• 文献检索
  • 文档翻译
  • 深度研究
  • 学术资讯
  • Suppr Zotero 插件Zotero 插件
  • 邀请有礼
  • 套餐&价格
  • 历史记录
应用&插件
Suppr Zotero 插件Zotero 插件浏览器插件Mac 客户端Windows 客户端微信小程序
定价
高级版会员购买积分包购买API积分包
服务
文献检索文档翻译深度研究API 文档MCP 服务
关于我们
关于 Suppr公司介绍联系我们用户协议隐私条款
关注我们

Suppr 超能文献

核心技术专利:CN118964589B侵权必究
粤ICP备2023148730 号-1Suppr @ 2026

文献检索

告别复杂PubMed语法,用中文像聊天一样搜索,搜遍4000万医学文献。AI智能推荐,让科研检索更轻松。

立即免费搜索

文件翻译

保留排版,准确专业,支持PDF/Word/PPT等文件格式,支持 12+语言互译。

免费翻译文档

深度研究

AI帮你快速写综述,25分钟生成高质量综述,智能提取关键信息,辅助科研写作。

立即免费体验

诊断出的胎儿异常、诊断严重程度和预后不确定性对父母抑郁和创伤后应激的影响:一项前瞻性纵向队列研究。

The impact of diagnosed fetal anomaly, diagnostic severity and prognostic ambiguity on parental depression and traumatic stress: a prospective longitudinal cohort study.

机构信息

Faculty of Health Sciences, Oslo Metropolitan University, Oslo, Norway.

Department of Psychology, Promenta Research Center, University of Oslo, Oslo, Norway.

出版信息

Acta Obstet Gynecol Scand. 2022 Nov;101(11):1291-1299. doi: 10.1111/aogs.14453. Epub 2022 Sep 14.

DOI:10.1111/aogs.14453
PMID:36106375
原文链接:https://pmc.ncbi.nlm.nih.gov/articles/PMC9812208/
Abstract

INTRODUCTION

The detection of a fetal anomaly during routine obstetric ultrasound is a potentially traumatic experience. The aim of this study is to examine longitudinally the impact of diagnosis of fetal anomaly on symptoms of depression and traumatic stress among mothers and fathers, and to examine how variations in psychological adjustment relate to diagnostic severity and prognostic ambiguity.

MATERIAL AND METHODS

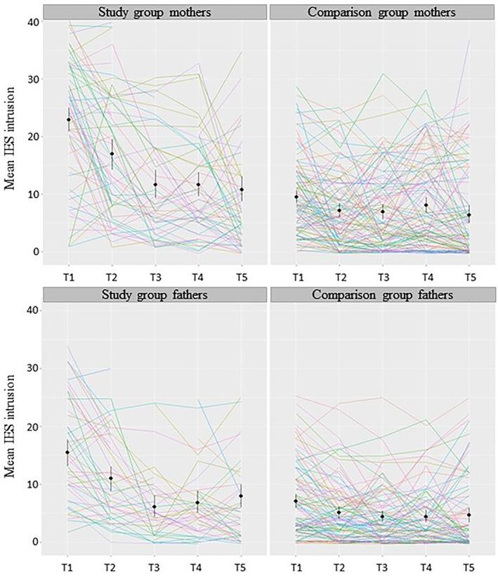
In this prospective observational study conducted at a tertiary perinatal referral center, 81 mothers and 69 fathers with ultrasound findings of fetal anomaly completed the Edinburgh Postnatal Depression Scale (EPDS) and Impact of Events Scale (IES) at four time points in pregnancy (T1-T4) and 6 weeks after birth (T5). We compared this with depression and traumatic stress in a sample of non-affected parents (n = 110 mothers, 98 fathers).

RESULTS

Linear mixed effects models indicated that parents who received a diagnosis of fetal anomaly experienced higher levels of depression and traumatic stress over time, compared with non-affected parents. Depression: mean difference mothers = 4.46 ± 0.47, fathers = 2.80 ± 0.42. Traumatic stress: mean difference mothers = 20.04 ± 2.13, fathers = 12.66 ± 1.74. Parents with a more severe diagnosis experienced elevated symptoms compared with parents with a less severe diagnosis. Among mothers, prognostic ambiguity and changes in the anticipated diagnosis after birth were also associated with increased distress, regardless of whether the change was for the better or worse.

CONCLUSIONS

Diagnosis of fetal anomaly increases risk of depression and traumatic stress in expectant mothers and fathers, both acutely and over time.

摘要

简介

在常规产科超声检查中发现胎儿异常是一种潜在的创伤性体验。本研究旨在纵向研究诊断胎儿异常对母亲和父亲抑郁和创伤后应激症状的影响,并研究心理适应的变化如何与诊断严重程度和预后不明确相关。

材料和方法

在一家三级围产期转诊中心进行的这项前瞻性观察性研究中,81 名母亲和 69 名父亲在妊娠的四个时间点(T1-T4)和产后 6 周(T5)完成了爱丁堡产后抑郁量表(EPDS)和事件影响量表(IES)。我们将这些结果与未受影响的父母样本(n=110 名母亲,98 名父亲)的抑郁和创伤后应激进行了比较。

结果

线性混合效应模型表明,与未受影响的父母相比,接受胎儿异常诊断的父母随着时间的推移经历了更高水平的抑郁和创伤后应激。抑郁:母亲的平均差异=4.46±0.47,父亲=2.80±0.42。创伤后应激:母亲的平均差异=20.04±2.13,父亲=12.66±1.74。诊断更严重的父母比诊断较轻的父母症状更严重。在母亲中,预后不明确和出生后预期诊断的变化也与增加的痛苦相关,无论变化是变好还是变坏。

结论

胎儿异常的诊断增加了孕妇和父亲在急性和长期内患抑郁和创伤后应激的风险。

https://cdn.ncbi.nlm.nih.gov/pmc/blobs/ed5c/9812208/f70c32c2e9b9/AOGS-101-1291-g002.jpg
https://cdn.ncbi.nlm.nih.gov/pmc/blobs/ed5c/9812208/befc00f4288f/AOGS-101-1291-g003.jpg
https://cdn.ncbi.nlm.nih.gov/pmc/blobs/ed5c/9812208/db4a411459b6/AOGS-101-1291-g001.jpg
https://cdn.ncbi.nlm.nih.gov/pmc/blobs/ed5c/9812208/f70c32c2e9b9/AOGS-101-1291-g002.jpg
https://cdn.ncbi.nlm.nih.gov/pmc/blobs/ed5c/9812208/befc00f4288f/AOGS-101-1291-g003.jpg
https://cdn.ncbi.nlm.nih.gov/pmc/blobs/ed5c/9812208/db4a411459b6/AOGS-101-1291-g001.jpg
https://cdn.ncbi.nlm.nih.gov/pmc/blobs/ed5c/9812208/f70c32c2e9b9/AOGS-101-1291-g002.jpg

相似文献

1
The impact of diagnosed fetal anomaly, diagnostic severity and prognostic ambiguity on parental depression and traumatic stress: a prospective longitudinal cohort study.诊断出的胎儿异常、诊断严重程度和预后不确定性对父母抑郁和创伤后应激的影响:一项前瞻性纵向队列研究。
Acta Obstet Gynecol Scand. 2022 Nov;101(11):1291-1299. doi: 10.1111/aogs.14453. Epub 2022 Sep 14.
2
Long-Term Impact of Diagnosed Fetal Anomaly on Parental Traumatic Stress, Resilience, and Relationship Satisfaction.诊断性胎儿异常对父母创伤后应激、韧性和关系满意度的长期影响。
J Pediatr Psychol. 2023 Feb 21;48(2):181-192. doi: 10.1093/jpepsy/jsac085.
3
Paternal psychological response after ultrasonographic detection of structural fetal anomalies with a comparison to maternal response: a cohort study.超声检测出胎儿结构异常后父亲的心理反应及其与母亲反应的比较:一项队列研究
BMC Pregnancy Childbirth. 2013 Jul 12;13:147. doi: 10.1186/1471-2393-13-147.
4
Antenatal depressive symptoms and subjective birth experience in association with postpartum depressive symptoms and acute stress reaction in mothers and fathers: A longitudinal path analysis.产前抑郁症状和主观分娩经历与父母产后抑郁症状及急性应激反应的关联:一项纵向路径分析
Eur J Obstet Gynecol Reprod Biol. 2017 Aug;215:68-74. doi: 10.1016/j.ejogrb.2017.05.021. Epub 2017 May 30.
5
Perinatal loss and parental distress after the birth of a healthy infant.健康婴儿出生后的围产期损失与父母的悲痛
Adv Neonatal Care. 2007 Aug;7(4):200-6. doi: 10.1097/01.ANC.0000286337.90799.7d.
6
Paternal Psychological Stress After Detection of Fetal Anomaly During Pregnancy. A Prospective Longitudinal Observational Study.孕期检测出胎儿异常后父亲的心理压力。一项前瞻性纵向观察研究。
Front Psychol. 2020 Jul 29;11:1848. doi: 10.3389/fpsyg.2020.01848. eCollection 2020.
7
Trajectories of Maternal and Paternal Psychological Distress After Fetal Diagnosis of Moderate-Severe Congenital Heart Disease.胎儿被诊断出患有中重度先天性心脏病后,母婴心理困扰的轨迹。
J Pediatr Psychol. 2023 Apr 20;48(4):305-316. doi: 10.1093/jpepsy/jsac067.
8
Initiation and exclusivity of breastfeeding: association with mothers' and fathers' prenatal and postnatal depression and marital distress.母乳喂养的开始与排他性:与母亲和父亲的产前及产后抑郁以及婚姻困扰的关联。
Acta Obstet Gynecol Scand. 2016 Apr;95(4):396-404. doi: 10.1111/aogs.12857. Epub 2016 Feb 29.
9
Identifying expectant parents at risk for psychological distress in response to a confirmed fetal abnormality.识别因确诊胎儿异常而面临心理困扰风险的准父母。
Arch Womens Ment Health. 2016 Jun;19(3):443-53. doi: 10.1007/s00737-015-0580-6. Epub 2015 Sep 21.
10
Dads in Distress: symptoms of depression and traumatic stress in fathers following poor fetal, neonatal, and maternal outcomes.痛苦的父亲:不良胎儿、新生儿和产妇结局后父亲的抑郁和创伤后应激症状。
BMC Pregnancy Childbirth. 2022 Dec 22;22(1):956. doi: 10.1186/s12884-022-05288-5.

引用本文的文献

1
Family dynamics after diagnosis and surgical treatment of myelomeningocele: using telemedicine as a complementary tool.脊髓脊膜膨出诊断与手术治疗后的家庭动态:将远程医疗作为辅助工具
Childs Nerv Syst. 2025 Aug 11;41(1):259. doi: 10.1007/s00381-025-06920-3.
2
Prenatal Diagnosis of Acrania in One Twin of a Dichorionic Diamniotic Pregnancy: A Case Report on Management and Perinatal Outcome.双绒毛膜双羊膜囊妊娠中一胎无脑儿的产前诊断:一例管理及围产期结局的病例报告
Reports (MDPI). 2025 May 22;8(2):75. doi: 10.3390/reports8020075.
3
Prenatal Psychosocial Distress Screening for Individuals Experiencing Pregnancies Complicated by Fetal Anomalies.

本文引用的文献

1
Accuracy of the Edinburgh Postnatal Depression Scale (EPDS) for screening to detect major depression among pregnant and postpartum women: systematic review and meta-analysis of individual participant data.爱丁堡产后抑郁量表(EPDS)筛查孕妇和产后妇女中重度抑郁症的准确性:系统评价和个体参与者数据荟萃分析。
BMJ. 2020 Nov 11;371:m4022. doi: 10.1136/bmj.m4022.
2
Paternal Psychological Stress After Detection of Fetal Anomaly During Pregnancy. A Prospective Longitudinal Observational Study.孕期检测出胎儿异常后父亲的心理压力。一项前瞻性纵向观察研究。
Front Psychol. 2020 Jul 29;11:1848. doi: 10.3389/fpsyg.2020.01848. eCollection 2020.
3
对患有胎儿异常合并妊娠的个体进行产前心理社会应激筛查。
J Pers Med. 2025 Jul 18;15(7):322. doi: 10.3390/jpm15070322.
4
Communicating neurological prognosis in the prenatal period: a narrative review and practice guidelines.产前神经学预后的沟通:叙述性综述与实践指南
Pediatr Res. 2025 Jan 14. doi: 10.1038/s41390-025-03805-8.
5
Perceived Social Support and Depression, Anxiety and Stress in Pregnant Women Diagnosed With Foetal Anomaly.被诊断为胎儿异常的孕妇的感知社会支持与抑郁、焦虑和压力
J Adv Nurs. 2025 Aug;81(8):4591-4599. doi: 10.1111/jan.16587. Epub 2024 Nov 4.
6
Impact of Paternal Postpartum Depression on Maternal and Infant Health: A Narrative Review of the Literature.父亲产后抑郁对母婴健康的影响:文献综述
Cureus. 2024 Aug 8;16(8):e66478. doi: 10.7759/cureus.66478. eCollection 2024 Aug.
7
Harnessing the Power of Artificial Intelligence in Cleft Lip and Palate: An In-Depth Analysis from Diagnosis to Treatment, a Comprehensive Review.利用人工智能在唇腭裂中的力量:从诊断到治疗的深入分析,一篇综述。
Children (Basel). 2024 Jan 23;11(2):140. doi: 10.3390/children11020140.
8
Psychological Impact of a Prenatal Diagnosis of Congenital Heart Disease on Parents: Is It Time for Tailored Psychological Support?先天性心脏病产前诊断对父母的心理影响:是时候提供个性化心理支持了吗?
J Cardiovasc Dev Dis. 2024 Jan 20;11(1):31. doi: 10.3390/jcdd11010031.
9
Accuracy of prenatal detection of facial clefts and relation between facial clefts, additional malformations and chromosomal abnormalities: a large referral-center cohort.面部裂隙产前检测的准确性以及面部裂隙、其他畸形与染色体异常之间的关系:一项大型转诊中心队列研究
Arch Gynecol Obstet. 2024 May;309(5):1971-1980. doi: 10.1007/s00404-023-07084-8. Epub 2023 Jun 16.
Uncertainty in Illness: Theory Review, Application, and Extension.
疾病中的不确定性:理论回顾、应用与拓展
Oncol Nurs Forum. 2017 Nov 1;44(6):645-649. doi: 10.1188/17.ONF.645-649.
4
Maternal psychological responses during pregnancy after ultrasonographic detection of structural fetal anomalies: A prospective longitudinal observational study.超声检查发现胎儿结构异常后孕妇孕期的心理反应:一项前瞻性纵向观察研究。
PLoS One. 2017 Mar 28;12(3):e0174412. doi: 10.1371/journal.pone.0174412. eCollection 2017.
5
Identifying expectant parents at risk for psychological distress in response to a confirmed fetal abnormality.识别因确诊胎儿异常而面临心理困扰风险的准父母。
Arch Womens Ment Health. 2016 Jun;19(3):443-53. doi: 10.1007/s00737-015-0580-6. Epub 2015 Sep 21.
6
Adaptation to the birth of a child with a congenital anomaly: a prospective longitudinal study of maternal well-being and psychological distress.适应先天性异常儿童的出生:母亲健康和心理困扰的前瞻性纵向研究。
Dev Psychol. 2014 Jun;50(6):1827-39. doi: 10.1037/a0035996. Epub 2014 Mar 3.
7
Pregnancy and postpartum following a prenatal diagnosis of fetal thoracoabdominal malformation: the parental perspective.产前诊断胎儿胸腹畸形后的妊娠及产后情况:父母的观点
J Pediatr Surg. 2014 Feb;49(2):353-8. doi: 10.1016/j.jpedsurg.2013.07.025.
8
Fathers' engagement in pregnancy and childbirth: evidence from a national survey.父亲参与妊娠和分娩:一项全国性调查的证据。
BMC Pregnancy Childbirth. 2013 Mar 20;13:70. doi: 10.1186/1471-2393-13-70.
9
Antenatal diagnosis of congenital anomaly: a really traumatic experience?产前诊断先天性异常:一种真正的创伤性体验?
J Perinatol. 2011 Dec;31(12):760-3. doi: 10.1038/jp.2011.22. Epub 2011 Apr 28.
10
The prevalence of congenital anomalies in Europe.欧洲先天畸形的流行情况。
Adv Exp Med Biol. 2010;686:349-64. doi: 10.1007/978-90-481-9485-8_20.