Suppr超能文献

子宫内膜细胞条件培养基和富血小板血浆对小鼠窦前卵泡发育能力的影响:一项体外研究。

Effect of endometrial cell-conditioned medium and platelet-rich plasma on the developmental competence of mouse preantral follicles: An in vitro study.

作者信息

Taghizabet Neda, Bahmanpour Soghra, Zarei-Fard Nehleh, Mohseni Gholamreza, Aliakbari Fereshteh, Dehghani Farzaneh

机构信息

Histomorphometry and Stereology Research Center, Shiraz University of Medical Sciences, Shiraz, Iran.

Department of Anatomical Sciences, School of Medicine, Shiraz University of Medical Sciences, Shiraz, Iran.

出版信息

Clin Exp Reprod Med. 2022 Sep;49(3):175-184. doi: 10.5653/cerm.2022.05260. Epub 2022 Sep 1.

Abstract

OBJECTIVE

The aim of this study was to evaluate the impacts of platelet-rich plasma (PRP) and conditioned medium (CM) derived from endometrial stromal cells on mouse preantral follicle culture in a two-dimensional system to produce competent mature oocytes for fertilization.

METHODS

In total, 240 preantral follicles were isolated from female mouse ovarian tissue and divided into four groups. The preantral follicles were isolated three times for each group and then cultured, respectively, in the presence of alpha minimum essential medium (control), PRP, CM, and PRP+CM. The in vitro growth, in vitro maturation, and cleavage percentage of the preantral follicles were investigated. Immunocytochemistry (IHC) was also conducted to monitor the meiotic progression of the oocytes. Additionally, the mRNA expression levels of the two folliculogenesis-related genes (Gdf9 and Bmp15) and two apoptosis-related genes (Bcl2 and Bax) were investigated using real-time polymerase chain reaction.

RESULTS

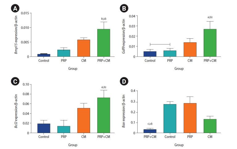
In the PRP, CM, and PRP+CM groups, the preantral follicle maturation (evaluated by identifying polar bodies) were greater than the control group. The cleavage rate in the CM, and PRP+CM groups were also greater than the control group. IHC analysis demonstrated that in each treatment group, meiotic spindle was normal. In the PRP+CM group, the gene expression levels of Bmp15, Gdf9, and Bcl2 were greater than in the other groups. The Bax gene was more strongly expressed in the PRP and control groups than in the other groups.

CONCLUSION

Overall, the present study suggests that the combination of CM and PRP can effectively increase the growth and cleavage rate of mouse preantral follicles in vitro.

摘要

目的

本研究旨在评估富血小板血浆(PRP)和子宫内膜基质细胞条件培养基(CM)对二维系统中小鼠窦前卵泡培养的影响,以产生有受精能力的成熟卵母细胞。

方法

从雌性小鼠卵巢组织中总共分离出240个窦前卵泡,并分为四组。每组窦前卵泡分离三次,然后分别在α-最低必需培养基(对照组)、PRP、CM和PRP + CM存在的情况下进行培养。研究窦前卵泡的体外生长、体外成熟和分裂率。还进行了免疫细胞化学(IHC)以监测卵母细胞的减数分裂进程。此外,使用实时聚合酶链反应研究两个卵泡发生相关基因(Gdf9和Bmp15)和两个凋亡相关基因(Bcl2和Bax)的mRNA表达水平。

结果

在PRP、CM和PRP + CM组中,窦前卵泡成熟(通过识别极体评估)高于对照组。CM组和PRP + CM组的分裂率也高于对照组。IHC分析表明,在每个治疗组中,减数分裂纺锤体正常。在PRP + CM组中,Bmp15、Gdf9和Bcl2的基因表达水平高于其他组。Bax基因在PRP组和对照组中的表达比其他组更强。

结论

总体而言,本研究表明CM和PRP的组合可以有效提高小鼠窦前卵泡的体外生长和分裂率。

https://cdn.ncbi.nlm.nih.gov/pmc/blobs/7d8f/9468696/fb8b91ba795b/cerm-2022-05260f1.jpg

文献检索

告别复杂PubMed语法,用中文像聊天一样搜索,搜遍4000万医学文献。AI智能推荐,让科研检索更轻松。

立即免费搜索

文件翻译

保留排版,准确专业,支持PDF/Word/PPT等文件格式,支持 12+语言互译。

免费翻译文档

深度研究

AI帮你快速写综述,25分钟生成高质量综述,智能提取关键信息,辅助科研写作。

立即免费体验