Suppr超能文献

在新鲜体外受精周期中,通过Access或Elecsys检测的卵母细胞数量与血清抗苗勒管激素水平的相关性。

Correlation of oocyte number with serum anti-Müllerian hormone levels measured by either Access or Elecsys in fresh in vitro fertilization cycles.

作者信息

Jeong Hye Gyeong, Kim Seul Ki, Lee Jung Ryeol, Jee Byung Chul

机构信息

Department of Obstetrics and Gynecology, Seoul National University Bundang Hospital, Seongnam, Republic of Korea.

Department of Obstetrics and Gynecology, Seoul National University College of Medicine, Seoul, Republic of Korea.

出版信息

Clin Exp Reprod Med. 2022 Sep;49(3):202-209. doi: 10.5653/cerm.2022.05211. Epub 2022 Aug 31.

Abstract

OBJECTIVE

The aim of this study was to assess the correlation of oocyte number with serum anti-Müllerian hormone (AMH) levels measured by two automated methods (Access or Elecsys) in fresh stimulated in vitro fertilization (IVF) cycles.

METHODS

In this retrospective study at a university hospital, data were collected from 243 fresh stimulated IVF cycles performed from August 2016 to December 2020. The serum AMH level was measured by Access in 120 cycles and by Elecsys in 123 cycles. The cut-off of serum AMH for prediction of poor responders (three or fewer oocytes) or high responders (15 or more oocytes) was calculated by the receiver operating characteristic curve analysis.

RESULTS

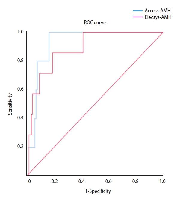
For the two automated methods, the following equations were derived: total oocyte number=2.378+1.418×(Access-AMH) (r=0.645, p<0.001) and total oocyte number=2.417+2.163×(Elecsys-AMH) (r=0.686, p<0.001). The following combined equation could be derived: (Access-AMH)=0.028+1.525×(Elecsys-AMH). To predict poor responders, the cut-off of Access-AMH was 1.215 ng/mL (area under the curve [AUC], 0.807; 95% confidence interval [CI], 0.730-0.884; p<0.001), and the cut-off of Elecsys-AMH was 1.095 ng/mL (AUC, 0.848; 95% CI, 0.773-0.923; p<0.001). To predict high responders, the cut-off of Access-AMH was 3.450 ng/mL (AUC, 0.922; 95% CI, 0.862-0.981; p<0.001), and the cut-off of Elecsys-AMH was 2.500 ng/mL (AUC, 0.884; 95% CI, 0.778-0.991; p<0.001).

CONCLUSION

Both automated methods for serum AMH measurement showed a good correlation with oocyte number and good performance for predicting poor and high responders in fresh stimulated IVF cycles. The Access method usually yielded higher measured serum AMH levels than the Elecsys method.

摘要

目的

本研究旨在评估在新鲜刺激体外受精(IVF)周期中,通过两种自动化方法(Access或Elecsys)测量的血清抗苗勒管激素(AMH)水平与卵母细胞数量之间的相关性。

方法

在一家大学医院进行的这项回顾性研究中,收集了2016年8月至2020年12月期间进行的243个新鲜刺激IVF周期的数据。120个周期采用Access法测量血清AMH水平,123个周期采用Elecsys法测量。通过受试者工作特征曲线分析计算预测低反应者(三个或更少卵母细胞)或高反应者(15个或更多卵母细胞)的血清AMH临界值。

结果

对于这两种自动化方法,得出以下方程:总卵母细胞数=2.378+1.418×(Access-AMH)(r=0.645,p<0.001)和总卵母细胞数=2.417+2.163×(Elecsys-AMH)(r=0.686,p<0.001)。可得出以下联合方程:(Access-AMH)=0.028+1.525×(Elecsys-AMH)。为预测低反应者,Access-AMH的临界值为1.215 ng/mL(曲线下面积[AUC],0.807;95%置信区间[CI],0.730-0.884;p<0.001),Elecsys-AMH的临界值为1.095 ng/mL(AUC,0.848;95%CI,0.773-0.923;p<0.001)。为预测高反应者,Access-AMH的临界值为3.450 ng/mL(AUC,0.922;95%CI,0.862-0.981;p<0.001),Elecsys-AMH的临界值为2.500 ng/mL(AUC,0.884;95%CI,0.778-0.991;p<0.001)。

结论

两种血清AMH自动化测量方法均显示与卵母细胞数量具有良好的相关性,并且在预测新鲜刺激IVF周期中的低反应者和高反应者方面表现良好。Access法通常比Elecsys法测得的血清AMH水平更高。

https://cdn.ncbi.nlm.nih.gov/pmc/blobs/efcb/9468695/540aa65816a5/cerm-2022-05211f1.jpg

文献AI研究员

20分钟写一篇综述,助力文献阅读效率提升50倍。

立即体验

用中文搜PubMed

大模型驱动的PubMed中文搜索引擎

马上搜索

文档翻译

学术文献翻译模型,支持多种主流文档格式。

立即体验