Suppr超能文献

避免肾功能受损的住院患者当前阿莫西林剂量减少,以防药物暴露不足。

Steering Away from Current Amoxicillin Dose Reductions in Hospitalized Patients with Impaired Kidney Function to Avoid Subtherapeutic Drug Exposure.

作者信息

Smit Cornelis, Sen Swapnoleena, von Dach Elodie, Karmime Abderrahim, Lescuyer Pierre, Tonoli David, Bielicki Julia, Huttner Angela, Pfister Marc

机构信息

Pediatric Pharmacology and Pharmacometrics Research Center, University of Basel Children's Hospital (UKBB), 4056 Basel, Switzerland.

Department of Clinical Pharmacy, Antonius Hospital, 8601 ZK Sneek, The Netherlands.

出版信息

Antibiotics (Basel). 2022 Sep 2;11(9):1190. doi: 10.3390/antibiotics11091190.

Abstract

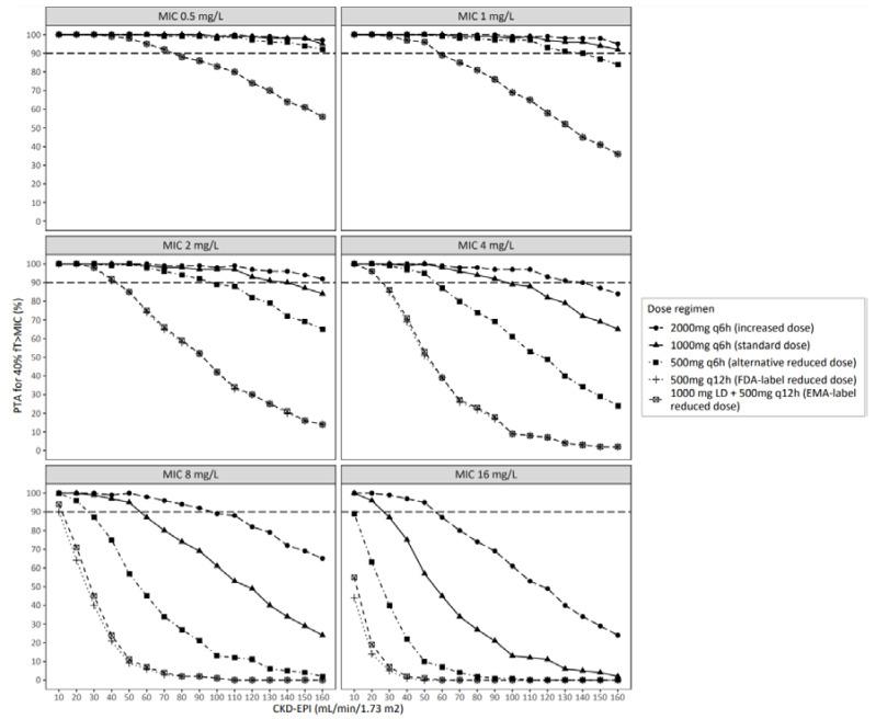
Current dose reductions recommended for amoxicillin in patients with impaired kidney function could lead to suboptimal treatments. In a prospective, observational study in hospitalized adults with varying kidney function treated with an IV or oral dose of amoxicillin, amoxicillin concentrations were measured in 1−2 samples on the second day of treatment. Pharmacometric modelling and simulations were performed to evaluate the probability of target attainment (PTA) for 40% of the time above MIC following standard (1000 mg q6h), reduced or increased IV dosing strategies. A total of 210 amoxicillin samples was collected from 155 patients with kidney function based on a CKD-EPI of between 12 and 165 mL/min/1.73 m2. Amoxicillin clearance could be well predicted with body weight and CKD-EPI. Recommended dose adjustments resulted in a clinically relevant reduction in the PTA for the nonspecies-related PK/PD breakpoint MIC of 8 mg/L (92%, 62% and 38% with a CKD-EPI of 10, 20 and 30 mL/min/1.73 m2, respectively, versus 100% for the standard dose). For MICs ≤ 2 mg/L, PTA > 90% was reached in these patients following both reduced and standard dose regimens. Our study showed that for amoxicillin, recommended dose reductions with impaired kidney function could lead to subtherapeutic amoxicillin concentrations in hospitalized patients, especially when targeting less susceptible pathogens.

摘要

目前针对肾功能受损患者推荐的阿莫西林剂量降低可能会导致治疗效果欠佳。在一项针对不同肾功能的住院成年患者进行的前瞻性观察研究中,这些患者接受了静脉或口服剂量的阿莫西林治疗,并在治疗第二天采集了1 - 2份样本测量阿莫西林浓度。进行了药代动力学建模和模拟,以评估标准(1000 mg q6h)、降低或增加静脉给药策略下达到高于最低抑菌浓度(MIC)40%时间的达标概率(PTA)。基于慢性肾脏病流行病学协作组(CKD-EPI)估算的肾小球滤过率在12至165 mL/min/1.73 m²之间,从155例肾功能患者中总共采集了210份阿莫西林样本。阿莫西林清除率可以通过体重和CKD-EPI得到很好的预测。推荐的剂量调整导致与非菌种相关的PK/PD断点MIC为8 mg/L时的PTA出现临床相关降低(CKD-EPI为10、20和30 mL/min/1.73 m²时分别为92%、62%和38%,而标准剂量时为100%)。对于MIC≤2 mg/L,在这些患者中,降低剂量和标准剂量方案下的PTA均>90%。我们的研究表明,对于阿莫西林,针对肾功能受损推荐的剂量降低可能会导致住院患者阿莫西林浓度低于治疗水平,尤其是在针对较不敏感病原体时。

https://cdn.ncbi.nlm.nih.gov/pmc/blobs/2d3a/9494977/68678c6b4a12/antibiotics-11-01190-g001.jpg

文献AI研究员

20分钟写一篇综述,助力文献阅读效率提升50倍。

立即体验

用中文搜PubMed

大模型驱动的PubMed中文搜索引擎

马上搜索

文档翻译

学术文献翻译模型,支持多种主流文档格式。

立即体验