Suppr超能文献

墨西哥未来人类活动改变的土地覆盖和气候变化下锥虫(动质体目,锥虫科)传播的新流行病学格局研究

Toward New Epidemiological Landscapes of (Kinetoplastida, Trypanosomatidae) Transmission under Future Human-Modified Land Cover and Climatic Change in Mexico.

作者信息

González-Salazar Constantino, Meneses-Mosquera Anny K, Aguirre-Peña Alejandra, Fernández-Castel Karla Paola J, Stephens Christopher R, Mendoza-Ponce Alma, Velasco Julián A, Calderón-Bustamante Oscar, Estrada Francisco

机构信息

Instituto de Ciencias de la Atmósfera y Cambio Climático, Universidad Nacional Autónoma de México, Ciudad de Mexico 04510, Mexico.

C3-Centro de Ciencias de la Complejidad, Universidad Nacional Autónoma de México, Ciudad de Mexico 04510, Mexico.

出版信息

Trop Med Infect Dis. 2022 Sep 2;7(9):221. doi: 10.3390/tropicalmed7090221.

Abstract

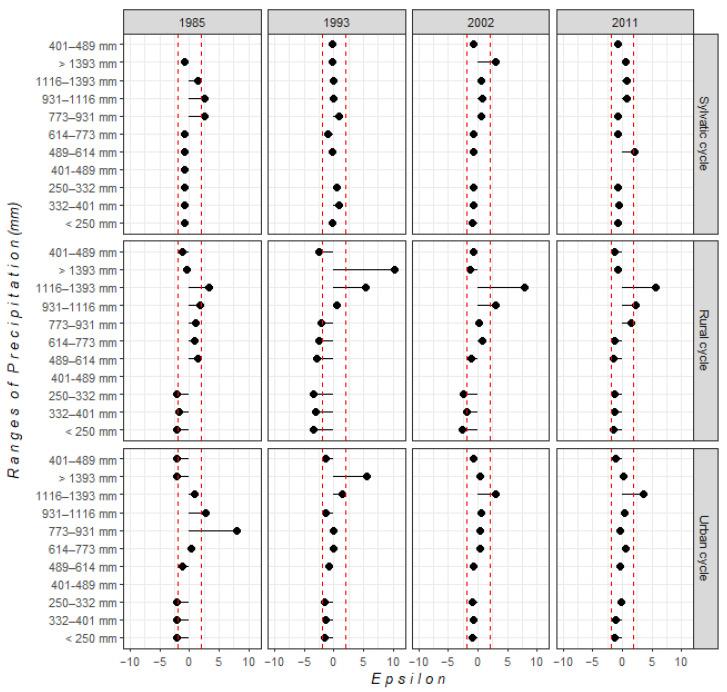
Chagas disease, caused by the protozoa , is an important yet neglected disease that represents a severe public health problem in the Americas. Although the alteration of natural habitats and climate change can favor the establishment of new transmission cycles for the compound effect of human-modified landscapes and current climate change on the transmission dynamics of has until now received little attention. A better understanding of the relationship between these factors and presence is an important step towards finding ways to mitigate the future impact of this disease on human communities. Here, we assess how wild and domestic cycles of transmission are related to human-modified landscapes and climate conditions (LUCC-CC). Using a Bayesian datamining framework, we measured the correlations among the presence of transmission cycles (sylvatic, rural, and urban) and historical land use, land cover, and climate for the period 1985 to 2012. We then estimated the potential range changes of transmission cycles under future land-use and -cover change and climate change scenarios for 2050 and 2070 time-horizons, with respect to "green" (RCP 2.6), "business-as-usual" (RCP 4.5), and "worst-case" (RCP 8.5) scenarios, and four general circulation models. Our results show how sylvatic and domestic transmission cycles could have historically interacted through the potential exchange of wild triatomines (insect vectors of ) and mammals carrying , due to the proximity of human settlements (urban and rural) to natural habitats. However, transmission cycles in recent times (i.e., 2011) have undergone a domiciliation process where several triatomines have colonized and adapted to human dwellings and domestic species (e.g., dogs and cats) that can be the main blood sources for these triatomines. Accordingly, Chagas disease could become an emerging health problem in urban areas. Projecting potential future range shifts of transmission cycles under LUCC-CC scenarios we found for RCP 2.6 no expansion of favourable conditions for the presence of transmission cycles. However, for RCP 4.5 and 8.5, a significant range expansion of could be expected. We conclude that if sustainable goals are reached by appropriate changes in socio-economic and development policies we can expect no increase in suitable habitats for transmission cycles.

摘要

恰加斯病由原生动物引起,是一种重要但被忽视的疾病,在美洲构成严重的公共卫生问题。尽管自然栖息地的改变和气候变化可能有利于新传播循环的形成,但人类改造景观和当前气候变化对恰加斯病传播动态的复合影响迄今很少受到关注。更好地理解这些因素与恰加斯病存在之间的关系,是找到减轻该病未来对人类社区影响方法的重要一步。在此,我们评估恰加斯病的野生和家养传播循环如何与人类改造景观和气候条件(土地利用/土地覆盖变化 - 气候变化,LUCC - CC)相关。使用贝叶斯数据挖掘框架,我们测量了1985年至2012年期间恰加斯病传播循环(野生、农村和城市)的存在与历史土地利用、土地覆盖和气候之间的相关性。然后,我们针对2050年和2070年时间跨度,在未来土地利用和覆盖变化以及气候变化情景下,相对于“绿色”(代表性浓度路径2.6,RCP 2.6)、“照常营业”(RCP 4.5)和“最坏情况”(RCP 8.5)情景以及四个通用环流模型,估计了恰加斯病传播循环的潜在范围变化。我们的结果表明,由于人类住区(城市和农村)靠近自然栖息地,野生和家养传播循环在历史上可能通过野生锥蝽(恰加斯病的昆虫媒介)和携带病原体的哺乳动物的潜在交换而相互作用。然而,近年来(即2011年)恰加斯病的传播循环经历了定居过程,一些锥蝽已经在人类住所定殖并适应了人类住所和家养物种(如狗和猫),这些可能是这些锥蝽的主要血液来源。因此,恰加斯病可能成为城市地区一个新出现的健康问题。在LUCC - CC情景下预测恰加斯病传播循环未来的潜在范围变化,我们发现对于RCP 2.6,不存在有利于恰加斯病传播循环存在的条件扩展。然而,对于RCP 4.5和8.5,可以预期恰加斯病的范围会有显著扩展。我们得出结论,如果通过社会经济和发展政策的适当变化实现可持续目标,我们可以预期恰加斯病传播循环的适宜栖息地不会增加。

https://cdn.ncbi.nlm.nih.gov/pmc/blobs/0e7e/9503189/612ddab0353f/tropicalmed-07-00221-g001.jpg

文献AI研究员

20分钟写一篇综述,助力文献阅读效率提升50倍。

立即体验

用中文搜PubMed

大模型驱动的PubMed中文搜索引擎

马上搜索

文档翻译

学术文献翻译模型,支持多种主流文档格式。

立即体验