Suppr超能文献

使用壳聚糖和戊二醛组合通过聚偏二氟乙烯中空纤维膜降低粗棕榈油中的游离脂肪酸

Decreasing free fatty acid of crude palm oil with polyvinylidene fluoride hollow fiber membranes using a combination of chitosan and glutaraldehyde.

作者信息

Widiastuti Nurul, Silitonga Romaya Sitha, Dharma Hadi Nugraha Cipta, Jaafar Juhana, Widyanto Alvin Rahmad, Purwanto Mochammad

机构信息

Department of Chemistry, Faculty of Science and Data Analytics, Institut Teknologi Sepuluh Nopember (ITS) Sukolilo Surabaya 60111 Indonesia

Advanced Membrane Technology (AMTEC) Research Centre, School of Chemical and Energy Engineering, Faculty of Engineering, Universiti Teknologi Malaysia Skudai 81310 Malaysia.

出版信息

RSC Adv. 2022 Aug 12;12(35):22662-22670. doi: 10.1039/d2ra04005k. eCollection 2022 Aug 10.

Abstract

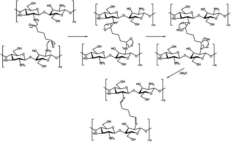
Crude palm oil (CPO) has emerged as a significant commodity in the economic and social development of producer nations. However, the presence of free fatty acids (FFAs) results in decreased CPO quality. Due to many advantages, the PVDF hollow fiber membrane has a higher potential to remove FFA from CPO than other polymeric membranes, despite the fact that FFA rejection performance remains poor. To solve this issue, membrane surface modification has emerged as one of the potential options for increasing electrostatic contact between the membrane surface and the FFA, resulting in high efficiency FFA separation from CPO. In this investigation, the membrane surface was coated with chitosan (CS) as a coating agent and glutaraldehyde (GA) as a crosslinking agent. The findings of the characterization demonstrated that the presence of a CS/GA combination with a low CS weight on the membrane surface resulted in enhanced hydrophilicity, porosity, water flow, and surface roughness. Furthermore, as compared to the uncoated PVDF hollow fiber membrane, the performance of the CPO with PVDF/CS 0.5 hollow fiber membrane achieved a maximum result of FFA rejection of up to 14.99%. The use of a mixture of CS and GA on the PVDF membrane surface to improve FFA reduction has been shown to be a promising technique for scaling up membrane technology.

摘要

毛棕榈油(CPO)已成为生产国经济和社会发展中的一种重要商品。然而,游离脂肪酸(FFA)的存在会导致CPO质量下降。尽管聚偏氟乙烯(PVDF)中空纤维膜对CPO中FFA的截留性能仍然较差,但由于其诸多优点,与其他聚合物膜相比,它具有更高的从CPO中去除FFA的潜力。为了解决这个问题,膜表面改性已成为增加膜表面与FFA之间静电接触的潜在选择之一,从而实现从CPO中高效分离FFA。在本研究中,用壳聚糖(CS)作为涂层剂、戊二醛(GA)作为交联剂对膜表面进行涂层。表征结果表明,膜表面存在低CS重量的CS/GA组合可提高亲水性、孔隙率、水通量和表面粗糙度。此外,与未涂层的PVDF中空纤维膜相比,PVDF/CS 0.5中空纤维膜对CPO的性能实现了高达14.99%的FFA截留率的最大结果。在PVDF膜表面使用CS和GA的混合物来提高FFA去除率已被证明是一种有前景的扩大膜技术规模的技术。

https://cdn.ncbi.nlm.nih.gov/pmc/blobs/f0cc/9373912/4b933c9fb4bb/d2ra04005k-f1.jpg

文献AI研究员

20分钟写一篇综述,助力文献阅读效率提升50倍。

立即体验

用中文搜PubMed

大模型驱动的PubMed中文搜索引擎

马上搜索

文档翻译

学术文献翻译模型,支持多种主流文档格式。

立即体验