Suppr超能文献

免疫检查点抑制剂(ICI)基因与恶性黑色素瘤患者的衰老:一项 TCGA 的临床基因组学研究。

Immune checkpoint inhibitor (ICI) genes and aging in malignant melanoma patients: a clinicogenomic TCGA study.

机构信息

Department of Oncology, First Affiliated Hospital of Dalian Medical University, Dalian, 116021, China.

Department of Urology, The First Affiliated Hospital of Dalian Medical University, Dalian, 116021, China.

出版信息

BMC Cancer. 2022 Sep 13;22(1):978. doi: 10.1186/s12885-022-09860-2.

Abstract

BACKGROUND

Cancer diagnoses and deaths among the elderly (65 +) are expected to increase significantly over the next decade. Immune checkpoint inhibitors specifically target ICI genes and enhance immune system function. However, poor outcomes may be associated with aging.

METHODS

We downloaded the Genomic Data Commons from the Cancer Genome Atlas (TCGA) and collected gene expression data from malignant melanoma (MM) tissues, the third level as the primary site. The CKTTD ICI genes database were applied and validated using the GEO database and lab experiments.

RESULTS

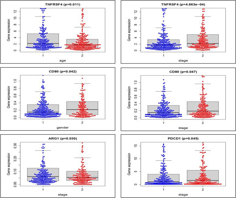
In 414 patients, 13 ICI genes were obtained as risk gene signature by univariate and multivariate Cox hazard models and were associated with poor survival in the older group. At 1, 3, and 5 years (79%, 76%, and 76%, respectively), we investigate TNFRFS4 gene and age prediction using novel nomogram-associated aging (HR = 1.79, P 0.001, CI = 1.32-2.45) with higher sensitivity testing.TNFRSF4 gene expression was significantly high in younger (15 years interval) MM patients (P < 0.001). By correlation analysis, a significant negative association was determined (P < 0.001). The validation of gene correlation from GEO (GSE59455) and (GSE22153) was obtained as external validation. We tested the TNFRSF4 protein levels by IHC in 14 melanoma tissue samples. TNFRSF4 expression was observed to be lower expressed in the older of melanoma tissues, and higher in the younger age group (P = 0.02). Besides the connectivity of ICI gene proteins, the biological processes of cell aging, aging, and the immune system were found to be highly related.

CONCLUSIONS

Along with the risk score evaluation, the ICI gene (TNFRSF4) was identified as a tumor suppressor gene related to inequalities in age survival and associated with immune cell infiltrations. The aging responses of melanoma patients and related gene expression need further investigation in order to identify potential therapeutic targets.

摘要

背景

预计未来十年,老年人(65 岁以上)的癌症诊断和死亡人数将显著增加。免疫检查点抑制剂专门针对 ICI 基因,增强免疫系统功能。然而,较差的结果可能与衰老有关。

方法

我们从癌症基因组图谱(TCGA)下载了基因组数据公共数据库,并从恶性黑色素瘤(MM)组织中收集了基因表达数据,三级作为主要部位。应用 CKTTD ICI 基因数据库,并使用 GEO 数据库和实验室实验进行验证。

结果

在 414 名患者中,通过单变量和多变量 Cox 风险模型获得了 13 个 ICI 基因作为风险基因特征,与老年组的不良生存相关。在 1、3 和 5 年(分别为 79%、76%和 76%),我们使用新的与年龄相关的列线图预测 TNFRFS4 基因和年龄(HR=1.79,P<0.001,CI=1.32-2.45),检测敏感性更高。年轻(15 岁间隔)MM 患者的 TNFRSF4 基因表达明显较高(P<0.001)。通过相关性分析,确定了显著的负相关(P<0.001)。从 GEO(GSE59455)和(GSE22153)获得基因相关性的验证作为外部验证。我们在 14 个黑色素瘤组织样本中通过 IHC 测试了 TNFRSF4 蛋白水平。观察到 TNFRSF4 表达在老年黑色素瘤组织中表达较低,在年轻年龄组中表达较高(P=0.02)。除了 ICI 基因蛋白的连接性外,还发现细胞衰老、衰老和免疫系统的生物过程高度相关。

结论

随着风险评分评估,ICI 基因(TNFRSF4)被确定为与年龄相关的生存不平等相关的肿瘤抑制基因,并与免疫细胞浸润相关。需要进一步研究黑色素瘤患者的衰老反应和相关基因表达,以确定潜在的治疗靶点。

https://cdn.ncbi.nlm.nih.gov/pmc/blobs/c2b4/9469583/41e235595cc4/12885_2022_9860_Fig1_HTML.jpg

相似文献

4
Association of MUC16 Mutation With Response to Immune Checkpoint Inhibitors in Solid Tumors.
JAMA Netw Open. 2020 Aug 3;3(8):e2013201. doi: 10.1001/jamanetworkopen.2020.13201.
6
Association Between Sex and Immune Checkpoint Inhibitor Outcomes for Patients With Melanoma.
JAMA Netw Open. 2021 Dec 1;4(12):e2136823. doi: 10.1001/jamanetworkopen.2021.36823.
7
Novel Molecular Determinants of Response or Resistance to Immune Checkpoint Inhibitor Therapies in Melanoma.
Front Immunol. 2022 Jan 11;12:798474. doi: 10.3389/fimmu.2021.798474. eCollection 2021.
8
Association of age with survival in older patients with cutaneous melanoma treated with immune checkpoint inhibitors.
J Geriatr Oncol. 2022 Sep;13(7):1003-1010. doi: 10.1016/j.jgo.2022.05.005. Epub 2022 Jun 1.
9
An Immune-Related Gene Pair Index Predicts Clinical Response and Survival Outcome of Immune Checkpoint Inhibitors in Melanoma.
Front Immunol. 2022 Feb 24;13:839901. doi: 10.3389/fimmu.2022.839901. eCollection 2022.
10
Sex Disparities of Genomic Determinants in Response to Immune Checkpoint Inhibitors in Melanoma.
Front Immunol. 2021 Nov 2;12:721409. doi: 10.3389/fimmu.2021.721409. eCollection 2021.

引用本文的文献

2
Aging-related biomarker discovery in the era of immune checkpoint inhibitors for cancer patients.
Front Immunol. 2024 Mar 15;15:1348189. doi: 10.3389/fimmu.2024.1348189. eCollection 2024.
3
Interleukin-34 and immune checkpoint inhibitors: Unified weapons against cancer.
Front Oncol. 2023 Jan 31;13:1099696. doi: 10.3389/fonc.2023.1099696. eCollection 2023.

本文引用的文献

2
Tnfrsf4-expressing regulatory T cells promote immune escape of chronic myeloid leukemia stem cells.
JCI Insight. 2021 Dec 8;6(23):e151797. doi: 10.1172/jci.insight.151797.
4
Combining anti-cytotoxic T-lymphocyte antigen 4 (CTLA-4) and -programmed cell death protein 1 (PD-1) agents for cancer immunotherapy.
Expert Opin Biol Ther. 2021 Dec;21(12):1623-1634. doi: 10.1080/14712598.2021.1921140. Epub 2021 May 4.
5
PD-1/PDL-1 Inhibitors and Cardiotoxicity; Molecular, Etiological and Management Outlines.
J Adv Res. 2020 Oct 3;29:45-54. doi: 10.1016/j.jare.2020.09.006. eCollection 2021 Mar.
6
KEGG: integrating viruses and cellular organisms.
Nucleic Acids Res. 2021 Jan 8;49(D1):D545-D551. doi: 10.1093/nar/gkaa970.
8
Human immunology and immunotherapy: main achievements and challenges.
Cell Mol Immunol. 2021 Apr;18(4):805-828. doi: 10.1038/s41423-020-00530-6. Epub 2020 Sep 2.
9
PD-1/PD-L1 pathway: current researches in cancer.
Am J Cancer Res. 2020 Mar 1;10(3):727-742. eCollection 2020.

文献AI研究员

20分钟写一篇综述,助力文献阅读效率提升50倍。

立即体验

用中文搜PubMed

大模型驱动的PubMed中文搜索引擎

马上搜索

文档翻译

学术文献翻译模型,支持多种主流文档格式。

立即体验