Jibril Aliyu Tijani, Jayedi Ahmad, Shab-Bidar Sakineh
Department of Community Nutrition, School of Nutritional Sciences and Dietetics, Tehran University of Medical Sciences, Tehran, Iran.
Social Determinants of Health Research Center, Semnan University of Medical Sciences, Semnan, Iran.
Endocr Connect. 2022 Sep 26;11(10). doi: 10.1530/EC-22-0322. Print 2022 Oct 1.
To examine the dose-dependent influence of oral alpha-lipoic acid (ALA) supplementation on cardiometabolic risk factors in patients with type 2 diabetes (T2D).
We followed the instructions outlined in the Cochrane Handbook for Systematic Reviews of Interventions and the Grading of Recommendations, Assessment, Development, and Evaluation Handbook to conduct our systematic review. The protocol of the study was registered in PROSPERO (CRD42021260587).
We searched PubMed, Scopus, and Web of Science to May 2021 for trials of oral ALA supplementation in adults with T2D. The primary outcomes were HbA1c, weight loss, and LDL cholesterol (LDL-C). Secondary outcomes included fasting plasma glucose (FPG), triglyceride (TG), C-reactive protein (CRP), and blood pressure. We conducted a random-effects dose-response meta-analysis to calculate the mean difference (MD) and 95% CI for each 500 mg/day oral ALA supplementation. We performed a nonlinear dose-response meta-analysis using a restricted cubic spline.
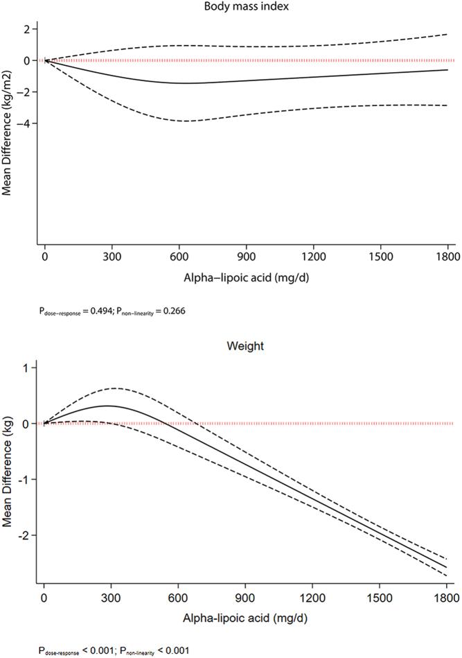
We included 16 trials with 1035 patients. Each 500 mg/day increase in oral ALA supplementation significantly reduced HbA1c, body weight, CRP, FPG, and TG. Dose-response meta-analyses indicated a linear decrement in body weight at ALA supplementation of more than 600 mg/day (MD600 mg/day: -0.30 kg, 95% CI: -0.04, -0.57). A relatively J-shaped effect was seen for HbA1c (MD: -0.32%, 95% CI: -0.45, -0.18). Levels of FPG and LDL-C decreased up to 600 mg/day ALA intake. The point estimates were below minimal clinically important difference thresholds for all outcomes.
Despite significant improvements, the effects of oral ALA supplementation on cardiometabolic risk factors in patients with T2D were not clinically important.
研究口服α-硫辛酸(ALA)补充剂对2型糖尿病(T2D)患者心血管代谢危险因素的剂量依赖性影响。
我们遵循《Cochrane系统评价干预措施手册》和《推荐意见分级、评估、制定与评价手册》中概述的指导原则进行系统评价。该研究方案已在国际前瞻性注册系统(PROSPERO,注册号:CRD42021260587)登记。
检索截至2021年5月的PubMed、Scopus和Web of Science数据库,查找关于成年T2D患者口服ALA补充剂的试验。主要结局指标为糖化血红蛋白(HbA1c)、体重减轻和低密度脂蛋白胆固醇(LDL-C)。次要结局指标包括空腹血糖(FPG)、甘油三酯(TG)、C反应蛋白(CRP)和血压。我们进行随机效应剂量反应荟萃分析,计算每日口服500 mg ALA补充剂时的平均差值(MD)和95%置信区间(CI)。我们使用受限立方样条进行非线性剂量反应荟萃分析。
我们纳入了16项试验,共1035例患者。每日口服ALA补充剂每增加500 mg,可显著降低HbA1c、体重、CRP、FPG和TG。剂量反应荟萃分析表明,每日ALA补充量超过600 mg时,体重呈线性下降(MD600 mg/天:-0.30 kg,95%CI:-0.04,-0.57)。HbA1c呈现相对J形效应(MD:-0.32%,95%CI:-0.45,-0.18)。FPG和LDL-C水平在每日ALA摄入量达600 mg时下降。所有结局指标的点估计值均低于最小临床重要差异阈值。
尽管有显著改善,但口服ALA补充剂对T2D患者心血管代谢危险因素的影响在临床上并不重要。