Suppr超能文献

碳纳米管机械谐振器中 snap-through 双稳态的直流特征

DC Signature of Snap-through Bistability in Carbon Nanotube Mechanical Resonators.

作者信息

Rechnitz Sharon, Tabachnik Tal, Shlafman Shlomo, Shlafman Michael, Yaish Yuval E

机构信息

Andrew and Erna Viterbi Faculty of Electrical and Computer Engineering, Technion, Haifa 3200003, Israel.

出版信息

Nano Lett. 2022 Sep 28;22(18):7304-7310. doi: 10.1021/acs.nanolett.2c01187. Epub 2022 Sep 7.

Abstract

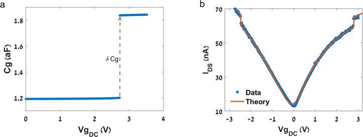
Bistable arched beams exhibiting Euler-Bernoulli snap-through buckling are widely investigated as promising candidates for various potential applications, such as memory devices, energy harvesters, sensors, and actuators. Recently, we reported the realization of a buckled suspended carbon nanotube (CNT) based bistable resonator, which exhibits a unique three-dimensional snap-through transition and an extremely large change in frequency as a result. In this article, we address a unique characteristic of these devices in which a significant change in the DC conductance is also observed at the mechanical snap-through transition. Through the analysis of this phenomenon, we arrive at several important conclusions: we find that the common approach to determining CNT vibrational resonance amplitude is inaccurate; we find evidence that latching phenomena should be easily realizable, relevant for RF switches and nonvolatile memory devices. Finally, we present evidence for possible inner shell sliding, which is relevant for understanding interlayer coupling and moiré pattern research.

摘要

表现出欧拉 - 伯努利 snap-through 屈曲的双稳态拱形梁作为各种潜在应用(如存储设备、能量收集器、传感器和致动器)的有前途的候选者受到广泛研究。最近,我们报道了基于屈曲悬浮碳纳米管(CNT)的双稳态谐振器的实现,其表现出独特的三维 snap-through 转变以及频率的极大变化。在本文中,我们探讨了这些器件的一个独特特性,即在机械 snap-through 转变时也观察到直流电导的显著变化。通过对这一现象的分析,我们得出了几个重要结论:我们发现确定 CNT 振动共振幅度的常用方法不准确;我们发现有证据表明闩锁现象应该很容易实现,这与射频开关和非易失性存储设备相关。最后,我们提供了可能存在内壳滑动的证据,这与理解层间耦合和莫尔条纹图案研究相关。

https://cdn.ncbi.nlm.nih.gov/pmc/blobs/ebea/9523715/5dd6619e6970/nl2c01187_0001.jpg

文献检索

告别复杂PubMed语法,用中文像聊天一样搜索,搜遍4000万医学文献。AI智能推荐,让科研检索更轻松。

立即免费搜索

文件翻译

保留排版,准确专业,支持PDF/Word/PPT等文件格式,支持 12+语言互译。

免费翻译文档

深度研究

AI帮你快速写综述,25分钟生成高质量综述,智能提取关键信息,辅助科研写作。

立即免费体验