• 文献检索
  • 文档翻译
  • 深度研究
  • 学术资讯
  • Suppr Zotero 插件Zotero 插件
  • 邀请有礼
  • 套餐&价格
  • 历史记录
应用&插件
Suppr Zotero 插件Zotero 插件浏览器插件Mac 客户端Windows 客户端微信小程序
定价
高级版会员购买积分包购买API积分包
服务
文献检索文档翻译深度研究API 文档MCP 服务
关于我们
关于 Suppr公司介绍联系我们用户协议隐私条款
关注我们

Suppr 超能文献

核心技术专利:CN118964589B侵权必究
粤ICP备2023148730 号-1Suppr @ 2026

文献检索

告别复杂PubMed语法,用中文像聊天一样搜索,搜遍4000万医学文献。AI智能推荐,让科研检索更轻松。

立即免费搜索

文件翻译

保留排版,准确专业,支持PDF/Word/PPT等文件格式,支持 12+语言互译。

免费翻译文档

深度研究

AI帮你快速写综述,25分钟生成高质量综述,智能提取关键信息,辅助科研写作。

立即免费体验

HER2表达的时间异质性和F-FDG摄取的空间异质性预测吡咯替尼治疗HER2阳性转移性乳腺癌患者的疗效。

Temporal Heterogeneity of HER2 Expression and Spatial Heterogeneity of F-FDG Uptake Predicts Treatment Outcome of Pyrotinib in Patients with HER2-Positive Metastatic Breast Cancer.

作者信息

Gong Chengcheng, Liu Cheng, Tao Zhonghua, Zhang Jian, Wang Leiping, Cao Jun, Zhao Yannan, Xie Yizhao, Hu Xichun, Yang Zhongyi, Wang Biyun

机构信息

Department of Breast and Urological Medical Oncology, Fudan University Shanghai Cancer Center, Shanghai 200032, China.

Department of Oncology, Shanghai Medical College, Fudan University, Shanghai 200032, China.

出版信息

Cancers (Basel). 2022 Aug 17;14(16):3973. doi: 10.3390/cancers14163973.

DOI:10.3390/cancers14163973
PMID:36010967
原文链接:https://pmc.ncbi.nlm.nih.gov/articles/PMC9406192/
Abstract

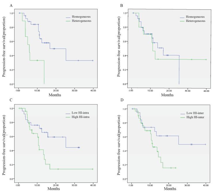
Background: This study aimed to evaluate tumor heterogeneity of metastatic breast cancer (MBC) and investigate its impact on the efficacy of pyrotinib in patients with HER2-positive MBC. Methods: MBC patients who underwent 18F-FDG PET/CT before pyrotinib treatment were included. Temporal and spatial tumor heterogeneity was evaluated by the discordance between primary and metastatic immunohistochemistry (IHC) results and baseline 18F-FDG uptake heterogeneity (intertumoral and intratumoral heterogeneity indexes: HI-inter and HI-intra), respectively. Progression-free survival (PFS) was estimated by the Kaplan−Meier method and compared by a log-rank test. Results: A total of 572 patients were screened and 51 patients were included. In 36 patients with matched IHC results, 25% of them had HER2 status conversion. Patients with homogenous HER2 positivity had the longest PFS, followed by patients with gained HER2 positivity, while patients with HER2 negative conversion could not benefit from pyrotinib (16.8 vs. 13.7 vs. 3.6 months, p < 0.0001). In terms of spatial heterogeneity, patients with high HI-intra and HI-inter had significantly worse PFS compared to those with low heterogeneity (10.6 vs. 25.3 months, p = 0.023; 11.2 vs. 25.3 months, p = 0.040). Conclusions: Temporal heterogeneity of HER2 status and spatial heterogeneity of 18F-FDG uptake could predict the treatment outcome of pyrotinib in patients with HER2-positive MBC, which provide practically applicable methods to assess tumor heterogeneity and guidance for treatment decisions.

摘要

背景

本研究旨在评估转移性乳腺癌(MBC)的肿瘤异质性,并探讨其对HER2阳性MBC患者吡咯替尼疗效的影响。方法:纳入在吡咯替尼治疗前接受18F-FDG PET/CT检查的MBC患者。分别通过原发灶和转移灶免疫组化(IHC)结果的不一致性以及基线18F-FDG摄取异质性(瘤间和瘤内异质性指数:HI-inter和HI-intra)评估时间和空间肿瘤异质性。采用Kaplan-Meier法估计无进展生存期(PFS),并通过对数秩检验进行比较。结果:共筛选572例患者,纳入51例。在36例IHC结果匹配的患者中,25%发生了HER2状态转换。HER2均为阳性的患者PFS最长,其次是获得性HER2阳性的患者,而发生HER2阴性转换的患者无法从吡咯替尼中获益(16.8个月 vs. 13.7个月 vs. 3.6个月,p<0.0001)。在空间异质性方面,HI-intra和HI-inter高的患者与低异质性患者相比,PFS显著更差(10.6个月 vs. 25.3个月,p = 0.023;11.2个月 vs. 25.3个月,p = 0.040)。结论:HER2状态的时间异质性和18F-FDG摄取的空间异质性可预测HER2阳性MBC患者吡咯替尼的治疗结局,为评估肿瘤异质性提供了切实可行的方法,并为治疗决策提供了指导。

https://cdn.ncbi.nlm.nih.gov/pmc/blobs/32e9/9406192/e10d0aeeea0a/cancers-14-03973-g003.jpg
https://cdn.ncbi.nlm.nih.gov/pmc/blobs/32e9/9406192/6657f7817c79/cancers-14-03973-g001.jpg
https://cdn.ncbi.nlm.nih.gov/pmc/blobs/32e9/9406192/2ebd89cf24eb/cancers-14-03973-g002.jpg
https://cdn.ncbi.nlm.nih.gov/pmc/blobs/32e9/9406192/e10d0aeeea0a/cancers-14-03973-g003.jpg
https://cdn.ncbi.nlm.nih.gov/pmc/blobs/32e9/9406192/6657f7817c79/cancers-14-03973-g001.jpg
https://cdn.ncbi.nlm.nih.gov/pmc/blobs/32e9/9406192/2ebd89cf24eb/cancers-14-03973-g002.jpg
https://cdn.ncbi.nlm.nih.gov/pmc/blobs/32e9/9406192/e10d0aeeea0a/cancers-14-03973-g003.jpg

相似文献

1
Temporal Heterogeneity of HER2 Expression and Spatial Heterogeneity of F-FDG Uptake Predicts Treatment Outcome of Pyrotinib in Patients with HER2-Positive Metastatic Breast Cancer.HER2表达的时间异质性和F-FDG摄取的空间异质性预测吡咯替尼治疗HER2阳性转移性乳腺癌患者的疗效。
Cancers (Basel). 2022 Aug 17;14(16):3973. doi: 10.3390/cancers14163973.
2
Pretreatment F-FDG Uptake Heterogeneity Predicts Treatment Outcome of First-Line Chemotherapy in Patients with Metastatic Triple-Negative Breast Cancer.预处理 F-FDG 摄取异质性可预测转移性三阴性乳腺癌一线化疗的治疗效果。
Oncologist. 2018 Oct;23(10):1144-1152. doi: 10.1634/theoncologist.2018-0001. Epub 2018 Aug 6.
3
Prediction of Pretreatment 18F-FDG-PET/CT Parameters on the Outcome of First-Line Therapy in Patients with Metastatic Breast Cancer.转移性乳腺癌患者一线治疗结局的治疗前18F-FDG-PET/CT参数预测
Int J Gen Med. 2021 May 11;14:1797-1809. doi: 10.2147/IJGM.S293998. eCollection 2021.
4
Survival benefit and biomarker analysis of pyrotinib or pyrotinib plus capecitabine for patients with HER2-positive metastatic breast cancer: a pooled analysis of two phase I studies.吡咯替尼或吡咯替尼联合卡培他滨治疗HER2阳性转移性乳腺癌患者的生存获益及生物标志物分析:两项I期研究的汇总分析
Biomark Res. 2023 Feb 20;11(1):21. doi: 10.1186/s40364-023-00453-0.
5
Molecular imaging as a tool to investigate heterogeneity of advanced HER2-positive breast cancer and to predict patient outcome under trastuzumab emtansine (T-DM1): the ZEPHIR trial.分子成像作为一种工具,用于研究晚期HER2阳性乳腺癌的异质性,并预测接受曲妥珠单抗-恩杂鲁胺(T-DM1)治疗的患者预后:ZEPHIR试验。
Ann Oncol. 2016 Apr;27(4):619-24. doi: 10.1093/annonc/mdv577. Epub 2015 Nov 23.
6
Dual Tracers of 16α-[18F]fluoro-17β-Estradiol and [18F]fluorodeoxyglucose for Prediction of Progression-Free Survival After Fulvestrant Therapy in Patients With HR+/HER2- Metastatic Breast Cancer.16α-[18F]氟-17β-雌二醇与[18F]氟脱氧葡萄糖双示踪剂用于预测HR+/HER2-转移性乳腺癌患者氟维司群治疗后的无进展生存期
Front Oncol. 2020 Oct 29;10:580277. doi: 10.3389/fonc.2020.580277. eCollection 2020.
7
Prognostic Value of Tumor Heterogeneity on 18F-FDG PET/CT in HR+HER2- Metastatic Breast Cancer Patients receiving 500 mg Fulvestrant: a retrospective study.氟[18F]脱氧葡萄糖正电子发射断层扫描/计算机断层扫描(18F-FDG PET/CT)中肿瘤异质性对 HR+/HER2-转移性乳腺癌患者接受 500mg 氟维司群治疗的预后价值:一项回顾性研究。
Sci Rep. 2018 Sep 27;8(1):14458. doi: 10.1038/s41598-018-32745-z.
8
The Efficacy of Pyrotinib as a Third- or Higher-Line Treatment in HER2-Positive Metastatic Breast Cancer Patients Exposed to Lapatinib Compared to Lapatinib-Naive Patients: A Real-World Study.吡咯替尼作为三线或更高线治疗方案用于接受过拉帕替尼治疗的HER2阳性转移性乳腺癌患者的疗效与未接受过拉帕替尼治疗的患者比较:一项真实世界研究
Front Pharmacol. 2021 Aug 26;12:682568. doi: 10.3389/fphar.2021.682568. eCollection 2021.
9
Real-world efficacy and safety of pyrotinib in patients with HER2-positive metastatic breast cancer: A prospective real-world study.吡咯替尼在HER2阳性转移性乳腺癌患者中的真实世界疗效与安全性:一项前瞻性真实世界研究。
Front Pharmacol. 2023 Mar 21;14:1100556. doi: 10.3389/fphar.2023.1100556. eCollection 2023.
10
[Efficacy and safety of oral pyrotinib in HER2 positive metastatic breast cancer: real-world practice].吡咯替尼口服治疗HER2阳性转移性乳腺癌的疗效与安全性:真实世界实践
Beijing Da Xue Xue Bao Yi Xue Ban. 2020 Apr 18;52(2):254-260. doi: 10.19723/j.issn.1671-167X.2020.02.010.

引用本文的文献

1
Complete preclinical evaluation of the novel antibody mimetic Nanofitin-IRDye800CW for diverse non-invasive diagnostic applications in the management of HER-2 positive tumors.新型抗体模拟物Nanofitin-IRDye800CW在HER-2阳性肿瘤管理中的多种非侵入性诊断应用的完整临床前评估。
Sci Rep. 2025 Mar 21;15(1):9832. doi: 10.1038/s41598-025-93696-w.
2
Inter- and intra-tumoral heterogeneity on [Ga]Ga-DOTA-TATE/[Ga]Ga-DOTA-TOC PET/CT predicts response to [Lu]Lu-DOTA-TATE PRRT in neuroendocrine tumor patients.[镓]Ga-DOTA-TATE/[镓]Ga-DOTA-TOC PET/CT上的肿瘤间和肿瘤内异质性可预测神经内分泌肿瘤患者对[镥]Lu-DOTA-TATE肽受体放射性核素治疗的反应。
EJNMMI Rep. 2024 Nov 30;8(1):39. doi: 10.1186/s41824-024-00227-3.
3

本文引用的文献

1
Pyrotinib Combined With Vinorelbine in HER2-Positive Metastatic Breast Cancer: A Multicenter Retrospective Study.吡咯替尼联合长春瑞滨治疗HER2阳性转移性乳腺癌:一项多中心回顾性研究
Front Oncol. 2021 Apr 20;11:664429. doi: 10.3389/fonc.2021.664429. eCollection 2021.
2
Impact of HER2 Heterogeneity on Treatment Response of Early-Stage HER2-Positive Breast Cancer: Phase II Neoadjuvant Clinical Trial of T-DM1 Combined with Pertuzumab.HER2 异质性对早期 HER2 阳性乳腺癌治疗反应的影响:T-DM1 联合帕妥珠单抗的 II 期新辅助临床试验。
Cancer Discov. 2021 Oct;11(10):2474-2487. doi: 10.1158/2159-8290.CD-20-1557. Epub 2021 May 3.
3
Editorial for the Special Issue "Breast Cancer-Therapeutic Challenges, Research Strategies and Novel Diagnostics".
《“乳腺癌——治疗挑战、研究策略与新型诊断方法”特刊》编辑按语
Cancers (Basel). 2023 Sep 18;15(18):4611. doi: 10.3390/cancers15184611.
4
Pretreatment F-FDG uptake heterogeneity may predict treatment outcome of combined Trastuzumab and Pertuzumab therapy in patients with metastatic HER2 positive breast cancer.预处理 F-FDG 摄取异质性可能预测曲妥珠单抗联合帕妥珠单抗治疗转移性 HER2 阳性乳腺癌患者的治疗效果。
Cancer Imaging. 2023 Sep 19;23(1):90. doi: 10.1186/s40644-023-00608-0.
Phenotypic discordance between primary and metastatic breast cancer in the large-scale real-life multicenter French ESME cohort.
法国大规模真实世界多中心ESME队列中原发性和转移性乳腺癌的表型不一致性。
NPJ Breast Cancer. 2021 Apr 16;7(1):41. doi: 10.1038/s41523-021-00252-6.
4
Pyrotinib plus capecitabine versus lapatinib plus capecitabine for the treatment of HER2-positive metastatic breast cancer (PHOEBE): a multicentre, open-label, randomised, controlled, phase 3 trial.吡咯替尼联合卡培他滨对比拉帕替尼联合卡培他滨治疗人表皮生长因子受体 2 阳性转移性乳腺癌(PHOEBE):一项多中心、开放标签、随机、对照、Ⅲ期临床试验。
Lancet Oncol. 2021 Mar;22(3):351-360. doi: 10.1016/S1470-2045(20)30702-6. Epub 2021 Feb 11.
5
Efficacy of anti-HER2 therapy in metastatic breast cancer by discordance of HER2 expression between primary and metastatic breast cancer.曲妥珠单抗治疗原发和转移乳腺癌 HER2 表达不一致的转移性乳腺癌的疗效。
Breast Cancer Res Treat. 2021 Jan;185(1):183-194. doi: 10.1007/s10549-020-05935-5. Epub 2020 Sep 27.
6
Effectiveness and Safety of Pyrotinib, and Association of Biomarker With Progression-Free Survival in Patients With HER2-Positive Metastatic Breast Cancer: A Real-World, Multicentre Analysis.吡咯替尼治疗HER2阳性转移性乳腺癌患者的有效性、安全性及生物标志物与无进展生存期的关系:一项真实世界、多中心分析
Front Oncol. 2020 May 25;10:811. doi: 10.3389/fonc.2020.00811. eCollection 2020.
7
Real-World Data of Pyrotinib-Based Therapy in Metastatic HER2-Positive Breast Cancer: Promising Efficacy in Lapatinib-Treated Patients and in Brain Metastasis.吡咯替尼治疗转移性 HER2 阳性乳腺癌的真实世界数据:拉帕替尼治疗后患者和脑转移患者疗效可观。
Cancer Res Treat. 2020 Oct;52(4):1059-1066. doi: 10.4143/crt.2019.633. Epub 2020 Apr 24.
8
A view on drug resistance in cancer.癌症耐药性的观点。
Nature. 2019 Nov;575(7782):299-309. doi: 10.1038/s41586-019-1730-1. Epub 2019 Nov 13.
9
Pyrotinib or Lapatinib Combined With Capecitabine in HER2-Positive Metastatic Breast Cancer With Prior Taxanes, Anthracyclines, and/or Trastuzumab: A Randomized, Phase II Study.吡咯替尼或拉帕替尼联合卡培他滨治疗既往接受紫杉类、蒽环类和/或曲妥珠单抗治疗的 HER2 阳性转移性乳腺癌:一项随机、Ⅱ期研究。
J Clin Oncol. 2019 Oct 10;37(29):2610-2619. doi: 10.1200/JCO.19.00108. Epub 2019 Aug 20.
10
Heterogeneity of targeted lung lesion predicts platinum-based first-line therapy outcomes and overall survival for metastatic triple-negative breast cancer patients with lung metastasis: a "PET biopsy" method.靶向肺部病灶的异质性可预测铂类一线治疗结局及肺转移的转移性三阴性乳腺癌患者的总生存期:一种“PET活检”方法
Cancer Manag Res. 2019 Jul 2;11:6019-6027. doi: 10.2147/CMAR.S204364. eCollection 2019.