Suppr超能文献

高危乳腺癌新辅助放疗和化疗后长期生存的预测因素

Predictive Factors of Long-Term Survival after Neoadjuvant Radiotherapy and Chemotherapy in High-Risk Breast Cancer.

作者信息

Haussmann Jan, Budach Wilfried, Nestle-Krämling Carolin, Wollandt Sylvia, Tamaskovics Balint, Corradini Stefanie, Bölke Edwin, Krug David, Fehm Tanja, Ruckhäberle Eugen, Audretsch Werner, Jazmati Danny, Matuschek Christiane

机构信息

Department of Radiation Oncology, Heinrich Heine University, 40225 Dusseldorf, Germany.

Department of Gynecology and Obstetrics, Evangelisches Krankenhaus Dusseldorf, 40217 Dusseldorf, Germany.

出版信息

Cancers (Basel). 2022 Aug 20;14(16):4031. doi: 10.3390/cancers14164031.

Abstract

BACKGROUND

Neoadjuvant radiotherapy (naRT) in addition to neoadjuvant chemotherapy (naCT) has been used for locally advanced, inoperable breast cancer or to allow breast conserving surgery (BCS). Retrospective analyses suggest that naRT + naCT might result in an improvement in pathological complete response (pCR rate and disease-free survival). pCR is a surrogate parameter for improved event-free and overall survival (OS) and allows for the adaption of the post-neoadjuvant therapy regimens. However, it is not clear whether pCR achieved with the addition of naRT has the same prognostic value.

PATIENTS AND METHODS

We performed a retrospective re-analysis of 356 patients (cT1-cT4/cN0-N+) treated with naRT and naCT with a long-term follow-up. Patients underwent naRT on the breast and regional lymph nodes combined with a boost to the primary tumor. Chemotherapy with different agents was given either sequentially or concomitantly to naRT. We used the Cox proportional hazard regression model to estimate the effect of pCR in our cohort in different subgroups as well as chemotherapy protocols. Clinical response markers correlating with OS were also analyzed.

RESULTS

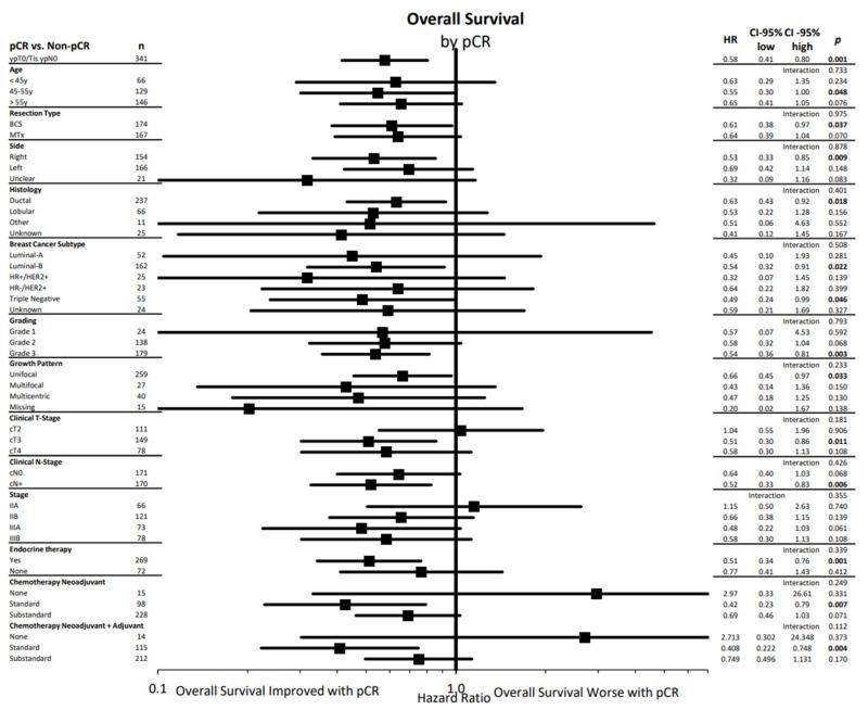
For patients with median follow-ups of 20 years, 10 years, 15 years, 20 years, and 25 years, OS rates were 69.7%, 60.6%, 53.1%, and 45.1%, respectively. pCR was achieved in 31.1% of patients and associated with a significant improvement in OS (HR = 0.58; CI-95%: 0.41-0.80; = 0.001). The prognostic impact of pCR was evident across breast cancer subtypes and chemotherapy regimens. Multivariate analysis showed that age, clinical tumor and nodal stage, chemotherapy, and pCR were prognostic for OS.

CONCLUSION

NaCT and naRT prior to surgical resection achieve good long-term survival in high-risk breast cancer. pCR after naRT maintains its prognostic value in breast cancer subtypes and across different subgroups. pCR driven by naRT and naCT independently influences long-term survival.

摘要

背景

新辅助放疗(naRT)联合新辅助化疗(naCT)已用于局部晚期、无法手术的乳腺癌或用于保乳手术(BCS)。回顾性分析表明,naRT + naCT可能会提高病理完全缓解率(pCR率)和无病生存率。pCR是无事件生存期和总生存期(OS)改善的替代参数,可用于调整新辅助治疗方案。然而,添加naRT后达到的pCR是否具有相同的预后价值尚不清楚。

患者与方法

我们对356例接受naRT和naCT治疗并进行长期随访的患者(cT1 - cT4/cN0 - N +)进行了回顾性重新分析。患者接受乳房和区域淋巴结的naRT,并对原发肿瘤进行追加照射。不同药物的化疗与naRT序贯或同步进行。我们使用Cox比例风险回归模型来估计pCR在不同亚组以及化疗方案中对我们队列的影响。还分析了与OS相关的临床反应标志物。

结果

中位随访20年、10年、15年、20年和25年的患者,OS率分别为69.7%、60.6%、53.1%和45.1%。31.1%的患者实现了pCR,且与OS的显著改善相关(HR = 0.58;95%CI:0.41 - 0.80;P = 0.001)。pCR的预后影响在乳腺癌各亚型和化疗方案中均很明显。多变量分析表明,年龄、临床肿瘤和淋巴结分期、化疗以及pCR对OS具有预后意义。

结论

手术切除前的naCT和naRT在高危乳腺癌中可实现良好的长期生存。naRT后的pCR在乳腺癌各亚型和不同亚组中均保持其预后价值。由naRT和naCT驱动的pCR独立影响长期生存。

https://cdn.ncbi.nlm.nih.gov/pmc/blobs/797c/9406575/5843fc8f0e6b/cancers-14-04031-g001.jpg

文献AI研究员

20分钟写一篇综述,助力文献阅读效率提升50倍。

立即体验

用中文搜PubMed

大模型驱动的PubMed中文搜索引擎

马上搜索

文档翻译

学术文献翻译模型,支持多种主流文档格式。

立即体验