Suppr超能文献

用瞬态表面光电压光谱研究锐钛矿型TiO薄膜电荷分离的合成控制

Synthesis Control of Charge Separation at Anatase TiO Thin Films Studied by Transient Surface Photovoltage Spectroscopy.

作者信息

Dittrich Thomas, Sydorenko Jekaterina, Spalatu Nicolae, Nickel Norbert H, Mere Arvo, Krunks Malle, Oja Acik Ilona

机构信息

Helmholtz Zentrum Berlin für Materialien und Energie GmbH, Institut für Silizium-Photovoltaik, Kekuléstr. 5, D-12489 Berlin, Germany.

Tallinn University of Technology, Department of Materials and Environmental Technology, Ehitajate tee 5, 19086 Tallinn, Estonia.

出版信息

ACS Appl Mater Interfaces. 2022 Sep 28;14(38):43163-43170. doi: 10.1021/acsami.2c09032. Epub 2022 Sep 13.

Abstract

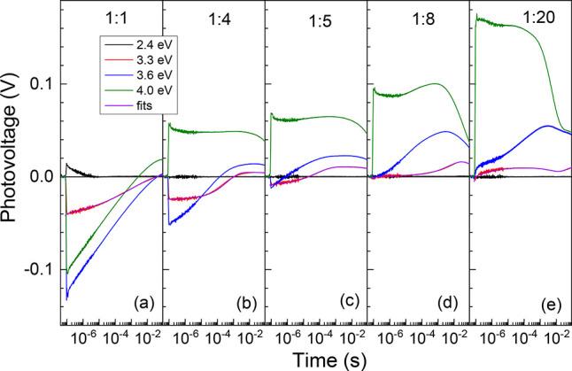
For the efficient photocatalytic oxidation of organic pollutants at surfaces of semiconductors, photogenerated holes shall be separated toward the surface and transferred to reactive surface sites, whereas the transfer of photogenerated electrons toward the surface shall be minimized. In this Research Article, the identification of suitable synthesis control of charge separation combined with an in-depth understanding of charge kinetics and trapping passivation mechanisms at the related surfaces can provide tremendous opportunities for boosting the photocatalytic performance. In this work, a comprehensive transient surface photovoltage spectroscopy study of charge separation at anatase TiO thin films, synthesized by ultrasonic spray pyrolysis from titanium(IV) isopropoxide (TTIP)-acetylacetone (AcacH) based precursor is reported. By varying the amount of AcacH in the precursor solution, an experimental approach of synthesis control of the charge transfer toward TiO surface is provided for the first time. An increased amount of AcacH in the precursor promotes transition from preferential fast electron to preferential fast hole transfer toward anatase surface, correlating with a strong increase of the photocatalytic decomposition rate of organic pollutants. Suitable mechanisms of AcacH-induced passivation of electron traps at TiO surfaces are analyzed, providing a new degree of freedom for tailoring the properties of photocatalytic systems.

摘要

为了在半导体表面高效光催化氧化有机污染物,光生空穴应向表面分离并转移到活性表面位点,而光生电子向表面的转移应降至最低。在这篇研究论文中,确定合适的电荷分离合成控制方法,并深入了解相关表面的电荷动力学和俘获钝化机制,可为提高光催化性能提供巨大机遇。在本工作中,报道了通过超声喷雾热解由异丙醇钛(TTIP)-乙酰丙酮(AcacH)基前驱体制备的锐钛矿TiO薄膜电荷分离的综合瞬态表面光电压光谱研究。通过改变前驱体溶液中AcacH的量,首次提供了一种控制电荷向TiO表面转移的合成实验方法。前驱体中AcacH量的增加促进了从优先快速电子转移到优先快速空穴转移向锐钛矿表面的转变,这与有机污染物光催化分解速率的大幅提高相关。分析了AcacH诱导TiO表面电子陷阱钝化的合适机制,为定制光催化系统的性能提供了新的自由度。

https://cdn.ncbi.nlm.nih.gov/pmc/blobs/da39/9523608/a76523386ae3/am2c09032_0001.jpg

文献AI研究员

20分钟写一篇综述,助力文献阅读效率提升50倍。

立即体验

用中文搜PubMed

大模型驱动的PubMed中文搜索引擎

马上搜索

文档翻译

学术文献翻译模型,支持多种主流文档格式。

立即体验