The Department of Chemistry, Chemistry Research Laboratory, University of Oxford, 12 Mansfield Road, Oxford OX1 3TA, U.K.
Department of Pharmaceutical Engineering, China Pharmaceutical University, Nanjing 211198, P. R. China.
J Org Chem. 2022 Sep 16;87(18):12240-12249. doi: 10.1021/acs.joc.2c01382. Epub 2022 Sep 2.
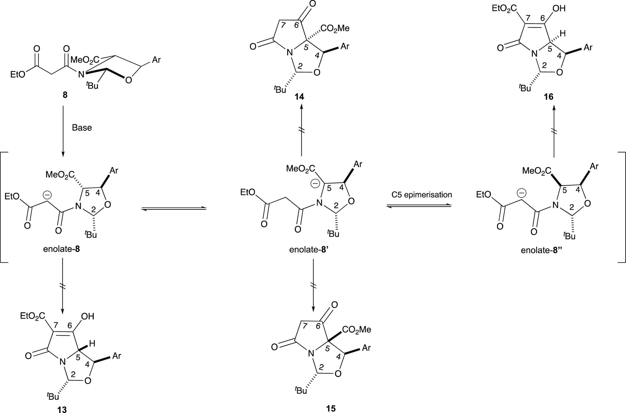
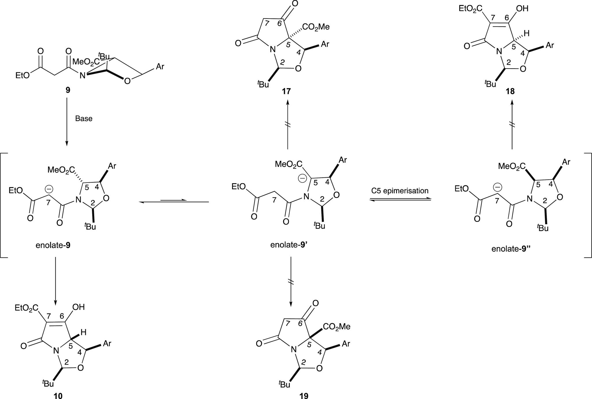
A general route, which provides direct access to substituted bicyclic tetramates, making use of Dieckmann cyclization of oxazolidines derived from -arylserines, is reported; the latter were found to be available by an efficient aldol-like reaction of glycine with some substituted benzaldehydes under alkaline conditions. The tetramates were found to release chelated metal cations acquired during chromatographic purification by mild acid wash. Some compounds in the library showed good antibacterial activity against Gram-positive bacteria. Cheminformatic analysis demonstrates that the most active compounds were Ro5-compliant and occupy a narrow region of chemical space, distinct from that occupied by other known antibiotics, with the most potent compounds having 399 < M < 530 Da; 3.5 < cLog < 6.6; 594 < MSA <818 Å; 9.6 < rel. PSA <13.3%. MIC values were shifted to higher concentrations when tested in the presence of HSA or blood, but was not completely abolished, consistent with a plasma protein binding (PPB) effect.
报道了一种通用途径,可以直接合成取代的双环四甲酸盐,利用来源于 -芳基丝氨酸的恶唑烷的迪克曼环化反应;后者被发现可以通过甘氨酸与一些取代的苯甲醛在碱性条件下的高效类似醛醇反应得到。四甲酸盐在色谱纯化过程中通过温和的酸洗释放出所获得的螯合金属阳离子。该文库中的一些化合物对革兰氏阳性菌显示出良好的抗菌活性。基于化学信息学的分析表明,最有效的化合物符合 Ro5 标准,并占据了一个狭窄的化学空间区域,与其他已知抗生素不同,最有效的化合物具有 399 < M < 530 Da;3.5 < cLog < 6.6;594 < MSA <818 Å;9.6 < rel. PSA <13.3%。当在 HSA 或血液存在的情况下进行测试时,MIC 值会转移到更高的浓度,但并未完全被消除,这与血浆蛋白结合(PPB)效应一致。