Suppr超能文献

外源性3-碘甲腺原氨酸(TAM)可影响脑细胞系体外模型中参与信号转导途径的蛋白质磷酸化,但这些作用不会被其分解代谢产物3-碘甲状腺乙酸(TA)增强。

Exogenous 3-Iodothyronamine (TAM) Can Affect Phosphorylation of Proteins Involved on Signal Transduction Pathways in In Vitro Models of Brain Cell Lines, but These Effects Are Not Strengthened by Its Catabolite, 3-Iodothyroacetic Acid (TA).

作者信息

Bandini Lavinia, Sacripanti Ginevra, Borsò Marco, Tartaria Maria, Fogliaro Maria Pia, Giannini Giulia, Carnicelli Vittoria, Figuccia Matteo Emanuele, Verlotta Sara, De Antoni Fiammetta, Zucchi Riccardo, Ghelardoni Sandra

机构信息

Department of Pathology, University of Pisa, 56126 Pisa, Italy.

出版信息

Life (Basel). 2022 Aug 30;12(9):1352. doi: 10.3390/life12091352.

Abstract

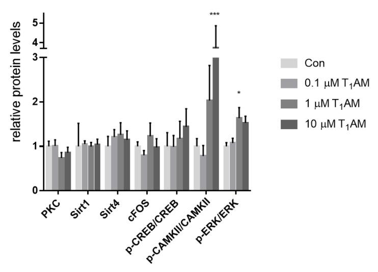
TAM, a derivative of thyroid hormones, and its major catabolite, TA, produce effects on memory acquisition in rodents. In the present study, we compared the effects of exogenous TAM and TA on protein belonging to signal transduction pathways, assuming that TA may strengthen TAM's effects in brain tissue. A hybrid line of cancer cells of mouse neuroblastoma and rat glioma (NG 108-15), as well as a human glioblastoma cell line (U-87 MG) were used. We first characterized the in vitro model by analyzing gene expression of proteins involved in the glutamatergic cascade and cellular uptake of TAM and TA. Then, cell viability, glucose consumption, and protein expression were assessed. Both cell lines expressed receptors implicated in glutamatergic pathway, namely Nmdar1, Glur2, and EphB2, but only U-87 MG cells expressed TAAR1. At pharmacological concentrations, TAM was taken up and catabolized to TA and resulted in more cytotoxicity compared to TA. The major effect, highlighted in both cell lines, albeit on different proteins involved in the glutamatergic signaling, was an increase in phosphorylation, exerted by TAM but not reproduced by TA. These findings indicate that, in our in vitro models, TAM can affect proteins involved in the glutamatergic and other signaling pathways, but these effects are not strengthened by TA.

摘要

甲状腺激素衍生物TAM及其主要代谢产物TA对啮齿动物的记忆获取有影响。在本研究中,我们比较了外源性TAM和TA对信号转导途径相关蛋白的影响,假定TA可能会增强TAM在脑组织中的作用。使用了小鼠神经母细胞瘤和大鼠胶质瘤的癌细胞杂交系(NG 108 - 15)以及人胶质母细胞瘤细胞系(U - 87 MG)。我们首先通过分析参与谷氨酸能级联反应的蛋白的基因表达以及TAM和TA的细胞摄取来表征体外模型。然后,评估细胞活力、葡萄糖消耗和蛋白表达。两种细胞系均表达与谷氨酸能途径相关的受体,即Nmdar1、Glur2和EphB2,但只有U - 87 MG细胞表达TAAR1。在药理浓度下,TAM被摄取并代谢为TA,与TA相比导致更多的细胞毒性。在两种细胞系中均突出显示的主要作用,尽管作用于参与谷氨酸能信号传导的不同蛋白,是磷酸化增加,这是由TAM引起的,但TA并未重现这种作用。这些发现表明,在我们的体外模型中,TAM可以影响参与谷氨酸能和其他信号途径的蛋白,但TA不会增强这些作用。

https://cdn.ncbi.nlm.nih.gov/pmc/blobs/e223/9502970/4f97c748c095/life-12-01352-g001.jpg

文献AI研究员

20分钟写一篇综述,助力文献阅读效率提升50倍。

立即体验

用中文搜PubMed

大模型驱动的PubMed中文搜索引擎

马上搜索

文档翻译

学术文献翻译模型,支持多种主流文档格式。

立即体验