• 文献检索
  • 文档翻译
  • 深度研究
  • 学术资讯
  • Suppr Zotero 插件Zotero 插件
  • 邀请有礼
  • 套餐&价格
  • 历史记录
应用&插件
Suppr Zotero 插件Zotero 插件浏览器插件Mac 客户端Windows 客户端微信小程序
定价
高级版会员购买积分包购买API积分包
服务
文献检索文档翻译深度研究API 文档MCP 服务
关于我们
关于 Suppr公司介绍联系我们用户协议隐私条款
关注我们

Suppr 超能文献

核心技术专利:CN118964589B侵权必究
粤ICP备2023148730 号-1Suppr @ 2026

文献检索

告别复杂PubMed语法,用中文像聊天一样搜索,搜遍4000万医学文献。AI智能推荐,让科研检索更轻松。

立即免费搜索

文件翻译

保留排版,准确专业,支持PDF/Word/PPT等文件格式,支持 12+语言互译。

免费翻译文档

深度研究

AI帮你快速写综述,25分钟生成高质量综述,智能提取关键信息,辅助科研写作。

立即免费体验

膀胱纯鳞状细胞癌中肿瘤浸润淋巴细胞(TILs)景观的鉴定

Identification of the Tumor Infiltrating Lymphocytes (TILs) Landscape in Pure Squamous Cell Carcinoma of the Bladder.

作者信息

Eismann Lennert, Rodler Severin, Buchner Alexander, Schulz Gerald Bastian, Volz Yannic, Bischoff Robert, Ebner Benedikt, Westhofen Thilo, Casuscelli Jozefina, Waidelich Raphaela, Stief Christian, Schlenker Boris, Ledderose Stephan

机构信息

Department of Urology, University Hospital Munich, Ludwig-Maximilian-University, 81377 Munich, Germany.

Department of Pathology, University Hospital Munich, Ludwig-Maximilian-University, 80337 Munich, Germany.

出版信息

Cancers (Basel). 2022 Aug 18;14(16):3999. doi: 10.3390/cancers14163999.

DOI:10.3390/cancers14163999
PMID:36010989
原文链接:https://pmc.ncbi.nlm.nih.gov/articles/PMC9406640/
Abstract

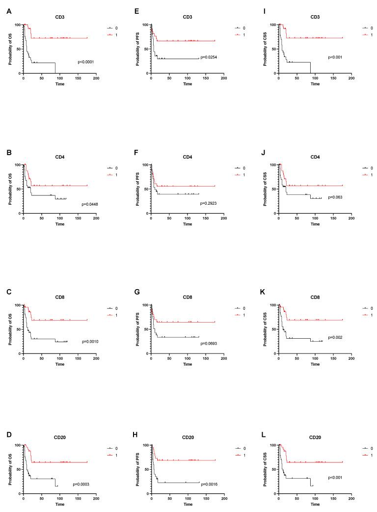
Background: Tumor infiltrating lymphocytes (TILs) are known as important prognostic biomarkers and build the fundament for immunotherapy. However, the presence of TILs and its impact on outcome in pure squamous cell carcinoma (SCC) of the bladder remains uncertain. Methods: Out of 1600 patients undergoing radical cystectomy, 61 patients revealed pure bladder SCC in the final histopathological specimen. Retrospectively, immunohistochemical staining was performed on a subset of TILs (CD3+, CD4+, CD8+, CD20+). Endpoints were overall survival (OS), cancer-specific survival (CSS) and progression-free survival (PFS). The Kaplan−Meier method was used to evaluate survival outcomes. Results: Strong infiltration of CD3+ was found in 27 (44%); of CD4+ in 28 (46%); of CD8+ in 26 (43%); and of CD20+ in 27 tumors (44%). Improved OS was observed for strong CD3+ (p < 0.001); CD4+ (p = 0.045); CD8+ (p = 0.001); and CD20+ infiltration (p < 0.001). Increased rates of PFS were observed for CD3+ (p = 0.025) and CD20+ TILs (p = 0.002). In multivariate analyses, strong CD3+ (HR: 0.163, CI: 0.044−0.614) and strong CD8+ TILs (HR: 0.265, CI: 0.081−0.864) were revealed as predictors for OS and the strong infiltration of CD20+ cells (HR: 0.095, CI: 0.019−0.464) for PFS. Conclusions: These first results of TILs in bladder SCC revealed predictive values of CD3+, CD8+ and CD20+.

摘要

背景

肿瘤浸润淋巴细胞(TILs)是重要的预后生物标志物,为免疫治疗奠定了基础。然而,TILs的存在及其对膀胱纯鳞状细胞癌(SCC)预后的影响仍不确定。方法:在1600例行根治性膀胱切除术的患者中,61例患者的最终组织病理学标本显示为单纯膀胱SCC。回顾性地对一部分TILs(CD3 +、CD4 +、CD8 +、CD20 +)进行免疫组化染色。观察终点为总生存期(OS)、癌症特异性生存期(CSS)和无进展生存期(PFS)。采用Kaplan-Meier法评估生存结果。结果:27例(44%)肿瘤中发现CD3 +强浸润;28例(46%)肿瘤中发现CD4 +强浸润;26例(43%)肿瘤中发现CD8 +强浸润;27例(44%)肿瘤中发现CD20 +强浸润。观察到CD3 +(p < 0.001)、CD4 +(p = 0.045)、CD8 +(p = 0.001)和CD20 +浸润(p < 0.001)时OS得到改善。观察到CD3 +(p = 0.025)和CD20 + TILs(p = 0.002)时PFS率增加。在多变量分析中,CD3 +强浸润(HR:0.163,CI:0.044 - 0.614)和CD8 + TILs强浸润(HR:0.265,CI:0.081 - 0.864)被揭示为OS的预测指标,而CD20 +细胞的强浸润(HR:0.095,CI:0.019 - 0.464)为PFS的预测指标。结论:膀胱SCC中TILs的这些初步结果揭示了CD3 +、CD8 +和CD20 +的预测价值。

https://cdn.ncbi.nlm.nih.gov/pmc/blobs/6a40/9406640/72999c4b16f3/cancers-14-03999-g003.jpg
https://cdn.ncbi.nlm.nih.gov/pmc/blobs/6a40/9406640/0a996027c00c/cancers-14-03999-g001.jpg
https://cdn.ncbi.nlm.nih.gov/pmc/blobs/6a40/9406640/8564765a5623/cancers-14-03999-g002.jpg
https://cdn.ncbi.nlm.nih.gov/pmc/blobs/6a40/9406640/72999c4b16f3/cancers-14-03999-g003.jpg
https://cdn.ncbi.nlm.nih.gov/pmc/blobs/6a40/9406640/0a996027c00c/cancers-14-03999-g001.jpg
https://cdn.ncbi.nlm.nih.gov/pmc/blobs/6a40/9406640/8564765a5623/cancers-14-03999-g002.jpg
https://cdn.ncbi.nlm.nih.gov/pmc/blobs/6a40/9406640/72999c4b16f3/cancers-14-03999-g003.jpg

相似文献

1
Identification of the Tumor Infiltrating Lymphocytes (TILs) Landscape in Pure Squamous Cell Carcinoma of the Bladder.膀胱纯鳞状细胞癌中肿瘤浸润淋巴细胞(TILs)景观的鉴定
Cancers (Basel). 2022 Aug 18;14(16):3999. doi: 10.3390/cancers14163999.
2
The prognostic value of tumor-infiltrating T lymphocytes in ovarian cancer.肿瘤浸润性T淋巴细胞在卵巢癌中的预后价值。
Oncotarget. 2017 Feb 28;8(9):15621-15631. doi: 10.18632/oncotarget.14919.
3
CD3 high and FoxP3 - tumor-infiltrating lymphocytes in the invasive margin as a favorable prognostic marker in patients with invasive urothelial carcinoma of the bladder.CD3 高和 FoxP3-肿瘤浸润淋巴细胞在浸润边缘是膀胱浸润性尿路上皮癌患者的有利预后标志物。
Anticancer Drugs. 2023 Aug 1;34(7):844-851. doi: 10.1097/CAD.0000000000001468. Epub 2022 Dec 5.
4
The role of systemic inflammatory response index (SIRI) and tumor-infiltrating lymphocytes (TILs) in the prognosis of patients with laryngeal squamous cell carcinoma.全身炎症反应指数(SIRI)和肿瘤浸润淋巴细胞(TILs)在喉鳞状细胞癌患者预后中的作用。
J Cancer Res Clin Oncol. 2023 Aug;149(9):5627-5636. doi: 10.1007/s00432-022-04469-1. Epub 2022 Dec 15.
5
The Prognostic Value of Tumor Infiltrating Lymphocytes After Radical Cystectomy for Bladder Cancer: A Systematic Review and Meta-Analysis.根治性膀胱切除术后肿瘤浸润淋巴细胞对膀胱癌的预后价值:一项系统评价和Meta分析
Clin Genitourin Cancer. 2024 Apr;22(2):535-543.e4. doi: 10.1016/j.clgc.2024.01.008. Epub 2024 Jan 17.
6
Proportion of CD4 and CD8 tumor infiltrating lymphocytes predicts survival in persistent/recurrent laryngeal squamous cell carcinoma.CD4 和 CD8 肿瘤浸润淋巴细胞的比例可预测持续性/复发性喉鳞状细胞癌的生存情况。
Oral Oncol. 2018 Feb;77:83-89. doi: 10.1016/j.oraloncology.2017.12.003. Epub 2017 Dec 23.
7
Prognostic value of tumor-infiltrating lymphocytes differs depending on histological type and smoking habit in completely resected non-small-cell lung cancer.在完全切除的非小细胞肺癌中,肿瘤浸润淋巴细胞的预后价值因组织学类型和吸烟习惯而异。
Ann Oncol. 2016 Nov;27(11):2117-2123. doi: 10.1093/annonc/mdw319. Epub 2016 Aug 8.
8
Prognostic significance of tumor-infiltrating lymphocytes and macrophages in nasopharyngeal carcinoma: a systematic review and meta-analysis.肿瘤浸润淋巴细胞和巨噬细胞在鼻咽癌中的预后意义:系统评价和荟萃分析。
Eur Arch Otorhinolaryngol. 2022 Jan;279(1):25-35. doi: 10.1007/s00405-021-06879-2. Epub 2021 May 24.
9
The prognostic value of tumour-infiltrating lymphocytes in pancreatic cancer: a systematic review and meta-analysis.胰腺癌中肿瘤浸润淋巴细胞的预后价值:系统评价和荟萃分析。
Eur J Cancer. 2020 Jun;132:71-84. doi: 10.1016/j.ejca.2020.03.013. Epub 2020 Apr 22.
10
Prognostic value of tumor PD-L1 expression combined with CD8 tumor infiltrating lymphocytes in high grade serous ovarian cancer.肿瘤 PD-L1 表达联合 CD8 肿瘤浸润淋巴细胞对高级别浆液性卵巢癌的预后价值。
Int Immunopharmacol. 2017 Nov;52:7-14. doi: 10.1016/j.intimp.2017.08.017. Epub 2017 Aug 31.

引用本文的文献

1
Expression Profiles of Co-Inhibitory Receptors in Non-Urothelial Bladder Cancer: Preclinical Evidence for the Next Generation of Immune Checkpoint Inhibitors.非尿路上皮膀胱癌中共抑制受体的表达谱:新一代免疫检查点抑制剂的临床前证据
Cancers (Basel). 2025 Jul 1;17(13):2210. doi: 10.3390/cancers17132210.
2
Characteristics of auto-quantified tumor-infiltrating lymphocytes and the prognostic value in adenocarcinoma of the esophagogastric junction, gastric adenocarcinoma, and esophageal squamous cell carcinoma.胃食管结合部腺癌、胃腺癌和食管鳞癌中自动定量肿瘤浸润淋巴细胞的特征及其预后价值。
Aging (Albany NY). 2024 Jul 5;16(13):11027-11061. doi: 10.18632/aging.205999.
3

本文引用的文献

1
Utility of stromal tumor infiltrating lymphocyte scoring (sTILs) for risk stratification of patients with muscle-invasive urothelial bladder cancer after radical cystectomy.在根治性膀胱切除术治疗肌层浸润性膀胱癌患者中的基质肿瘤浸润淋巴细胞评分(sTILs)对风险分层的作用。
Urol Oncol. 2022 Feb;40(2):63.e19-63.e26. doi: 10.1016/j.urolonc.2021.07.025. Epub 2021 Aug 20.
2
Prognostic Value of Tumor-Infiltrating Lymphocytes in Sinonasal Mucosal Melanoma.肿瘤浸润淋巴细胞在鼻腔鼻窦黏膜黑色素瘤中的预后价值。
Laryngoscope. 2022 Jul;132(7):1334-1339. doi: 10.1002/lary.29820. Epub 2021 Aug 20.
3
Adjuvant Nivolumab versus Placebo in Muscle-Invasive Urothelial Carcinoma.
Characterisation of tumour-immune phenotypes and PD-L1 positivity in squamous bladder cancer.
鳞状膀胱癌中肿瘤免疫表型和 PD-L1 阳性的特征分析。
BMC Cancer. 2023 Feb 1;23(1):113. doi: 10.1186/s12885-023-10576-0.
纳武利尤单抗辅助治疗与安慰剂用于肌肉浸润性尿路上皮癌。
N Engl J Med. 2021 Jun 3;384(22):2102-2114. doi: 10.1056/NEJMoa2034442.
4
Immune Checkpoint Inhibitors for the Treatment of Cancer: Clinical Impact and Mechanisms of Response and Resistance.免疫检查点抑制剂在癌症治疗中的应用:临床影响及反应和耐药的机制。
Annu Rev Pathol. 2021 Jan 24;16:223-249. doi: 10.1146/annurev-pathol-042020-042741. Epub 2020 Nov 16.
5
High Stroma T-Cell Infiltration is Associated with Better Survival in Stage pT1 Bladder Cancer.高基质 T 细胞浸润与 pT1 期膀胱癌患者的生存改善相关。
Int J Mol Sci. 2020 Nov 9;21(21):8407. doi: 10.3390/ijms21218407.
6
Clinical Impact of Tumor-Infiltrating Lymphocytes and PD-L1-Positive Cells as Prognostic and Predictive Biomarkers in Urological Malignancies and Retroperitoneal Sarcoma.肿瘤浸润淋巴细胞和PD-L1阳性细胞作为泌尿生殖系统恶性肿瘤和腹膜后肉瘤预后及预测生物标志物的临床影响
Cancers (Basel). 2020 Oct 27;12(11):3153. doi: 10.3390/cancers12113153.
7
Prognostic value of pretreatment inflammatory markers in variant histologies of the bladder: is inflammation linked to survival after radical cystectomy?膀胱癌不同组织学类型中预处理炎症标志物的预后价值:炎症与根治性膀胱切除术后的生存有关吗?
World J Urol. 2021 Jul;39(7):2537-2543. doi: 10.1007/s00345-020-03482-8. Epub 2020 Oct 21.
8
Cytotoxic CD8 T cells in cancer and cancer immunotherapy.癌症与癌症免疫治疗中的细胞毒性 CD8 T 细胞。
Br J Cancer. 2021 Jan;124(2):359-367. doi: 10.1038/s41416-020-01048-4. Epub 2020 Sep 15.
9
The immune contexture and Immunoscore in cancer prognosis and therapeutic efficacy.肿瘤免疫微环境与免疫评分在癌症预后和治疗疗效中的作用
Nat Rev Cancer. 2020 Nov;20(11):662-680. doi: 10.1038/s41568-020-0285-7. Epub 2020 Aug 4.
10
Intratumoral CD4 T Cells Mediate Anti-tumor Cytotoxicity in Human Bladder Cancer.肿瘤内 CD4 T 细胞介导人膀胱癌中的抗肿瘤细胞毒性作用。
Cell. 2020 Jun 25;181(7):1612-1625.e13. doi: 10.1016/j.cell.2020.05.017. Epub 2020 Jun 3.