02060-4
PMID:36006582
原文链接:https://pmc.ncbi.nlm.nih.gov/articles/PMC9596571/
Abstract

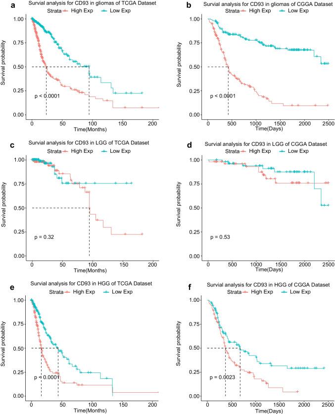
Previous reports have confirmed the significance of CD93 in the progression of multiple tumors; however, there are few studies examining its immune properties for gliomas. Here, we methodically investigated the pathophysiological characteristics and clinical manifestations of gliomas. Six hundred ninety-nine glioma patients in TCGA along with 325 glioma patients in CGGA were correspondingly collected for training and validating. We analyzed and visualized total statistics using RStudio. One-way ANOVA and Student's t-test were used to assess groups' differences. All differences were considered statistically significant at the level of P < 0.05. CD93 markedly upregulated among HGG, MGMT promoter unmethylated subforms, IDH wild forms, 1p19q non-codeletion subforms, and mesenchyme type gliomas. ROC analysis illustrated the favorable applicability of CD93 in estimating mesenchyme subform. Kaplan-Meier curves together with multivariable Cox analyses upon survivance identified high-expression CD93 as a distinct prognostic variable for glioma patients. GO analysis of CD93 documented its predominant part in glioma-related immunobiological processes and inflammation responses. We examined the associations of CD93 with immune-related meta-genes, and CD93 positively correlated with HCK, LCK, MHC I, MHC II, STAT1 and IFN, while adverse with IgG. Association analyses between CD93 and gliomas-infiltrating immunocytes indicated that the infiltrating degrees of most immunocytes exhibited positive correlations with CD93, particularly these immunosuppressive subsets such as TAM, Treg, and MDSCs. CD93 is markedly associated with adverse pathology types, unfavorable survival, and immunosuppressive immunocytes infiltration among gliomas, thus identifying CD93 as a practicable marker and a promising target for glioma-based precise diagnosis and therapeutic strategies.

摘要

先前的报告已经证实了 CD93 在多种肿瘤进展中的重要性;然而,关于其在神经胶质瘤中的免疫特性的研究较少。在这里,我们系统地研究了神经胶质瘤的病理生理特征和临床表现。从 TCGA 中收集了 699 名神经胶质瘤患者和 CGGA 中的 325 名神经胶质瘤患者用于训练和验证。我们使用 RStudio 对总统计数据进行了分析和可视化。使用单因素方差分析和 Student's t 检验来评估组间的差异。所有差异均在 P<0.05 水平上具有统计学意义。CD93 在 HGG、MGMT 启动子未甲基化亚型、IDH 野生型、1p19q 非缺失亚型和间充质型神经胶质瘤中明显上调。ROC 分析表明 CD93 在估计间充质亚型方面具有良好的适用性。Kaplan-Meier 曲线和生存分析的多变量 Cox 分析确定高表达 CD93 是神经胶质瘤患者的一个独特预后变量。GO 分析记录了 CD93 在神经胶质瘤相关免疫生物学过程和炎症反应中的主要作用。我们检查了 CD93 与免疫相关基因的关联,CD93 与 HCK、LCK、MHC I、MHC II、STAT1 和 IFN 呈正相关,而与 IgG 呈负相关。CD93 与神经胶质瘤浸润免疫细胞的关联分析表明,大多数免疫细胞的浸润程度与 CD93 呈正相关,特别是 TAM、Treg 和 MDSC 等免疫抑制亚群。CD93 与神经胶质瘤不良病理类型、不良生存和免疫抑制性免疫细胞浸润明显相关,因此鉴定 CD93 为神经胶质瘤精确诊断和治疗策略的一种可行标志物和有前途的靶标。

https://cdn.ncbi.nlm.nih.gov/pmc/blobs/a50b/9596571/ee6abf6b2236/12031_2022_2060_Fig8_HTML.jpg
https://cdn.ncbi.nlm.nih.gov/pmc/blobs/a50b/9596571/83237cc1e274/12031_2022_2060_Fig1_HTML.jpg
https://cdn.ncbi.nlm.nih.gov/pmc/blobs/a50b/9596571/735ab024b7b4/12031_2022_2060_Fig2_HTML.jpg
https://cdn.ncbi.nlm.nih.gov/pmc/blobs/a50b/9596571/5edf77e6e782/12031_2022_2060_Fig3_HTML.jpg
https://cdn.ncbi.nlm.nih.gov/pmc/blobs/a50b/9596571/3d6c4f62951a/12031_2022_2060_Fig4_HTML.jpg
https://cdn.ncbi.nlm.nih.gov/pmc/blobs/a50b/9596571/8c78a6a85ab2/12031_2022_2060_Fig5_HTML.jpg
https://cdn.ncbi.nlm.nih.gov/pmc/blobs/a50b/9596571/6c1c27e187b2/12031_2022_2060_Fig6_HTML.jpg
https://cdn.ncbi.nlm.nih.gov/pmc/blobs/a50b/9596571/857d30220301/12031_2022_2060_Fig7_HTML.jpg
https://cdn.ncbi.nlm.nih.gov/pmc/blobs/a50b/9596571/ee6abf6b2236/12031_2022_2060_Fig8_HTML.jpg
https://cdn.ncbi.nlm.nih.gov/pmc/blobs/a50b/9596571/83237cc1e274/12031_2022_2060_Fig1_HTML.jpg
https://cdn.ncbi.nlm.nih.gov/pmc/blobs/a50b/9596571/735ab024b7b4/12031_2022_2060_Fig2_HTML.jpg
https://cdn.ncbi.nlm.nih.gov/pmc/blobs/a50b/9596571/5edf77e6e782/12031_2022_2060_Fig3_HTML.jpg
https://cdn.ncbi.nlm.nih.gov/pmc/blobs/a50b/9596571/3d6c4f62951a/12031_2022_2060_Fig4_HTML.jpg
https://cdn.ncbi.nlm.nih.gov/pmc/blobs/a50b/9596571/8c78a6a85ab2/12031_2022_2060_Fig5_HTML.jpg
https://cdn.ncbi.nlm.nih.gov/pmc/blobs/a50b/9596571/6c1c27e187b2/12031_2022_2060_Fig6_HTML.jpg
https://cdn.ncbi.nlm.nih.gov/pmc/blobs/a50b/9596571/857d30220301/12031_2022_2060_Fig7_HTML.jpg
https://cdn.ncbi.nlm.nih.gov/pmc/blobs/a50b/9596571/ee6abf6b2236/12031_2022_2060_Fig8_HTML.jpg

相似文献

1
CD93 is Associated with Glioma-related Malignant Processes and Immunosuppressive Cell Infiltration as an Inspiring Biomarker of Survivance.CD93 与胶质瘤相关的恶性过程和免疫抑制细胞浸润相关,是存活的有希望的生物标志物。
J Mol Neurosci. 2022 Oct;72(10):2106-2124. doi: 10.1007/s12031-022-02060-4. Epub 2022 Aug 25.
2
PLVAP is associated with glioma-associated malignant processes and immunosuppressive cell infiltration as a promising marker for prognosis.PLVAP与胶质瘤相关的恶性过程及免疫抑制细胞浸润相关,是一种有前景的预后标志物。
Heliyon. 2022 Aug 19;8(8):e10298. doi: 10.1016/j.heliyon.2022.e10298. eCollection 2022 Aug.
3
S100A10 Is a New Prognostic Biomarker Related to the Malignant Molecular Features and Immunosuppression Process of Adult Gliomas.S100A10 是一种与成人胶质瘤恶性分子特征和免疫抑制过程相关的新型预后生物标志物。
World Neurosurg. 2022 Sep;165:e650-e663. doi: 10.1016/j.wneu.2022.06.124. Epub 2022 Jun 30.
4
CTSB is a negative prognostic biomarker and therapeutic target associated with immune cells infiltration and immunosuppression in gliomas.CTSB 是一种负预后生物标志物,与胶质瘤中的免疫细胞浸润和免疫抑制有关,也是一个潜在的治疗靶点。
Sci Rep. 2022 Mar 11;12(1):4295. doi: 10.1038/s41598-022-08346-2.
5
A nuclear transport-related gene signature combined with IDH mutation and 1p/19q codeletion better predicts the prognosis of glioma patients.核转运相关基因特征与 IDH 突变和 1p/19q 联合缺失可更好地预测胶质瘤患者的预后。
BMC Cancer. 2020 Nov 9;20(1):1072. doi: 10.1186/s12885-020-07552-3.
6
Molecular and clinical characterization of PTPN2 expression from RNA-seq data of 996 brain gliomas.从 996 例脑胶质瘤的 RNA-seq 数据中对 PTPN2 表达的分子和临床特征分析。
J Neuroinflammation. 2018 May 15;15(1):145. doi: 10.1186/s12974-018-1187-4.
7
SHOX2 is a Potent Independent Biomarker to Predict Survival of WHO Grade II-III Diffuse Gliomas.SHOX2是预测世界卫生组织II-III级弥漫性胶质瘤患者生存的有效独立生物标志物。
EBioMedicine. 2016 Nov;13:80-89. doi: 10.1016/j.ebiom.2016.10.040. Epub 2016 Oct 28.
8
RNA editing-based classification of diffuse gliomas: predicting isocitrate dehydrogenase mutation and chromosome 1p/19q codeletion.基于 RNA 编辑的弥漫性神经胶质瘤分类:预测异柠檬酸脱氢酶突变和染色体 1p/19q 联合缺失。
BMC Bioinformatics. 2019 Dec 24;20(Suppl 19):659. doi: 10.1186/s12859-019-3236-0.
9
DNAJC10 correlates with tumor immune characteristics and predicts the prognosis of glioma patients.DNAJC10 与肿瘤免疫特征相关,并可预测胶质瘤患者的预后。
Biosci Rep. 2022 Jan 28;42(1). doi: 10.1042/BSR20212378.
10
Correlation of immune phenotype with IDH mutation in diffuse glioma.弥漫性胶质瘤免疫表型与 IDH 突变的相关性。
Neuro Oncol. 2017 Oct 19;19(11):1460-1468. doi: 10.1093/neuonc/nox054.

引用本文的文献

1
Barcoded viral tracing identifies immunosuppressive astrocyte-glioma interactions.条形码病毒示踪法鉴定免疫抑制性星形胶质细胞与胶质瘤的相互作用。
Nature. 2025 Jun 25. doi: 10.1038/s41586-025-09191-9.
2
Matrix Remodeling Associated Genes (MXRAs): structural diversity, functional significance, and therapeutic potential in tumor microenvironments.基质重塑相关基因(MXRAs):肿瘤微环境中的结构多样性、功能意义及治疗潜力
Discov Oncol. 2025 May 20;16(1):833. doi: 10.1007/s12672-025-02728-4.
3
Group XIV C-type lectins: emerging targets in tumor angiogenesis.

本文引用的文献

1
The Vascular Microenvironment in Glioblastoma: A Comprehensive Review.胶质母细胞瘤中的血管微环境:综述
Biomedicines. 2022 May 31;10(6):1285. doi: 10.3390/biomedicines10061285.
2
The Hallmarks of Glioblastoma: Heterogeneity, Intercellular Crosstalk and Molecular Signature of Invasiveness and Progression.胶质母细胞瘤的特征:异质性、细胞间串扰以及侵袭和进展的分子特征
Biomedicines. 2022 Mar 30;10(4):806. doi: 10.3390/biomedicines10040806.
3
CTSB is a negative prognostic biomarker and therapeutic target associated with immune cells infiltration and immunosuppression in gliomas.
第十四组 C 型凝集素:肿瘤血管生成中的新兴靶点。
Angiogenesis. 2024 May;27(2):173-192. doi: 10.1007/s10456-024-09907-x. Epub 2024 Mar 12.
CTSB 是一种负预后生物标志物,与胶质瘤中的免疫细胞浸润和免疫抑制有关,也是一个潜在的治疗靶点。
Sci Rep. 2022 Mar 11;12(1):4295. doi: 10.1038/s41598-022-08346-2.
4
Hypoxia: The Cornerstone of Glioblastoma.缺氧:胶质母细胞瘤的基石。
Int J Mol Sci. 2021 Nov 22;22(22):12608. doi: 10.3390/ijms222212608.
5
ANXA2 is correlated with the molecular features and clinical prognosis of glioma, and acts as a potential marker of immunosuppression.膜联蛋白 A2 与胶质瘤的分子特征和临床预后相关,可作为免疫抑制的潜在标志物。
Sci Rep. 2021 Oct 21;11(1):20839. doi: 10.1038/s41598-021-00366-8.
6
CancerSCEM: a database of single-cell expression map across various human cancers.CancerSCEM:一个跨多种人类癌症的单细胞表达图谱数据库。
Nucleic Acids Res. 2022 Jan 7;50(D1):D1147-D1155. doi: 10.1093/nar/gkab905.
7
Critical View of Novel Treatment Strategies for Glioblastoma: Failure and Success of Resistance Mechanisms by Glioblastoma Cells.胶质母细胞瘤新型治疗策略的批判性观点:胶质母细胞瘤细胞耐药机制的失败与成功
Front Cell Dev Biol. 2021 Aug 16;9:695325. doi: 10.3389/fcell.2021.695325. eCollection 2021.
8
CD93 Blockade Stabilizes Tumor Vasculature to Improve Therapy Response.CD93阻断可稳定肿瘤血管以改善治疗反应。
Cancer Discov. 2021 Oct;11(10):2368. doi: 10.1158/2159-8290.CD-RW2021-113. Epub 2021 Aug 6.
9
Blockade of the CD93 pathway normalizes tumor vasculature to facilitate drug delivery and immunotherapy.阻断 CD93 通路可使肿瘤血管正常化,从而促进药物递送和免疫治疗。
Sci Transl Med. 2021 Jul 28;13(604). doi: 10.1126/scitranslmed.abc8922.
10
Key molecular alterations in endothelial cells in human glioblastoma uncovered through single-cell RNA sequencing.通过单细胞 RNA 测序揭示人类胶质母细胞瘤中内皮细胞的关键分子改变。
JCI Insight. 2021 Aug 9;6(15):e150861. doi: 10.1172/jci.insight.150861.